The Impact of Yeast Encapsulation in Wort Fermentation and Beer Flavor Profile
Abstract
1. Introduction
2. Materials and Methods
2.1. Formulation and Characterization of Sodium Alginate Capsules
2.1.1. Microorganisms and Culture Media
2.1.2. Yeast Encapsulation
2.1.3. Encapsulate Characterization
2.2. Fermentations
2.2.1. Wort Preparation
2.2.2. Fermenter Assembly
2.2.3. Fermentation Analysis
3. Results and Discussion
3.1. Encapsulate Results
3.1.1. Swelling Percentage
3.1.2. Spectroscopic Analysis
3.1.3. Mechanical Resistance
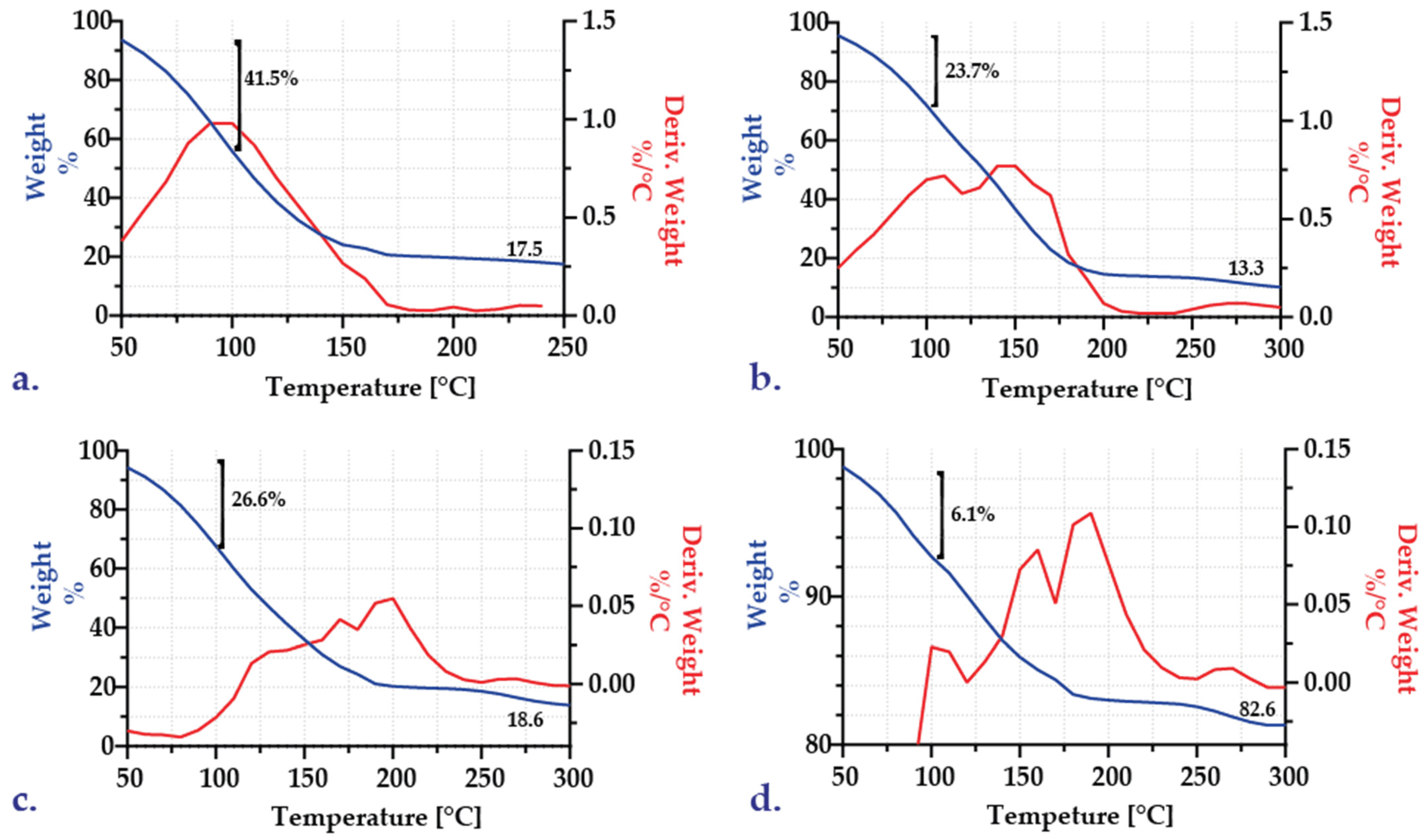
3.1.4. Thermal Stability Analysis
3.1.5. Morphology
3.1.6. Viability
3.2. Fermentation Results
3.2.1. Yeast Growth
3.2.2. Color and Turbidity
3.2.3. HPLC
3.2.4. Electronic Nose
3.2.5. Electronic Tongue
4. Conclusions
Supplementary Materials
Author Contributions
Funding
Institutional Review Board Statement
Data Availability Statement
Acknowledgments
Conflicts of Interest
References
- Estos son los 20 Principales Países Productores de Cerveza del Mundo—Negocios Líquidos. Available online: https://negociosliquidos.com.ar/estos-son-los-20-principales-paises-productores-de-cerveza-del-mundo/ (accessed on 5 January 2023).
- Baiano, A. Craft beer: An overview. Compr. Rev. Food Sci. Food Saf. 2021, 20, 1829–1856. [Google Scholar] [CrossRef]
- Ibañez, F.C.; Torre, P.; Irigoyen, A. Aditivos Alimentarios. Muybio. 2003. Available online: https://muybio.com/wp-content/uploads/2012/10/aditivos-alimentarios.pdf (accessed on 18 May 2022).
- Fálder, A. Enciclopedia de los Alimentos. Available online: https://www.miteco.gob.es/ministerio/pags/Biblioteca/Revistas/pdf_DYC/DYC_2006_87_107_118.pdf (accessed on 18 May 2022).
- Calleja, J.C.C. Diseño de una Planta de Elaboración de Cerveza Artesanal para Consumo Directo. Microcervecería. Bachelor’s Thesis, Universidad de Cádiz, Cádiz, Spain, 2013. Available online: https://rodin.uca.es/bitstream/handle/10498/15570/b3636485x.pdf?sequence=1&isAllowed=y (accessed on 5 May 2022).
- Walker, G.M.; Stewart, G.G. Saccharomyces cerevisiae in the Production of Fermented Beverages. Beverages 2016, 2, 30. [Google Scholar] [CrossRef]
- Steensels, J.; Gallone, B.; Voordeckers, K.; Verstrepen, K.J. Domestication of Industrial Microbes. Curr. Biol. 2019, 29, R381–R393. [Google Scholar] [CrossRef]
- Gilces, P.E.; Farías, P.; Veloz, S. Estudio del Uso de los Nutrientes para la Levadura en Fermentación con el Propósito de Mejorar la Producción de Alcohol Etílico. Bachelor’s Thesis, Universidad de Guayaquil, Guayaquil, Ecuador, 2006. [Google Scholar]
- Lodolo, E.J.; Kock, J.L.; Axcell, B.C.; Brooks, M. The yeast Saccharomyces cerevisiae—The main character in beer brewing. FEMS Yeast Res. 2008, 8, 1018–1036. [Google Scholar] [CrossRef] [PubMed]
- Yonezawa, T.; Fushiki, T. Testing for Taste and Flavour of Beer. Anal. Tast. Aroma 2002, 21, 29–45. [Google Scholar] [CrossRef]
- París, M. Estudio de los Cambios Inducidos en las Propiedades Organolépticas de la Cerveza Tras Modificación Genética de la Levadura. Master’s Thesis, Universidade da Coruña, Coruña, Spain, 2019. [Google Scholar]
- Benucci, I.; Cecchi, T.; Lombardelli, C.; Maresca, D.; Mauriello, G.; Esti, M. Novel microencapsulated yeast for the primary fermentation of green beer: Kinetic behavior, volatiles and sensory profile. Food Chem. 2020, 340, 127900. [Google Scholar] [CrossRef] [PubMed]
- Fernández-d’Arlas, B.; Castro, C.; Eceiza, A. Obtención de fibras de alginato mediante hilado por coagulación con sulfatos de metales multivalentes. Rev. Latinoam. Metal. Mater. 2015, 35, 189–200. Available online: http://ve.scielo.org/scielo.php?script=sci_arttext&pid=S0255-69522015000200005&lng=es&nrm=iso&tlng=es (accessed on 5 January 2023).
- Hecht, H.; Srebnik, S. Structural Characterization of Sodium Alginate and Calcium Alginate. Biomacromolecules 2016, 17, 2160–2167. [Google Scholar] [CrossRef]
- McHugh, D.J. Production, properties and uses of alginates. In Production and Utilization of Products from Commercial Seaweeds; Australian Defence Force Academy: Campbell, Australia, 2003; Available online: https://www.fao.org/3/x5822e/x5822e04.htm (accessed on 5 January 2023).
- Chew, S.C.; Tan, C.-H.; Pui, L.P.; Nee, C.; Gunasekaran, B.; Nyam, K. Encapsulation Technologies: A Tool for Functional Foods Development. Int. J. Innov. Technol. Explor. Eng. 2019, 8, 154–162. Available online: https://www.researchgate.net/publication/336304235 (accessed on 5 November 2022).
- Nalini, T.; Basha, S.K.; Sadiq, A.M.M.; Kumari, V.S.; Kaviyarasu, K. Development and characterization of alginate/chitosan nanoparticulate system for hydrophobic drug encapsulation. J. Drug Deliv. Sci. Technol. 2019, 52, 65–72. [Google Scholar] [CrossRef]
- Nikoo, A.M.; Kadkhodaee, R.; Ghorani, B.; Razzaq, H.; Tucker, N. Electrospray-assisted encapsulation of caffeine in alginate microhydrogels. Int. J. Biol. Macromol. 2018, 116, 208–216. [Google Scholar] [CrossRef] [PubMed]
- Liu, Q.; Jing, Y.; Han, C.; Zhang, H.; Tian, Y. Encapsulation of curcumin in zein/caseinate/sodium alginate nanoparticles with improved physicochemical and controlled release properties. Food Hydrocoll. 2019, 93, 432–442. [Google Scholar] [CrossRef]
- Oberoi, K.; Tolun, A.; Altintas, Z.; Sharma, S. Effect of Alginate-Microencapsulated Hydrogels on the Survival of Lactobacillus rhamnosus under Simulated Gastrointestinal Conditions. Foods 2021, 10, 1999. [Google Scholar] [CrossRef]
- Ranjha, M.M.A.N.; Shafique, B.; Batool, M.; Kowalczewski, P.; Shehzad, Q.; Usman, M.; Manzoor, M.F.; Zahra, S.M.; Yaqub, S.; Aadil, R.M. Nutritional and Health Potential of Probiotics: A Review. Appl. Sci. 2021, 11, 11204. [Google Scholar] [CrossRef]
- Ching, S.H.; Bansal, N.; Bhandari, B. Alginate gel particles–A review of production techniques and physical properties. Crit. Rev. Food Sci. Nutr. 2015, 57, 1133–1152. [Google Scholar] [CrossRef]
- Chan, E.-S.; Lim, T.-K.; Voo, W.-P.; Pogaku, R.; Tey, B.T.; Zhang, Z. Effect of formulation of alginate beads on their mechanical behavior and stiffness. Particuology 2011, 9, 228–234. [Google Scholar] [CrossRef]
- Yadav, B.S.; Rani, U.; Dhamija, S.S.; Nigam, P.; Singh, D. Process optimization for continuous ethanol fermentation by alginate-immobilized cells of Saccharomyces cerevisiae HAU-1. J. Basic Microbiol. 1996, 36, 205–210. [Google Scholar] [CrossRef]
- Gulli, J.; Yunker, P.; Rosenzweig, F. Matrices (re)loaded: Durability, viability, and fermentative capacity of yeast encapsulated in beads of different composition during long-term fed-batch culture. Biotechnol. Prog. 2019, 36, e2925. [Google Scholar] [CrossRef]
- Ogawa, M.; Carmona-Jiménez, P.; García-Martínez, T.; Jorrín-Novo, J.V.; Moreno, J.; Rey, M.D.; Moreno-García, J. Use of yeast biocapsules as a fungal-based immobilized cell technology for Indian Pale Ale-type beer brewing. Appl. Microbiol. Biotechnol. 2022, 106, 7615–7625. [Google Scholar] [CrossRef]
- Sakai, S.; Kawabata, K.; Ono, T.; Ijima, H.; Kawakami, K. Development of mammalian cell-enclosing subsieve-size agarose capsules (<100 μm) for cell therapy. Biomaterials 2005, 26, 4786–4792. [Google Scholar] [CrossRef] [PubMed]
- Simó, G.; Fernández-Fernández, E.; Vila-Crespo, J.; Ruipérez, V.; Rodríguez-Nogales, J.M. Research progress in coating techniques of alginate gel polymer for cell encapsulation. Carbohydr. Polym. 2017, 170, 1–14. [Google Scholar] [CrossRef]
- Hilge-Rotmann, B.; Rehm, H.-J. Comparison of fermentation properties and specific enzyme activities of free and calcium-alginate-entrapped Saccharomyces cerevisiae. Appl. Microbiol. Biotechnol. 1990, 33, 54–58. [Google Scholar] [CrossRef]
- Walteros Pinzón, C.D. Caracterización de Cepas de Levadura Colombiana Saccharomyces cerevisiae para su Potencial Uso en la Producción de Cerveza ‘Colombian Ale’. Bachelor’s Thesis, Universidad de Los Andes, Bogotá, Colombia, 2020. Available online: http://hdl.handle.net/1992/44911 (accessed on 15 January 2022).
- Patarroyo, J.; Fonseca, E.; Cifuentes, J.; Salcedo, F.; Cruz, J.; Reyes, L. Gelatin-Graphene Oxide Nanocomposite Hydrogels for Kluyveromyces lactis Encapsulation: Potential Applications in Probiotics and Bioreactor Packings. Biomolecules 2021, 11, 922. [Google Scholar] [CrossRef]
- Patarroyo, J.L.; Florez-Rojas, J.S.; Pradilla, D.; Valderrama-Rincón, J.D.; Cruz, J.C.; Reyes, L.H. Formulation and Characterization of Gelatin-Based Hydrogels for the Encapsulation of Kluyveromyces lactis—Applications in Packed-Bed Reactors and Probiotics Delivery in Humans. Polymers 2020, 12, 1287. [Google Scholar] [CrossRef] [PubMed]
- Molecular Probes. Probes for Yeast Viability. 22 January 2001. Available online: https://www.thermofisher.com/document-connect/document-connect.html?url=https://assets.thermofisher.com/TFS-Assets%2FLSG%2Fmanuals%2Fmp07009.pdf (accessed on 5 December 2022).
- Distrines: Insumo de Cervezas. Malta Pilsen BESTMALZ. Available online: https://distrines.com/maltas/1/malta-pilsen (accessed on 25 September 2021).
- Viader, R.P.; Yde, M.; Hartvig, J.; Pagenstecher, M.; Carlsen, J.; Christensen, T.; Andersen, M. Optimization of Beer Brewing by Monitoring α-Amylase and β-Amylase Activities during Mashing. Beverages 2021, 7, 13. [Google Scholar] [CrossRef]
- Nova Cacho, J.I. Búsqueda y Caracterización de la Estabilidad de una Fitasa Fúngica Producida por Fermentación en Medio Sólido; Centro de Investigación y Asistencia en Tecnología y Diseño del Estado de Jalisco A.C: Guadalajara, México, 2014. [Google Scholar]
- Brandam, C.; Meyer, X.; Proth, J.; Strehaiano, P.; Pingaud, H. An original kinetic model for the enzymatic hydrolysis of starch during mashing. Biochem. Eng. J. 2003, 13, 43–52. [Google Scholar] [CrossRef]
- Spectroquant® Prove. Manual Métodos de Análisis para la Industria Cervecera. Available online: https://www.merckmillipore.com/INTERSHOP/web/WFS/Merck-ES-Site/es_ES/-/EUR/ShowDocument-File?ProductSKU=MDA_CHEM-173017&DocumentId=201611.034.ProNet&DocumentUID=39334433&DocumentType=PI&Language=ES&Country=NF&Origin=PDP (accessed on 5 October 2020).
- Garzón Serrano, S.N.; Wilches Molano, L.S. POES Evaluación Sensorial y Organoléptica de Cervezas Colombianas; Universidad de Los Andes: Bogotá, Colombia, 2021; Available online: http://hdl.handle.net/1992/55533 (accessed on 25 January 2022).
- Bio-Rad. Animex HPLC Columns. 2012. Available online: https://www.inasc.com.co/picture-static-inasc/pdf/4504106736.pdf (accessed on 5 January 2023).
- Ingeniería Analítica. PEN3 Portable Electronic Nose. Available online: https://www.ingenieria-analitica.com/productos/nariz-electronica/pen3.html (accessed on 22 November 2022).
- Benucci, I.; Cerreti, M.; Maresca, D.; Mauriello, G.; Esti, M. Yeast cells in double layer calcium alginate–chitosan microcapsules for sparkling wine production. Food Chem. 2019, 300, 125174. [Google Scholar] [CrossRef] [PubMed]
- Cortez, P.M.M. Análisis de Los Espectros de Infrarrojo. In Principios y Aplicaciones de la Espectroscopia de Infrarrojo en el Análisis de Alimentos y Bebidas; CIATEJ Ed.: Guadalajara, México, 2020; pp. 66–82. [Google Scholar]
- Daemi, H.; Barikani, M. Synthesis and characterization of calcium alginate nanoparticles, sodium homopolymannuronate salt and its calcium nanoparticles. Sci. Iran. 2012, 19, 2023–2028. [Google Scholar] [CrossRef]
- van Hoogmoed, C.G.; Busscher, H.J.; de Vos, P. Fourier transform infrared spectroscopy studies of alginate-PLL capsules with varying compositions. J. Biomed. Mater. Res. 2003, 67A, 172–178. [Google Scholar] [CrossRef]
- Manev, Z.; Denev, P.; Zsivanovits, G.; Ludneva, D. Structural mechanical and gelling properties of alginate beads. Bulg. J. Agric. Sci. 2013, 19, 770–774. Available online: https://www.agrojournal.org/19/04-23.pdf (accessed on 5 December 2022).
- Sarmiento, J. Técnicas de Caracterización de Polímeros: Análisis Termico-Termogravimetría. January 2022. Available online: https://www.researchgate.net/publication/357656502 (accessed on 5 December 2022).
- Fermentis by Lesaffre. SafAleTM US-05. Available online: https://fermentis.com/en/product/safale-us-05/ (accessed on 22 March 2021).
- Russo, V.; Masiello, D.; Trifuoggi, M.; Di Serio, M.; Tesser, R. Design of an adsorption column for methylene blue abatement over silica: From batch to continuous modeling. Chem. Eng. J. 2016, 302, 287–295. [Google Scholar] [CrossRef]
- Dembczynski, R.; Jankowski, T. Characterisation of small molecules diffusion in hydrogel-membrane liquid-core capsules. Biochem. Eng. J. 2000, 6, 41–44. [Google Scholar] [CrossRef] [PubMed]
- Pratt, P.L.; Bryce, J.H.; Stewart, G.G. The Effects of Osmotic Pressure and Ethanol on Yeast Viability and Morphology. J. Inst. Brew. 2003, 109, 218–228. [Google Scholar] [CrossRef]
- Nedović, V.; Gibson, B.; Mantzouridou, T.; Bugarski, B.; Djordjevic, V.; Kalušević, A.; Paraskevopoulou, A.; Sandell, M.; Šmogrovičová, D.; Yilmaztekin, M. Aroma formation by immobilized yeast cells in fermentation processes. Yeast 2014, 32, 173–216. [Google Scholar] [CrossRef]
- Norton, S.; D’Amore, T. Physiological effects of yeast cell immobilization: Applications for brewing. Enzym. Microb. Technol. 1994, 16, 365–375. [Google Scholar] [CrossRef]
- Callemien, D.; Collin, S. Involvement of Flavanoids in Beer Color Instability during Storage. J. Agric. Food Chem. 2007, 55, 9066–9073. [Google Scholar] [CrossRef]
- Salanță, L.C.; Coldea, T.E.; Ignat, M.V.; Pop, C.R.; Tofană, M.; Mudura, E.; Borșa, A.; Pasqualone, A.; Zhao, H. Non-Alcoholic and Craft Beer Production and Challenges. Processes 2020, 8, 1382. [Google Scholar] [CrossRef]
- Jardim, C.D.C.; de Souza, D.; Machado, I.C.K.; Pinto, L.M.N.; Ramos, R.C.D.S.; Garavaglia, J. Sensory Profile, Consumer Preference and Chemical Composition of Craft Beers from Brazil. Beverages 2018, 4, 106. [Google Scholar] [CrossRef]
- Albarracín Torres, K. Estudio de Parámetros para la Propagación de las Cepas de Levadura Cervecera Saccharomyces cerevisiae y Saccharomyces carlsbergensis para la Fabricación de Cerveza Artesana. Master’s Thesis, Universidad Politécnica de Madrid, Madrid, Spain, 2020. Available online: https://oa.upm.es/63464/ (accessed on 31 December 2022).




















| Strain | Trade Name | Origin | Laboratory | Ref. |
|---|---|---|---|---|
| BE–134 | SafAleTM BE–134 | Belgian | Fermentis by Lesaffre | |
| K–97 | SafAleTM K–97 | German | Fermentis by Lesaffre | |
| US–05 | SafAleTM US–05 | American | Fermentis by Lesaffre | |
| CW–12 | CW12 | Colombian | Universidad de los Andes | [30] |
| Sensor | Related Compounds |
|---|---|
| W5S | Nitrogen oxides and ozone |
| W3C | Ammonia |
| W6H | Hydrogen component |
| W5C | Aromatic and aliphatic (slightly polar) compounds |
| W1S | Methane |
| W1W | Sulfur organic compounds |
| W2S | Partial polar alcohols and compounds |
| W2W | Sulfur and aromatic components |
| W3S | High–concentration compounds and methane |
| Encapsulate | Weight [mg] | Diameter [mm] |
|---|---|---|
| C–1.a | 18.37 ± 0.23 | 3.05 ± 0.00 |
| C–1.b | 17.17 ± 0.64 | 3.25 ± 0.15 |
| C–1.c | 17.63 ± 0.29 | 3.10 ± 0.00 |
| C–2.a | 25.60 ± 0.30 | 3.50 ± 0.00 |
| C–2.b | 24.60 ± 0.53 | 3.50 ± 0.10 |
| C–2.c | 24.23 ± 0.23 | 3.43 ± 0.33 |
| Wavenumber (cm−1) | Assignment | Molecular Vibration |
|---|---|---|
| 1700–1480 | C=O, C−N | Stretching |
| 1700–1480 | N−H | Bending |
| 1649–1410 | R−COO- | Symmetric and asymmetric Stretching |
| 1200–870 | C−O, C−C | Stretching |
| 1107–935 | C−O | Stretching |
| 1107–935 | C−C−H, C−OH | Bending |
| Color (SRM) | BE–134 | K–97 | CW–12 | US–05 | ||
|---|---|---|---|---|---|---|
| Initial | FC–1 | FC–2 | ||||
| Free | 4.21 ± 0.01 | 4.42 ± 0.09 | 4.07 ± 0.37 | 4.19 ± 0.01 | – | – |
| Encapsulate | 3.97 ± 0.24 | 3.67 ± 0.02 | 3.47 ± 0.23 | 3.61 ± 0.26 | 4.48 ± 0.03 | 3.48 ± 0.58 |
| Organic Acid | Yeast | BE–134 | K–97 | CW–12 | US–05 | ||
|---|---|---|---|---|---|---|---|
| Initial | FC–1 | FC–2 | |||||
| Acetic [mg/mL] | Free | 0.79 ± 0.07 | 0.75 ± 0.21 | 1.77 ± 0.18 * | 0.48 ± 0.26 | – | – |
| Encapsulate | 0.74 ± 0.15 | 0.58 ± 0.13 | 1.97 ± 0.07 * | 0.91 ± 1.17 | 1.69 ± 1.42 | 4.88 ± 1.78 | |
| Lactic [mg/mL] | Free | 8.55 ± 0.94 | 11.28 ± 1.64 | 9.53 ± 1.52 | 10.77 ± 1.37 | – | – |
| Encapsulate | 11.84 ± 5.09 | 17.63 ± 1.33 * | 8.87 ± 0.47 | 7.85 ± 2.00 | 13.71 ± 0.54 | 9.87 ± 1.45 | |
| pH | Free | 4.52 ± 0.19 | 4.04 ± 0.28 | 3.24 ± 0.10 | 4.01 ± 0.04 | – | – |
| Encapsulate | 4.29 ± 0.52 | 3.62 ± 0.03 | 3.29 ± 0.01 | 3.82 ± 0.29 | 3.71 ± 0.02 | 3.57 ± 0.03 | |
Disclaimer/Publisher’s Note: The statements, opinions and data contained in all publications are solely those of the individual author(s) and contributor(s) and not of MDPI and/or the editor(s). MDPI and/or the editor(s) disclaim responsibility for any injury to people or property resulting from any ideas, methods, instructions or products referred to in the content. |
© 2023 by the authors. Licensee MDPI, Basel, Switzerland. This article is an open access article distributed under the terms and conditions of the Creative Commons Attribution (CC BY) license (https://creativecommons.org/licenses/by/4.0/).
Share and Cite
Bolanos-Barbosa, A.D.; Rodríguez, C.F.; Acuña, O.L.; Cruz, J.C.; Reyes, L.H. The Impact of Yeast Encapsulation in Wort Fermentation and Beer Flavor Profile. Polymers 2023, 15, 1742. https://doi.org/10.3390/polym15071742
Bolanos-Barbosa AD, Rodríguez CF, Acuña OL, Cruz JC, Reyes LH. The Impact of Yeast Encapsulation in Wort Fermentation and Beer Flavor Profile. Polymers. 2023; 15(7):1742. https://doi.org/10.3390/polym15071742
Chicago/Turabian StyleBolanos-Barbosa, Angie D., Cristian F. Rodríguez, Olga L. Acuña, Juan C. Cruz, and Luis H. Reyes. 2023. "The Impact of Yeast Encapsulation in Wort Fermentation and Beer Flavor Profile" Polymers 15, no. 7: 1742. https://doi.org/10.3390/polym15071742
APA StyleBolanos-Barbosa, A. D., Rodríguez, C. F., Acuña, O. L., Cruz, J. C., & Reyes, L. H. (2023). The Impact of Yeast Encapsulation in Wort Fermentation and Beer Flavor Profile. Polymers, 15(7), 1742. https://doi.org/10.3390/polym15071742

