A Contribution to Improve Barrier Properties and Reduce Swelling Ratio of κ-Carrageenan Film from the Incorporation of Guar Gum or Locust Bean Gum
Abstract
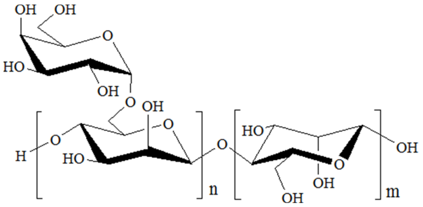
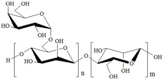
1. Introduction
2. Materials and Methods
2.1. Materials
2.2. Preparation of Composite Film
2.3. Characterizations
2.4. Film Properties
2.4.1. Light Transmittance
2.4.2. Mechanical Properties
2.4.3. Oxygen Permeability
2.4.4. Swelling Property
2.4.5. Water Vapor Permeability
2.4.6. Thermogravimetric Analysis
2.4.7. Rheological Analysis
2.4.8. Statistics Analysis
3. Results and Discussions
3.1. SEM Analysis
3.2. FTIR Spectroscopy
3.3. Optical Properties
3.4. Mechanical Properties
3.5. Oxygen Permeability
3.6. Swelling Property and WVP
3.7. Thermal Stability
3.8. Rheological Analysis
4. Conclusions
Author Contributions
Funding
Institutional Review Board Statement
Data Availability Statement
Conflicts of Interest
References
- Sajjan, A.M.; Naik, M.L.; Kulkarni, A.S.; Rudgi, U.F.-E.; Ashwini, M.; Shirnalli, G.G.; Sharanappa, A.; Kalahal, P.B. Preparation and characterization of PVA-Ge/PEG-400 biodegradable plastic blend films for packaging applications. Chem. Data Collect. 2020, 26, 100338. [Google Scholar] [CrossRef]
- Cazón, P.; Velazquez, G.; Ramírez, J.A.; Vázquez, M. Polysaccharide-based films and coatings for food packaging: A review. Food Hydrocoll. 2017, 68, 136–148. [Google Scholar] [CrossRef]
- Marques, G.S.; de Carvalho, G.R.; Marinho, N.P.; de Muniz, G.I.B.; Jorge, L.M.D.M.; Jorge, R.M.M. Production and characterization of starch-based films reinforced by ramie nanofibers (Boehmeria nivea). J. Appl. Polym. Sci. 2019, 136, 47919. [Google Scholar] [CrossRef]
- Ahmed, A.; Boateng, J. Calcium alginate-based antimicrobial film dressings for potential healing of infected foot ulcers. Ther. Deliv. 2018, 9, 185–204. [Google Scholar] [CrossRef]
- Szymańska-Chargot, M.; Chylińska, M.; Pertile, G.; Pieczywek, P.M.; Cieślak, K.J.; Zdunek, A.; Frąc, M. Influence of chitosan addition on the mechanical and antibacterial properties of carrot cellulose nanofibre film. Cellulose 2019, 26, 9613–9629. [Google Scholar] [CrossRef]
- Zarina, S.; Ahmad, I. Biodegradable Composite Films based on κ-carrageenan Reinforced by Cellulose Nano-crystal from Kenaf Fibers. BioResources 2014, 10, 258–271. [Google Scholar] [CrossRef]
- Venkatesan, R.; Rajeswari, N.; Thendral Thiyagu, T. Preparation, characterization and mechanical properties of k-Carrageenan/SiO2 nanocomposite films for antimicrobial food packaging. Bull. Mater. Sci. 2017, 40, 609–614. [Google Scholar] [CrossRef]
- Liu, J.; Wang, H.; Wang, P.; Guo, M.; Jiang, S.; Li, X.; Jiang, S. Films based on κ-carrageenan incorporated with curcumin for freshness monitoring. Food Hydrocoll. 2018, 83, 134–142. [Google Scholar] [CrossRef]
- Sun, G.; Liang, T.; Tan, W.; Wang, L. Rheological behaviors and physical properties of plasticized hydrogel films developed from κ-carrageenan incorporating hydroxypropyl methylcellulose. Food Hydrocoll. 2018, 85, 61–68. [Google Scholar] [CrossRef]
- Bedane, A.H.; Eić, M.; Farmahini-Farahani, M.; Xiao, H. Water vapor transport properties of regenerated cellulose and nanofibrillated cellulose films. J. Membr. Sci. 2015, 493, 46–57. [Google Scholar] [CrossRef]
- Aider, M. Chitosan application for active bio-based films production and potential in the food industry: Review. LWT—Food Sci. Technol. 2010, 43, 837–842. [Google Scholar] [CrossRef]
- Shahbazi, M.; Majzoobi, M.; Farahnaky, A. Physical modification of starch by high-pressure homogenization for improving functional properties of κ-carrageenan/starch blend film. Food Hydrocoll. 2018, 85, 204–214. [Google Scholar] [CrossRef]
- Nur Fatin Nazurah, R.; Nur Hanani, Z.A. Physicochemical characterization of kappa-carrageenan (Euchema cottoni) based films incorporated with various plant oils. Carbohydr. Polym. 2017, 157, 1479–1487. [Google Scholar] [CrossRef]
- Rane, L.R.; Savadekar, N.R.; Kadam, P.G.; Mhaske, S.T. Preparation and Characterization of K-Carrageenan/Nanosilica Biocomposite Film. J. Mater. 2014, 2014, 1–8. [Google Scholar] [CrossRef]
- Martins, J.T.; Cerqueira, M.A.; Souza, B.W.S.; Avides, M.D.C.; Vicente, A.A. Shelf Life Extension of Ricotta Cheese Using Coatings of Galactomannans from Nonconventional Sources Incorporating Nisin against Listeria monocytogenes. J. Agric. Food Chem. 2010, 58, 1884–1891. [Google Scholar] [CrossRef]
- García-García, E.; Totosaus, A. Low-fat sodium-reduced sausages: Effect of the interaction between locust bean gum, potato starch and κ-carrageenan by a mixture design approach. Meat Sci. 2008, 78, 406–413. [Google Scholar] [CrossRef]
- Zhao, N.; Chai, Y.; Wang, T.; Wang, K.; Jiang, J.; Yang, H.-Y. Preparation and physical/chemical modification of galactomannan film for food packaging. Int. J. Biol. Macromol. 2019, 137, 1060–1067. [Google Scholar] [CrossRef]
- Barddal, H.P.D.O.; Faria, F.A.M.; Nogueira, A.V.; Iacomini, M.; Cipriani, T.R. Anticoagulant and antithrombotic effects of chemically sulfated guar gum. Int. J. Biol. Macromol. 2019, 145, 604–610. [Google Scholar] [CrossRef]
- Dea, I.C.M.; McKinnon, A.A.; Rees, D.A. Tertiary and quaternary structure in aqueous polysaccharide systems which model cell wall cohesion: Reversible changes in conformation and association of agarose, carrageenan and galactomannans. J. Mol. Biol. 1972, 68, 153–172. [Google Scholar] [CrossRef]
- Wu, Y.; Ding, W.; He, Q. The gelation properties of tara gum blended with κ-carrageenan or xanthan. Food Hydrocoll. 2018, 77, 764–771. [Google Scholar] [CrossRef]
- Martins, J.T.; Bourbon, A.I.; Pinheiro, A.C.; Souza, B.W.S.; Cerqueira, M.; Vicente, A.A. Biocomposite Films Based on κ-Carrageenan/Locust Bean Gum Blends and Clays: Physical and Antimicrobial Properties. Food Bioprocess Technol. 2012, 6, 2081–2092. [Google Scholar] [CrossRef]
- De Paola, M.G.; Paletta, R.; Lopresto, C.G.; Lio, G.E.; De Luca, A.; Chakraborty, S.; Calabrò, V. Stability of Film-Forming Dispersions: Affects the Morphology and Optical Properties of Polymeric Films. Polymers 2021, 13, 1464. [Google Scholar] [CrossRef]
- Hou, X.; Xue, Z.; Liu, J.; Yan, M.; Xia, Y.; Ma, Z. Characterization and property investigation of novel eco-friendly agar/carrageenan/TiO2 nano-composite films. J. Appl. Polym. Sci. 2019, 136, 47113. [Google Scholar] [CrossRef]
- Kassab, Z.; Aziz, F.; Hannache, H.; Ben Youcef, H.; El Achaby, M. Improved mechanical properties of k-carrageenan-based nanocomposite films reinforced with cellulose nanocrystals. Int. J. Biol. Macromol. 2019, 123, 1248–1256. [Google Scholar] [CrossRef]
- Balqis, A.I.; Khaizura, M.N.; Russly, A.R.; Hanani, Z.N. Effects of plasticizers on the physicochemical properties of kappa-carrageenan films extracted from Eucheuma cottonii. Int. J. Biol. Macromol. 2017, 103, 721–732. [Google Scholar] [CrossRef]
- Martins, J.T.; Cerqueira, M.A.; Bourbon, A.I.; Pinheiro, A.C.; Souza, B.W.; Vicente, A.A. Synergistic effects between κ-carrageenan and locust bean gum on physicochemical properties of edible films made thereof. Food Hydrocoll. 2012, 29, 280–289. [Google Scholar] [CrossRef]
- Williams, P.A. Molecular interactions of plant and algal polysaccharides. Struct. Chem. 2009, 20, 299–308. [Google Scholar] [CrossRef]
- Rao, M.; Kanatt, S.; Chawla, S.; Sharma, A. Chitosan and guar gum composite films: Preparation, physical, mechanical and antimicrobial properties. Carbohydr. Polym. 2010, 82, 1243–1247. [Google Scholar] [CrossRef]
- Mostafavi, F.S.; Kadkhodaee, R.; Emadzadeh, B.; Koocheki, A. Preparation and characterization of tragacanth–locust bean gum edible blend films. Carbohydr. Polym. 2016, 139, 20–27. [Google Scholar] [CrossRef]
- Kurt, A.; Kahyaoglu, T. Characterization of a new biodegradable edible film made from salep glucomannan. Carbohydr. Polym. 2014, 104, 50–58. [Google Scholar] [CrossRef]
- Cao, L.; Liu, W.; Wang, L. Developing a green and edible film from Cassia gum: The effects of glycerol and sorbitol. J. Clean. Prod. 2018, 175, 276–282. [Google Scholar] [CrossRef]







| Sample | Thickness (mm) | TS (MPa) | EB (%) | OP (cm3 mm m−2 day−1 atm−1) |
|---|---|---|---|---|
| KC | 0.107 ± 0.003 cd | 21.775 ± 0.556 ab | 37.150 ± 1.161 ce | 3.247 ± 0.490 bd |
| KC-5G | 0.100 ± 0.007 bc | 21.380 ± 1.536 ab | 32.300 ± 2.598 d | 2.783 ± 0.074 bcd |
| KC-10G | 0.105 ± 0.008 cd | 21.298 ± 0.870 ab | 23.900 ± 1.723 c | 2.647 ± 0.147 bc |
| KC-15G | 0.086 ± 0.000 a | 21.880 ± 2.088 b | 21.050 ± 1.143 b | 2.360 ± 0.139 ab |
| KC-20G | 0.096 ± 0.002 b | 19.973 ± 1.013 ab | 19.200 ± 0.849 ab | 1.935 ± 0.074 a |
| KC-25G | 0.096 ± 0.001 b | 19.130 ± 1.179 a | 18.150 ± 1.090 a | 2.919 ± 0.017 cd |
| KC-5L | 0.100 ± 0.002 b | 22.933 ± 0.564 bc | 36.700 ± 2.858 c | 1.847 ± 0.070 a |
| KC-10L | 0.097 ± 0.004 ab | 23.988 ± 1.270 c | 35.950 ± 1.873 c | 1.799 ± 0.049 a |
| KC-15L | 0.101 ± 0.003 bc | 21.545 ± 0.809 ab | 26.500 ± 1.212 b | 1.595 ± 0.061 a |
| KC-20L | 0.113 ± 0.005 d | 21.555 ± 1.469 ab | 21.000 ± 2.490 a | 1.642 ± 0.196 a |
| KC-25L | 0.091 ± 0.003 a | 19.993 ± 0.851 a | 20.600 ± 0.707 a | 1.853 ± 0.145 a |
| Sample | SR (%) | WVP (g mm s−1 m−2 Pa−1 × 10−11) | |
|---|---|---|---|
| RH53% | RH75% | ||
| KC | 14.67 ± 2.08 b | 25.09 ± 1.84 c | 4.44 ± 0.09 ef |
| KC-5G | 11.55 ± 1.47 ab | 19.13 ± 0.07 b | 3.81 ± 0.14 d |
| KC-10G | 9.70 ± 0.44 ab | 18.83 ± 0.92 b | 3.68 ± 0.11 c |
| KC-15G | 9.20 ± 1.02 ab | 17.35 ± 1.17 ab | 3.60 ± 0.10 c |
| KC-20G | 7.44 ± 1.27 a | 16.88 ± 1.72 ab | 3.19 ± 0.08 b |
| KC-25G | 6.10 ± 2.44 a | 13.93 ± 1.34 a | 3.08 ± 0.07 a |
| KC-5L | 9.72 ± 0.46 a | 18.73 ± 1.19 b | 3.56 ± 0.04 e |
| KC-10L | 8.21 ± 1.17 a | 17.00 ± 0.80 b | 3.36 ± 0.07 d |
| KC-15L | 7.40 ± 1.51 a | 16.70 ± 1.55 b | 3.08 ± 0.07 c |
| KC-20L | 6.61 ± 1.16 a | 15.82 ± 1.15 ab | 2.98 ± 0.08 b |
| KC-25L | 5.94 ± 1.23 a | 11.24 ± 2.09 a | 2.35 ± 0.06 a |
| Sample | TO | Tm | TE |
|---|---|---|---|
| KC | 227.43 | 242.31 | 298.38 |
| KC-5G | 228.19 | 243.13 | 307.46 |
| KC-10G | 228.91 | 242.84 | 312.18 |
| KC-15G | 230.12 | 246.98 | 303.56 |
| KC-20G | 231.21 | 245.59 | 310.06 |
| KC-25G | 229.84 | 245.73 | 307.85 |
| KC-5L | 228.49 | 242.60 | 304.25 |
| KC-10L | 228.33 | 241.80 | 302.76 |
| KC-15L | 228.43 | 241.76 | 305.10 |
| KC-20L | 229.28 | 243.15 | 299.29 |
| KC-25L | 229.07 | 243.83 | 305.32 |
| GGF | 234.97 | 299.44 | 361.48 |
| LGF | 231.47 | 301.92 | 361.19 |
| Sample | Ostwald-de Wale | ||
|---|---|---|---|
| K | R2 | ||
| KC | 197.353 ± 2.728 | 0.2956 ± 0.007 | 0.99939 |
| KC-5G | 130.905 ± 1.146 | 0.297 ± 0.005 | 0.99975 |
| KC-10G | 149.079 ± 0.860 | 0.326 ± 0.003 | 0.99988 |
| KC-15G | 65.673 ± 1.319 | 0.462 ± 0.011 | 0.99717 |
| KC-20G | 196.737 ± 2.272 | 0.277 ± 0.006 | 0.99961 |
| KC-25G | 102.195 ± 2.143 | 0.515 ± 0.011 | 0.99578 |
| KC-5L | 197.413 ± 2.318 | 0.254 ± 0.006 | 0.99963 |
| KC-10L | 53.858 ± 1.240 | 0.277 ± 0.012 | 0.99846 |
| KC-15L | 142.467 ± 11.551 | 0.578 ± 0.046 | 0.91772 |
| KC-20L | 166.968 ± 10.988 | 0.614 ± 0.038 | 0.92924 |
| KC-25L | 178.615 ± 1.934 | 0.246 ± 0.006 | 0.9997 |
Disclaimer/Publisher’s Note: The statements, opinions and data contained in all publications are solely those of the individual author(s) and contributor(s) and not of MDPI and/or the editor(s). MDPI and/or the editor(s) disclaim responsibility for any injury to people or property resulting from any ideas, methods, instructions or products referred to in the content. |
© 2023 by the authors. Licensee MDPI, Basel, Switzerland. This article is an open access article distributed under the terms and conditions of the Creative Commons Attribution (CC BY) license (https://creativecommons.org/licenses/by/4.0/).
Share and Cite
Wang, R.; Zhang, S.; Liu, S.; Sun, Y.; Xu, H. A Contribution to Improve Barrier Properties and Reduce Swelling Ratio of κ-Carrageenan Film from the Incorporation of Guar Gum or Locust Bean Gum. Polymers 2023, 15, 1751. https://doi.org/10.3390/polym15071751
Wang R, Zhang S, Liu S, Sun Y, Xu H. A Contribution to Improve Barrier Properties and Reduce Swelling Ratio of κ-Carrageenan Film from the Incorporation of Guar Gum or Locust Bean Gum. Polymers. 2023; 15(7):1751. https://doi.org/10.3390/polym15071751
Chicago/Turabian StyleWang, Ruixuan, Song Zhang, Shuaichen Liu, Yuqi Sun, and Hongyan Xu. 2023. "A Contribution to Improve Barrier Properties and Reduce Swelling Ratio of κ-Carrageenan Film from the Incorporation of Guar Gum or Locust Bean Gum" Polymers 15, no. 7: 1751. https://doi.org/10.3390/polym15071751
APA StyleWang, R., Zhang, S., Liu, S., Sun, Y., & Xu, H. (2023). A Contribution to Improve Barrier Properties and Reduce Swelling Ratio of κ-Carrageenan Film from the Incorporation of Guar Gum or Locust Bean Gum. Polymers, 15(7), 1751. https://doi.org/10.3390/polym15071751

