Partially Bio-Based Benzoxazine Monomers Derived from Thymol: Photoluminescent Properties, Polymerization Characteristics, Hydrophobic Coating Investigations, and Anticorrosion Studies
Abstract
1. Introduction
2. Experimental
2.1. Materials
2.2. Syntheses of Thymol-Based Benzoxazine Monomers
2.3. The Characterization of the Thymol-Based Benzoxazines
2.4. Photoluminescence Studies
2.5. The Deposition of Polybenzoxazine Films
2.6. Water Contact Angle Measurement
2.7. Anticorrosion Study
3. Results and Discussion
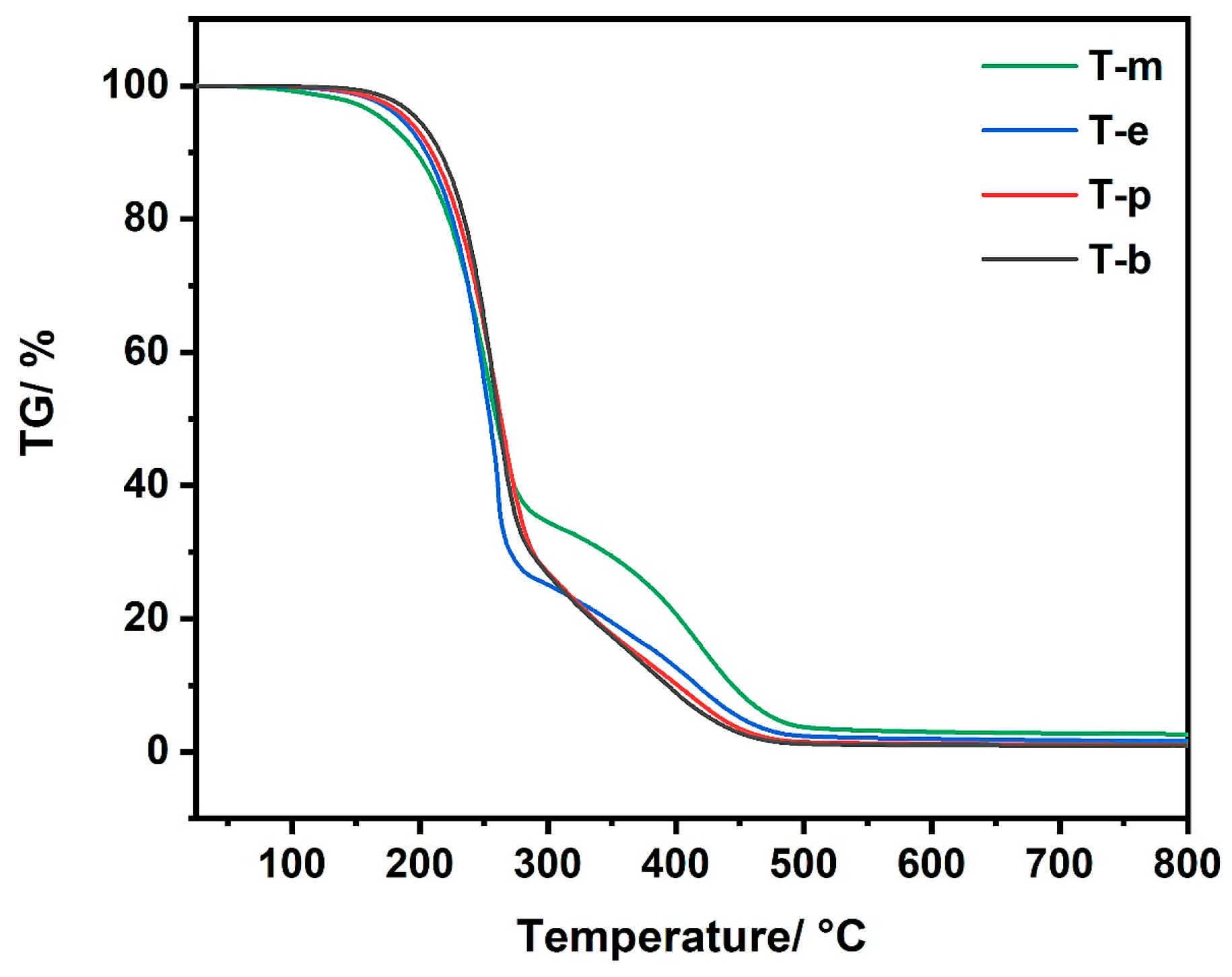
3.1. The Thermal Properties of the Thymol-Based Benzoxazines
3.2. Photoluminescent Properties of the Thymol-Based Benzoxazines
3.3. Monitoring the Ring-Opening Polymerization of the Thymol-Based Benzoxazines Using FTIR Spectroscopy
3.4. Wettability Study
3.5. Anticorrosion Study
4. Conclusions
Supplementary Materials
Author Contributions
Funding
Institutional Review Board Statement
Data Availability Statement
Acknowledgments
Conflicts of Interest
References
- Dinu, R.; Lafont, U.; Damiano, O.; Mija, A. Development of sustainable high performance epoxy thermosets for aerospace and space applications. Polymers 2022, 14, 5473. [Google Scholar] [CrossRef]
- Ishida, H.; Agag, T. Handbook of Benzoxazine Resins; Elsevier: Amsterdam, The Netherlands, 2011. [Google Scholar]
- Zhang, K.; Froimowicz, P.; Ishida, H. Development of new generation benzoxazine thermosets based on smart ortho-benzoxazine chemistry. In Advanced and Emerging Polybenzoxazine Science and Technology; Elsevier: Amsterdam, The Netherlands, 2017; pp. 35–64. [Google Scholar]
- Chernykh, A.; Agag, T.; Ishida, H. Novel benzoxazine monomer containing diacetylene linkage: An approach to benzoxazine thermosets with low polymerization temperature without added initiators or catalysts. Polymer 2009, 50, 3153–3157. [Google Scholar] [CrossRef]
- Ishida, H.; Low, H.Y. A study on the volumetric expansion of benzoxazine-based phenolic resin. Macromolecules 1997, 30, 1099–1106. [Google Scholar] [CrossRef]
- Liu, X.; Gu, Y. Study on the volumetric expansion of benzoxazine curing with different catalysts. J. Appl. Polym. Sci. 2002, 84, 1107–1113. [Google Scholar] [CrossRef]
- Ishida, H.; Allen, D.J. Physical and mechanical characterization of near-zero shrinkage polybenzoxazines. Polym. Sci. Part. B Polym. Phys. 1996, 34, 1019–1030. [Google Scholar] [CrossRef]
- Ishida, H.; Allen, D.J. Gelation behavior of near-zero shrinkage polybenzoxazines. J. Appl. Polym. Sci. 2001, 79, 406–417. [Google Scholar] [CrossRef]
- Zhang, K.; Liu, Y.; Han, L.; Wanga, J.; Ishida, H. Synthesis and thermally induced structural transformation of phthalimide and nitrile-functionalized benzoxazine: Toward smart ortho-benzoxazine chemistry for low flammability thermosets. RSC Adv. 2019, 9, 1526–1535. [Google Scholar] [CrossRef]
- Chen, J.; Zeng, M.; Feng, Z.; Pang, T.; Huang, Y.; Xu, Q. Design and preparation of benzoxazine resin with high-frequency low dielectric constants and ultralow dielectric losses. ACS Appl. Polym. Mater. 2019, 1, 625–630. [Google Scholar] [CrossRef]
- Wang, X.; Niu, H.; Huang, J.; Song, L.; Hu, Y. A desoxyanisoin- and furfurylamine-derived high-performance benzoxazine thermoset with high glass transition temperature and excellent anti-flammability. Polym. Degrad. Stab. 2021, 189, 109604. [Google Scholar] [CrossRef]
- Krishnasamy, B.; Arumugam, H.; Muthukaruppan, A. Thermal behaviour of benzoxazine blends based on epoxy and cyanate ester. Polym. Polym. Compos. 2021, 29 (Suppl. S9), S1475–S1485. [Google Scholar] [CrossRef]
- Zhang, K.; Han, L.; Froimowicz, P.; Ishida, H. A smart latent catalyst containingo-trifluoroacetamide functional benzoxazine: Precursor for low temperature formation of very high performance polybenzoxazole with low dielectric constant and high thermal stability. Macromolecules 2017, 50, 6552–6560. [Google Scholar] [CrossRef]
- Kurinchyslvan, S.; Chandramohan, A.; Hariharan, A.; Gomathipriya, P.; Alagar, M. Cardanol-based benzoxazine-terminated graphene oxide-reinforced fluorinated benzoxazine hybrid composites for low K applications. Compos. Interfaces 2020, 28, 737–751. [Google Scholar] [CrossRef]
- Chen, S.J.; Ren, D.X.; Li, B.; Chen, L.; Xu, M.Z.; Liu, X.B. Benzoxazine containing fluorinated aromatic ether nitrile linkage: Preparation, curing kinetics and dielectric properties. Polymers 2019, 11, 1036. [Google Scholar] [CrossRef] [PubMed]
- Zhang, K.; Yu, X.; Kuo, S.-W. Outstanding dielectric and thermal properties of main chain-type poly(benzoxazine-co-imide-co-siloxane)-based cross-linked networks. Polym. Chem. 2019, 10, 2387–2396. [Google Scholar] [CrossRef]
- Klfout, K.A.; Asiri, A.M.; Alamry, K.A.; Hussein, M.A. Recent advances in bio-based polybenzoxazines as an interesting adhesive coating. RSC Adv. 2023, 13, 19817–19835. [Google Scholar] [CrossRef] [PubMed]
- Hariharan, A.; Kesava, M.; Alagar, M.; Dinakaran, K.; Subramanian, K. Optical, electrochemical, and thermal behavior of polybenzoxazine copolymers incorporated with tetraphenylimidazole and diphenylquinoline. Polym. Adv. Technol. 2018, 29, 355–363. [Google Scholar] [CrossRef]
- Hong, M.; Chen, E.Y.X. Future directions for sustainable polymers. Trends Chem. 2019, 1, 148–151. [Google Scholar] [CrossRef]
- Abdul Khalil, H.P.S.; Bhat, A.H.; Ireana Yusra, A.F. Green composites from sustainable cellulose nanofibrils: A review. Carbohydr. Polym. 2012, 87, 963–979. [Google Scholar] [CrossRef]
- Yang, R.; Han, M.; Hao, B.; Zhang, K. Biobased high-performance tri-furan functional bis-benzoxazine resin derived from renewable guaiacol, furfural and furfurylamine. Eur. Polym. J. 2020, 131, 109706. [Google Scholar] [CrossRef]
- Dai, J.; Teng, N.; Peng, Y.; Liu, Y.; Cao, L.; Zhu, J.; Liu, X. Biobased benzoxazine derived from daidzein and furfurylamine: Microwave-assisted synthesis and thermal properties investigation. ChemSusChem 2018, 11, 3175–3183. [Google Scholar] [CrossRef]
- Wang, C.; Sun, J.; Liu, X.; Sudo, A.; Endo, T. Synthesis and copolymerization of fully bio-based benzoxazines from guaiacol, furfurylamine and stearylamine. Green Chem. 2012, 14, 2799–2806. [Google Scholar] [CrossRef]
- Liu, X.; Zhang, R.; Li, T.; Zhu, P.; Zhuang, Q. Novel fully biobased benzoxazines from rosin: Synthesis and properties. ACS Sustain. Chem. Eng. 2017, 5, 10682–10692. [Google Scholar] [CrossRef]
- Shah, M.; Srinivasan, H.; Arumugam, H.; Krishnasamy, B.; Muthukaruppan, A. Synthesis and characterisation of cycloaliphatic and aromatic amines based cardanol benzoxazines: A comparative study. J. Mol. Struct. 2023, 1277, 134802. [Google Scholar] [CrossRef]
- Chen, J.; Zhao, J.; Lin, F.; Zheng, X.; Jian, R.; Lin, Y.; Wei, F.; Lin, Q.; Bai, W.; Xu, Y. Polymerized tung oil toughened urushiol-based benzoxazine copper polymer coatings with excellent antifouling performances. Prog. Org. Coat. 2023, 177, 107411. [Google Scholar] [CrossRef]
- Dumas, L.; Bonnaud, L.; Olivier, M.; Poorteman, M.; Dubois, P. High performance bio-based benzoxazine networks from resorcinol and hydroquinone. Eur. Polym. J. 2016, 75, 486–494. [Google Scholar] [CrossRef]
- Dumas, L.; Bonnaud, L.; Olivier, M.; Poorteman, M.; Dubois, P. Chavicol benzoxazine: Ultrahigh Tg biobased thermoset with tunable extended network. Eur. Polym. J. 2016, 81, 337–346. [Google Scholar] [CrossRef]
- Yao, H.; Lu, X.; Xin, Z.; Li, X.; Chen, C.; Cao, Y. Two novel eugenol-based difunctional benzoxazines: Synthesis and properties. Colloids Surf. A Physicochem. Eng. 2021, 616, 126209. [Google Scholar] [CrossRef]
- Froimowicz, P.; Arza, C.R.; Han, L.; Ishida, H. Smart, sustainable, and ecofriendly chemical design of fully bio-based thermally stable thermosets based on benzoxazine chemistry. ChemSusChem 2016, 9, 1921–1928. [Google Scholar] [CrossRef]
- Gorar, A.A.K.; Zhiyi, G.; Zhicheng, W.; Daham, A.; Pan, Z.-C.; Wang, J.; Liu, W.-B.; Derradji, M. Green composites from vanillin-based benzoxazine: Modified almond shell particles, curing behavior, thermal stability, mechanical properties, and stress analysis. J. Appl. Polym. Sci. 2023, 140, e54646. [Google Scholar] [CrossRef]
- Huang, S.; Zhou, C.; Xin, Z. Preparation and biological characteristics of LDPE/vanillin-containing benzoxazines composites for antibacterial stent materials. Ind. Eng. Chem. Res. 2024, 63, 1396–1408. [Google Scholar] [CrossRef]
- Adjaoud, A.; Puchot, L.; Federico, C.E.; Das, R.; Verge, P. Lignin-based benzoxazines: A tunable key-precursor for the design of hydrophobic coatings, fire resistant materials and catalyst-free vitrimers. Chem. Eng. J. 2023, 453, 139895. [Google Scholar] [CrossRef]
- Salahuddin, N.; Rehab, A.; El-Deeb, I.Y.; Elmokadem, R. Effect of graphene oxide on photo- and thermal curing of chalcone–based benzoxazine resins. Polym. Bull. 2022, 79, 3175–3191. [Google Scholar] [CrossRef]
- Feng, Z.; Zeng, M.; Meng, D.; Chen, J.; Zhu, W.; Xu, Q.; Wang, J. A novel bio-based benzoxazine resin with outstanding thermal and superhigh-frequency dielectric properties. J. Mater. Sci. Mater. Electron. 2020, 31, 4364–4376. [Google Scholar] [CrossRef]
- Salum, M.L.; Iguchi, D.; Arza, C.R.; Han, L.; Ishida, H.; Froimowicz, P. Making benzoxazines greener: Design, synthesis, and polymerization of a biobased benzoxazine fulfilling two principles of green chemistry. ACS Sustain. Chem. Eng. 2018, 6, 13096–13106. [Google Scholar] [CrossRef]
- Wattanathana, W.; Nonthaglin, S.; Veranitisagul, C.; Koonsaeng, N.; Laobuthee, A. Crystal structure and novel solid-state fluorescence behavior of the model benzoxazine monomer: 3,4-Dihydro-3,6-dimethyl-1,3,2H-benzoxazine. J. Mol. Struct. 2014, 1074, 118–125. [Google Scholar] [CrossRef]
- Wattanathana, W.; Hanlumyuang, Y.; Wannapaiboon, S.; Chansaenpak, K.; Pinyou, P.; Nanok, T.; Kanjanaboos, P. Novel dihydro-1,3,2H-benzoxazine derived from furfurylamine: Crystal structure, Hirshfeld surface analysis, photophysical property, and computational study. Crystals 2021, 11, 568. [Google Scholar] [CrossRef]
- Wuttisarn, R.; Sukthavorn, K.; Nootsuwan, N.; Veranitisagul, C.; Laobuthee, A. Benzoxazine monomers grafted poly(acrylic acid) as novel organic additives with fluorescence and antibacterial properties. Mater. Today Commun. 2022, 31, 103500. [Google Scholar] [CrossRef]
- Srinivasan, H.; Arumugam, H.; Rimdusit, S.; Muthukaruppan, A. Bio-thymol containing new high-performance thymolphthalein based polybenzoxazine: Thermal, superhydrophobic and dielectric properties. Colloids Surf. A Physicochem. Eng. Asp. 2023, 675, 131947. [Google Scholar] [CrossRef]
- Lu, Y.; Zhang, K. Synthesis and properties of biobased mono-benzoxazine resins from natural renewable pterostilbene. Eur. Polym. J. 2021, 156, 110607. [Google Scholar] [CrossRef]
- Mahdy, A.; Aly, K.I.; Mohamed, M.G. Construction novel polybenzoxazine coatings exhibiting corrosion protection of mild steel at different concentrations in a seawater solution. Heliyon 2023, 9, e17977. [Google Scholar] [CrossRef]
- Aly, K.I.; Amer, A.A.; Mahross, M.H.; Belal, M.R.; Soliman, A.M.M.; Mohamed, M.G. Construction of novel polybenzoxazine coating precursor exhibiting excellent anti-corrosion performance through monomer design. Heliyon 2023, 9, e15976. [Google Scholar] [CrossRef] [PubMed]
- Dogan, Y.E.; Satilmis, B.; Uyar, T. Synthesis and characterization of bio-based benzoxazines derived from thymol. J. Appl. Polym. Sci. 2019, 136, 47371. [Google Scholar] [CrossRef]
- Mydeen, K.M.; Kanth, J.P.; Hariharan, A.; Balaji, K.; Rameshkumar, S.; Rathika, G.; Alagar, M. Fully bio-based polybenzoxazines derived from thymol: Thermal stability, hydrophobicity and corrosion resistant properties. J. Polym. Environ. 2022, 30, 5301–5312. [Google Scholar] [CrossRef]
- Wyszecki, G. A graphical interpretation of a three-components theory of chromatic adaptation in terms of the CIE chromaticity diagram. J. Opt. Soc. Am. 1954, 44, 787–792. [Google Scholar] [CrossRef] [PubMed]
- Wyszecki, G. Correlate for lightness in terms of CIE chromaticity coordinates and luminous reflectance. J. Opt. Soc. Am. 1967, 57, 254–257. [Google Scholar] [CrossRef]
- McCamy, C.S. Correlated color temperature as an explicit function of chromaticity coordinates. Color Res. Appl. 1992, 17, 142–144. [Google Scholar] [CrossRef]
- Dunkers, J.; Ishida, H. Vibrational assignments of 3-alkyl-3,4-dihydro-6-methyl-2H-1,3-benzoxazines in the fingerprint region. Spectrochim. Acta A Mol. Biomol. 1995, 51, 1061–1074. [Google Scholar] [CrossRef]
- Wattanathana, W.; Nootsuwan, N.; Veranitisagul, C.; Koonsaeng, N.; Suramitr, S. Crystallographic, spectroscopic (FT-IR/FT-Raman) and computational (DFT/B3LYP) studies on 4,4′-diethyl-2,2′-[methylazanediylbis(methylene)]diphenol. J. Mol. Struct. 2016, 1109, 201–208. [Google Scholar] [CrossRef]
- Ning, X.; Ishida, H. Phenolic materials via ring-opening polymerization of benzoxazines: Effect of molecular structure on mechanical and dynamic mechanical properties. J. Polym. Sci. Part B Polym. Phys. 1994, 32, 921–927. [Google Scholar] [CrossRef]
- Kim, H.-D.; Ishida, H. A study on hydrogen-bonded network structure of polybenzoxazines. J. Phys. Chem. A 2002, 106, 3271–3280. [Google Scholar] [CrossRef]
- Suetrong, N.; Chansaenpak, K.; Impeng, S.; Pinyou, P.; Blay, V.; Blay-Roger, R.; Lisnund, S.; Kanjanaboos, P.; Hanlumyuang, Y.; Wannapaiboon, S.; et al. Influences of chemical functionalities on crystal structures and electrochemical properties of dihydro-benzoxazine dimer derivatives. Crystals 2021, 11, 979. [Google Scholar] [CrossRef]
- Liu, J.; Lu, X.; Xin, Z.; Zhou, C.-L. Surface properties and hydrogen bonds of mono-functional polybenzoxazines with different N-substituents. Chin. J. Polym. Sci. 2016, 34, 919–932. [Google Scholar] [CrossRef]
- Prasai, D.; Tuberquia, J.C.; Harl, R.R.; Jennings, G.K.; Bolotin, K.I. Graphene: Corrosion-inhibiting coating. ACS Nano 2012, 6, 1102–1108. [Google Scholar] [CrossRef] [PubMed]
- Kumar, N.; Fusco, M.; Komarasamy, M.; Mishra, R.S.; Bourham, M.; Murty, K.L. Understanding effect of 3.5 wt.% NaCl on the corrosion of Al0.1CoCrFeNi high-entropy alloy. J. Nucl. Mater. 2017, 495, 154–163. [Google Scholar] [CrossRef]
- Patil, D.M.; Phalak, G.A.; Mhaske, S. Synthesis and characterization of bio-based benzoxazine oligomer from cardanol for corrosion resistance application. J. Coat. Technol. Res. 2017, 14, 517–530. [Google Scholar] [CrossRef]
- Zhu, X.; Wang, C. Corrosion inhibition performance of an environmentally friendly water-based nano-inhibitor. Alex. Eng. J. 2023, 70, 495–501. [Google Scholar] [CrossRef]









| Benzoxazine Monomer | Tcure (°C) | ΔH (mJ) |
|---|---|---|
| T-m | 253 | −4821 |
| T-e | 260 | −4029 |
| T-p | 257 | −2490 |
| T-b | 259 | −2380 |
| Benzoxazine Monomer | First Stage | Second Stage | Third Stage | Residue at 800 °C (%) | |||
|---|---|---|---|---|---|---|---|
| T (°C) | Weight Loss (%) | T (°C) | Weight Loss (%) | T (°C) | Weight Loss (%) | ||
| T-m | 253 | 70.62 | 422 | 26.36 | 602 | 0.34 | 2.67 |
| T-e | 261 | 80.52 | 415 | 17.52 | 615 | 0.35 | 1.61 |
| T-p | 261 | 82.30 | 350 | 16.46 | 600 | 0.14 | 1.09 |
| T-b | 260 | 82.61 | 399 | 16.38 | 627 | 0.10 | 0.91 |
| Benzoxazine Monomer | Contact Angle (°) for Polybenzoxazine Cured at the Temperature of | ||
|---|---|---|---|
| 160 °C | 180 °C | 200 °C | |
| T-m | 89.8 ± 0.2 | 91.3 ± 0.5 | 91.1 ± 0.2 |
| T-e | 89.0 ± 0.4 | 92.0 ± 0.4 | 91.7 ± 0.4 |
| T-p | 90.3 ± 0.4 | 92.6 ± 0.3 | 92.3 ± 0.3 |
| T-b | 91.7 ± 0.4 | 92.9 ± 0.4 | 93.6 ± 0.5 |
| Sample | Tafel Slopes (mV Dec−1) | −Ecorr (mV) | Icorr (µA cm−2) | Corrosion Rate (mmy−1) × 105 | IE (%) | |
|---|---|---|---|---|---|---|
| βa | βc | |||||
| Blank | 209 | 194 | 399 | 13,160 | 8000 | - |
| Poly(T-m) 160 | 273 | 108 | 143 | 162.4 | 16.81 | 98.77 |
| Poly(T-m) 180 | 698 | 160 | 125 | 58.27 | 6.03 | 99.56 |
| Poly(T-m) 200 | 94 | 82 | 111 | 36.55 | 3.78 | 99.72 |
| Poly(T-e) 160 | 107 | 149 | 164 | 207.8 | 21.51 | 98.42 |
| Poly(T-e) 180 | 341 | 127 | 163 | 125.1 | 12.95 | 99.05 |
| Poly(T-e) 200 | 22 | 64 | 118 | 16.21 | 1.68 | 99.88 |
| Poly(T-p) 160 | 450 | 130 | 183 | 210.8 | 21.82 | 98.40 |
| Poly(T-p) 180 | 462 | 133 | 172 | 167.1 | 17.29 | 98.73 |
| Poly(T-p) 200 | 156 | 110 | 90 | 3.97 | 0.41 | 99.97 |
| Poly(T-b) 160 | 503 | 135 | 123 | 180.5 | 18.69 | 98.63 |
| Poly(T-b) 180 | 220 | 140 | 71 | 44.47 | 4.6 | 99.66 |
| Poly(T-b) 200 | 172 | 163 | 3 | 1.07 | 0.11 | 99.99 |
Disclaimer/Publisher’s Note: The statements, opinions and data contained in all publications are solely those of the individual author(s) and contributor(s) and not of MDPI and/or the editor(s). MDPI and/or the editor(s) disclaim responsibility for any injury to people or property resulting from any ideas, methods, instructions or products referred to in the content. |
© 2024 by the authors. Licensee MDPI, Basel, Switzerland. This article is an open access article distributed under the terms and conditions of the Creative Commons Attribution (CC BY) license (https://creativecommons.org/licenses/by/4.0/).
Share and Cite
Suesuwan, A.; Suetrong, N.; Yaemphutchong, S.; Tiewlamsam, I.; Chansaenpak, K.; Wannapaiboon, S.; Chuanopparat, N.; Srathongsian, L.; Kanjanaboos, P.; Chanthaset, N.; et al. Partially Bio-Based Benzoxazine Monomers Derived from Thymol: Photoluminescent Properties, Polymerization Characteristics, Hydrophobic Coating Investigations, and Anticorrosion Studies. Polymers 2024, 16, 1767. https://doi.org/10.3390/polym16131767
Suesuwan A, Suetrong N, Yaemphutchong S, Tiewlamsam I, Chansaenpak K, Wannapaiboon S, Chuanopparat N, Srathongsian L, Kanjanaboos P, Chanthaset N, et al. Partially Bio-Based Benzoxazine Monomers Derived from Thymol: Photoluminescent Properties, Polymerization Characteristics, Hydrophobic Coating Investigations, and Anticorrosion Studies. Polymers. 2024; 16(13):1767. https://doi.org/10.3390/polym16131767
Chicago/Turabian StyleSuesuwan, Arunthip, Natapol Suetrong, Sila Yaemphutchong, Inthikan Tiewlamsam, Kantapat Chansaenpak, Suttipong Wannapaiboon, Nutthawat Chuanopparat, Ladda Srathongsian, Pongsakorn Kanjanaboos, Nalinthip Chanthaset, and et al. 2024. "Partially Bio-Based Benzoxazine Monomers Derived from Thymol: Photoluminescent Properties, Polymerization Characteristics, Hydrophobic Coating Investigations, and Anticorrosion Studies" Polymers 16, no. 13: 1767. https://doi.org/10.3390/polym16131767
APA StyleSuesuwan, A., Suetrong, N., Yaemphutchong, S., Tiewlamsam, I., Chansaenpak, K., Wannapaiboon, S., Chuanopparat, N., Srathongsian, L., Kanjanaboos, P., Chanthaset, N., & Wattanathana, W. (2024). Partially Bio-Based Benzoxazine Monomers Derived from Thymol: Photoluminescent Properties, Polymerization Characteristics, Hydrophobic Coating Investigations, and Anticorrosion Studies. Polymers, 16(13), 1767. https://doi.org/10.3390/polym16131767

