Bioactive Materials Based on Hydroxypropyl Methylcellulose and Silver Nanoparticles: Structural-Morphological Characterization and Antimicrobial Testing
Abstract
1. Introduction
2. Materials and Methods
3. Results and Discussion
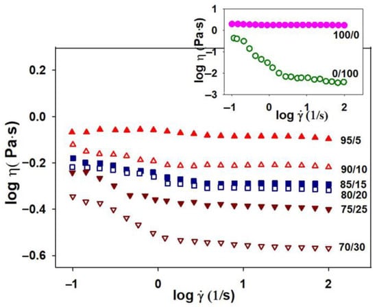
3.1. Conformational Characteristics in the HPMC/PVP/Water System: Rheological Parameters
3.2. New Formulations by Silver Introduction in HPMC/PVP System
3.3. Surface Morphology Analysis
3.4. Antimicrobial Activity Testing
4. Conclusions
Author Contributions
Funding
Institutional Review Board Statement
Data Availability Statement
Acknowledgments
Conflicts of Interest
References
- Spellberg, B.; Guidos, R.; Gilbert, D.; Bradley, J.; Boucher, H.W.; Scheld, W.M.; Bartlett, J.G.; Edwards, J. The epidemic of antibiotic-resistant infections: A call to action for the medical community from the infectious diseases society of America. Clin. Infect. Dis. 2008, 46, 155–164. [Google Scholar] [CrossRef] [PubMed]
- Gupta, B.; Mishra, V.; Gharat, S.; Momin, M.; Omri, A. Cellulosic polymers for enhancing drug bioavailability in ocular drug delivery systems. Pharmaceuticals 2021, 14, 1201. [Google Scholar] [CrossRef] [PubMed]
- Abdelhamid, H.N.; Mathew, A.P. Cellulose-based nanomaterials advance biomedicine: A Review. Int. J. Mol. Sci. 2022, 23, 5405. [Google Scholar] [CrossRef]
- Filimon, A.; Avram, E.; Dunca, S. Surface and interface properties of functionalized polysulfones: Cell-material interaction and antimicrobial activity. Polym. Eng. Sci. 2015, 55, 2184–2194. [Google Scholar] [CrossRef]
- Xie, Y.; Qiao, K.; Yue, L.; Tang, T.; Zheng, Y.; Zhu, S.; Yang, H.; Fang, Z. A self-crosslinking, double-functional group modified bacterial cellulose gel used for antibacterial and healing of infected wound. Bioact. Mater. 2022, 17, 248–260. [Google Scholar] [CrossRef]
- Pan, Y.; Xia, Q.; Xiao, H. Cationic polymers with tailored structures for rendering polysaccharide-based materials antimicrobial: An overview. Polymers 2019, 11, 1283. [Google Scholar] [CrossRef] [PubMed]
- Filimon, A.; Stoica, I.; Onofrei, M.D.; Bargan, A.; Dunca, S. Quaternized polysulfones-based blends: Surface properties and performance in life quality and environmental applications. Polym. Test. 2018, 71, 285–295. [Google Scholar] [CrossRef]
- Korica, M.D.; Kramar, A.; Peršin Fratnik, Z.; Obradovic, B.; Kuraica, M.M.; Dojcinovic, B.; Fras Zemljic, L.; Kostic, M. Obtaining medical textiles based on viscose and chitosan/zinc nanoparticles with improved antibacterial properties by using a dielectric barrier discharge. Polymers 2022, 14, 4152. [Google Scholar] [CrossRef]
- Krzywicka, A.; Megiel, E. Silver-polystyrene (Ag/PS) nanocomposites doped with polyvinyl alcohol (PVA)-Fabrication and bactericidal activity. Nanomaterials 2020, 10, 2245. [Google Scholar] [CrossRef]
- Ghadermazi, R.; Hamdipour, S.; Sadeghi, K.; Ghadermazi, R.; Khosrowshahi Asl, A. Effect of various additives on the properties of the films and coatings derived from hydroxypropyl methylcellulose-A review. Food Sci. Nutr. 2019, 7, 3363–3377. [Google Scholar] [CrossRef]
- Park, H.J.; Weller, C.L.; Vergano, P.J.; Testin, R.F. Permeability and mechanical properties of cellulose-based edible films. J. Food Sci. 1993, 58, 1361–1364. [Google Scholar] [CrossRef]
- Qiu, H.; Si, Z.; Luo, Y.; Feng, P.; Wu, X.; Hou, W.; Zhu, Y.; Chan-Park, M.B.; Xu, L.; Huang, D. The mechanisms and the applications of antibacterial polymers in surface modification on medical devices-A review. Front. Bioeng. Biotechnol. 2020, 8, 910. [Google Scholar] [CrossRef] [PubMed]
- Olmos, D.; González-Benito, J. Polymeric materials with antibacterial activity: A review. Polymers 2021, 13, 613. [Google Scholar] [CrossRef] [PubMed]
- Rhim, J.W.; Hong, S.I.; Park, H.M.; Ng, P.K.W. Preparation and characterization of chitosan-based nanocomposite films with antimicrobial activity. J. Agric. Food Chem. 2006, 54, 5814–5822. [Google Scholar] [CrossRef] [PubMed]
- Liu, M.; Bauman, L.; Nogueira, C.L.; Aucoin, M.G.; Anderson, W.A.; Zhao, B. Antimicrobial polymeric composites for high-touch surfaces in healthcare applications. Curr. Opin. Biomed. Eng. 2022, 22, 100395. [Google Scholar] [CrossRef]
- Bustamante-Torres, M.; Arcentales-Vera, B.; Estrella-Nuñez, J.; Yánez-Vega, H.; Bucio, E. Antimicrobial activity of composites-based on biopolymers. Macromol 2022, 2, 258–283. [Google Scholar] [CrossRef]
- Javed, R.; Rais, F.; Fatima, H.; Haq, I.U.; Kaleem, M.; Naz, S.S.; Ao, Q. Chitosan encapsulated ZnO nanocomposites: Fabrication, characterization, and functionalization of bio-dental approaches. Mater. Sci. Eng. C 2020, 116, 111184. [Google Scholar] [CrossRef]
- Hussein, M.A.M.; Grinholc, M.; Dena, A.S.A.; El-Sherbiny, I.M.; Megahed, M. Boosting the antibacterial activity of chitosan–gold nanoparticles against antibiotic–resistant bacteria by Punicagranatum L. extract. Carbohydr. Polym. 2021, 256, 117498. [Google Scholar] [CrossRef]
- Chen, L.; Li, Z.; Chen, M. Facile production of silver-reduced graphene oxide nanocomposite with highly effective antibacterial performance. J. Environ. Chem. Eng. 2019, 7, 103160. [Google Scholar] [CrossRef]
- Yañez-Macías, R.; Muñoz-Bonilla, A.; De Jesús-Tellez, M.A.; Maldonado-Textle, H.; Guerrero-Sánchez, C.; Schubert, U.S.; Guerrero-Santos, R. Combinations of antimicrobial polymers with nanomaterials and bioactives to improve biocidal therapies. Polymers 2019, 11, 1789. [Google Scholar] [CrossRef]
- Vasconez, M.B.; Flores, S.K.; Campos, C.A.; Alvarado, J.; Gerschenson, L.N. Antimicrobial activity and physical properties of chitosan-tapioca starch based edible films and coatings. Food Res. Int. 2009, 42, 762–769. [Google Scholar] [CrossRef]
- McMullen, R.L.; Ozkan, S.; Gillece, T. Physicochemical properties of cellulose ethers. Cosmetics 2022, 9, 52. [Google Scholar] [CrossRef]
- Ozkan, S.; Alonso, C.; McMullen, R. Rheological fingerprinting as an effective tool to guide development of personal care formulations. Int. J. Cosmet. Sci. 2020, 42, 536–547. [Google Scholar] [CrossRef] [PubMed]
- Li, K.; Du, H.; Zheng, T.; Liu, H.; Zhang, M.; Zhang, R.; Li, H.; Xie, H.; Zhang, X.; Ma, M.; et al. Recent advances in cellulose and its derivatives for oilfield applications. Carbohydr. Polym. 2021, 259, 117740. [Google Scholar] [CrossRef] [PubMed]
- Villalobos, R.; Chanona, J.; Hernandez, P.; Gutiaerrez, G.; Chiralt, A. Gloss and transparency of hydroxypropyl methylcellulose films containing surfactants as affected by their microstructure. Food Hydrocoll. 2005, 19, 53–61. [Google Scholar] [CrossRef]
- Brindle, L.P.; Krochta, J.M. Physical properties of whey protein hydroxypropylmethylcellulose blend edible films. J. Food Sci. 2008, 73, 446–454. [Google Scholar] [CrossRef]
- Burdock, G.A. Safety assessment of hydroxypropyl methylcellulose as a food ingredient. Food Chem. Toxicol. 2007, 45, 234–2351. [Google Scholar] [CrossRef]
- Von Schantz, L.; Schagerlöf, H.; Nordberg Karlsson, E.; Ohlin, M. Characterization of the substitution pattern of cellulose derivatives using carbohydrate-binding modules. BMC Biotechnol. 2014, 14, 113. [Google Scholar] [CrossRef]
- Moustafa, M.; Fouda, G. Antibacterial modification of textiles using nanotechnology. In A Search for Antibacterial Agents; Bobbarala, V., Ed.; InTech: Rijeka, Croatia, 2012; pp. 47–72. [Google Scholar]
- Rathnayake, W.G.I.U.; Ismail, H.; Baharin, A.; Bandara, I.M.C.C.D.; Rajapakse, S. Enhancement of the antibacterial activity of natural rubber latex foam by the incorporation of zinc oxide nanoparticles. J. Appl. Polym. Sci. 2014, 131, 39601–39609. [Google Scholar] [CrossRef]
- Rajendra, R.; Balakumar, C.; Ahammed, H.A.M.; Jayakumar, S.; Vaideki, K.; Rajesh, E. Use of zinc oxide nano particles for production of antimicrobial textiles. Int. J. Eng. Sci. Technol. 2010, 2, 202–208. [Google Scholar] [CrossRef]
- De Moura, M.R.; Mattoso, L.H.; Zucolotto, V. Development of cellulose based bactericidal nanocomposites containing silver nanoparticles and their use as active food packaging. J. Food Eng. 2012, 109, 520–524. [Google Scholar] [CrossRef]
- Dong, C.; Zhang, X.; Cai, H. Green synthesis of monodisperse silver nanoparticles using hydroxy propyl methyl cellulose. J. Alloys Compd. 2014, 583, 267–271. [Google Scholar] [CrossRef]
- Suwan, T.; Khongkhunthian, S.; Okonogi, S. Silver nanoparticles fabricated by reducing property of cellulose derivatives. Drug Discov. Ther. 2019, 13, 70–79. [Google Scholar] [CrossRef] [PubMed]
- Ayrancí, E.; Büyüktaş, B.Ş.; Çetin, E.E. The effect of molecular weight of constituents on properties of cellulose-based edible films. LWT Food Sci. Technol. 1997, 30, 101–104. [Google Scholar] [CrossRef]
- Travan, A.; Pelillo, C.; Donati, I.; Marsich, E.; Benincasa, M.; Scarpa, T.; Semeraro, S.; Turco, G.; Gennaro, R.; Paoletti, S. Non-cytotoxic silver nanoparticle-polysaccharide nancomposites with antimicrobial activity. Biomacromolecules 2009, 10, 1429–1435. [Google Scholar] [CrossRef] [PubMed]
- Fu, J.; Ji, J.; Fan, D.; Shen, J. Construction of antibacterial multilayer films containing nanosilver via layer-by-layer assembly of heparin and chitosan-silver ions complex. J. Biomed. Mater. Res. Part A 2006, 79, 665–674. [Google Scholar] [CrossRef] [PubMed]
- Sanpui, P.; Murugadoss, A.; Prasad, P.V.D.; Ghosh, S.S.; Chattopadhyay, A. The antibacterial properties of a novel chitosan-Ag-nanoparticle composite. Int. J. Food Microbiol. 2008, 124, 142–146. [Google Scholar] [CrossRef]
- Krasniewska, K.; Galus, S.; Gniewosz, M. Biopolymers-based materials containing silver nanoparticles as active packaging for food applications—A review. Int. J. Mol. Sci. 2020, 21, 698. [Google Scholar] [CrossRef]
- Zhang, W.; Ye, G.; Liao, D.; Chen, X.; Lu, C.; Nezamzadeh-Ejhieh, A.; Khan, M.S.; Liu, J.; Pan, Y.; Dai, Z. Recent advances of silver-based coordination polymers on antibacterial applications. Molecules 2022, 27, 7166. [Google Scholar] [CrossRef]
- Huang, H.H.; Ni, X.P.; Loy, G.L.; Chew, C.H.; Tan, K.L.; Loh, F.C.; Deng, J.F.; Xu, G.Q. Photochemical formation of silver nanoparticles in poly(n-vinylpyrrolidone). Langmuir 1996, 12, 909–912. [Google Scholar] [CrossRef]
- Carotenuto, G. Synthesis and characterization of poly(N-vinylpyrrolidone) filled by monodispersed silver clusters with controlled size. Appl. Organomet. Chem. 2001, 15, 344–351. [Google Scholar] [CrossRef]
- Arpa, M.D.; Ünükür, M.Z.; Erim, Ü.C. Formulation, characterization and in vitro release studies of terbinafine hydrochloride loaded buccal films. J. Res. Pharm. 2021, 25, 667–680. [Google Scholar]
- Sun, Z.; Zhang, H.; He, H.; Sun, L.; Zhang, X.; Wang, Q.; Li, K.; He, Z. Cooperative effect of polyvinylpyrrolidone and HPMC E5 on dissolution and bioavailability of nimodipine solid dispersions and tablets. Asian J. Pharm. Sci. 2019, 14, 668–676. [Google Scholar] [CrossRef]
- Józó, M.; Simon, N.; Yi, L.; Móczó, J.; Pukánszky, B. Improved release of a drug with poor water solubility by using electrospun water-soluble polymers as carriers. Pharmaceutics 2022, 14, 34. [Google Scholar] [CrossRef] [PubMed]
- Aung, N.N.; Ngawhirunpat, T.; Rojanarata, T.; Patrojanasophon, P.; Opanasopit, P.; Pamornpathomkul, B. HPMC/PVP dissolving microneedles: A promising delivery platform to promote trans-epidermal delivery of alpha-arbutin for skin lightening. AAPS PharmSciTech 2020, 21, 25. [Google Scholar] [CrossRef] [PubMed]
- Hu, M.; Li, C.; Li, X.; Zhou, M.; Sun, J.; Sheng, F.; Shi, S.; Lu, L. Zinc oxide/silver bimetallic nanoencapsulated in PVP/PCL nanofibres for improved antibacterial activity. Artif. Cells Nanomed. Biotechnol. 2018, 46, 1248–1257. [Google Scholar] [CrossRef]
- Ramalingam, V.; Varunkumar, K.; Ravikumar, V.; Rajaram, R. Target delivery of doxorubicin tethered with PVP stabilized gold nanoparticles for effective treatment of lung cancer. Sci. Rep. 2018, 8, 1–12. [Google Scholar] [CrossRef]
- Ramalingam, V.; Raja, S.; Harshavardhan, M. In situ one-step synthesis of polymer-functionalized palladium nanoparticles: An efficient anticancer agent against breast cancer. Dalton Trans. 2020, 49, 3510–3518. [Google Scholar] [CrossRef]
- Bryaskova, R.; Pencheva, D.; Nikolov, S.; Kantardjiev, T. Synthesis and comparative study on the antimicrobial activity of hybrid materials based on silver nanoparticles (AgNps) stabilized by polyvinylpyrrolidone (PVP). J. Chem. Biol. 2011, 4, 185–191. [Google Scholar] [CrossRef]
- Bigogno, R.G.; Dias, M.L.; Manhães, N.M.B.; Rodriguez, R.J.S. Integrated treatment of mining dam wastewater with quaternized chitosan and pan/hpmc/agno3 nanostructured hydrophylic membranes. J. Polym. Environ. 2022, 30, 1228–1243. [Google Scholar] [CrossRef]
- Qiu, Y.; Sun, X.; Lin, X.; Yi, W.; Jiang, J. An injectable metal nanoparticle containing cellulose derivative-based hydrogels: Evaluation of antibacterial and in vitro-vivo wound healing activity in children with burn injuries. Int. Wound J. 2022, 19, 666–678. [Google Scholar] [CrossRef] [PubMed]
- Filimon, A.; Onofrei, M.D. New insights on solvent implications in the design of materials based on cellulose derivatives using experimental and theoretical approaches. Materials 2021, 14, 6627. [Google Scholar] [CrossRef] [PubMed]
- Witten, T.A.; Cohen, M.H. Crosslinking in shear-thickening ionomers. Macromolecules 1985, 18, 1915–1918. [Google Scholar] [CrossRef]
- Reiner, M. Deformation, Strain and Flow, 2nd ed.; H. K. Lewis & Co. Ltd.: London, UK, 1960. [Google Scholar]
- Gangopadhyay, R. Exploring rheological properties of aqueous polyaniline-PVP dispersion. J. Polym. Sci. Part B Polym. 2008, 46, 2443–2455. [Google Scholar] [CrossRef]
- Kotia, A.; More, S.; Yadav, A.; Mohan, T.V.S.Y.; Naidu, A.H.; Rajesh, G.; Sarris, I.E. Rheological Properties and its effect on the lubrication mechanism of PVP K30 and PVP 40-50 G as artificial synovial fluids. Inventions 2021, 6, 61. [Google Scholar] [CrossRef]
- Sabzian Mellei, A.; Madadizadeh, A.; Riahi, S.; Kaffashi, B. Synergetic effects of PVP/HEC polymers on rheology and stability of polymeric solutions for enhanced oil recovery at harsh reservoirs. J. Pet. Eng. 2022, 215, 110619. [Google Scholar] [CrossRef]
- Choi, J.H.; Rha, C.K. Dependence of power-law parameters on polysaccharide concentration using methylan. Biotechnol. Tech. 1998, 12, 337–380. [Google Scholar]
- Claudel, M.; Schwarte, J.V.; Fromm, K.M. New antimicrobial strategies based on metal complexes. Chemistry 2020, 2, 849–899. [Google Scholar] [CrossRef]
- Nowack, B.; Krug, H.F.; Height, M. 120 Years of nanosilver history: Implications for policy makers. Environ. Sci. Technol. 2011, 45, 1177–1183. [Google Scholar] [CrossRef]
- Xia, Y.; Xiong, Y.; Lim, B.; Skrabalak, S.E. Shape-controlled synthesis of metal nanocrystals: Simple chemistry meets complex physics? Angew. Chem. Int. Ed. Engl. 2009, 48, 60–103. [Google Scholar] [CrossRef]
- Ni, C.P.; Hassan, A.; Kaler, E.W. Structural characteristics and growth of pentagonal silver nanorods prepared by a surfactant method. Langmuir 2005, 21, 3334–3337. [Google Scholar] [CrossRef] [PubMed]
- Kittler, S.; Greulich, C.; Gebauer, J.S.; Diendorf, J.; Treuel, L.; Ruiz, L.; Gonzalez-Calbet, J.M.; Vallet-Regi, M.; Zellner, R.; Kcller, M.; et al. The influence of proteins on the dispersability and cell-biological activity of silver nanoparticles. J. Mater. Chem. 2010, 20, 512–518. [Google Scholar] [CrossRef]
- Silva, E.; Saraiva, S.M.; Miguel, S.P.; Correia, J.I. PVP-coated silver nanoparticles showing antifungal improved activity against dermatophytes. J. Nanopart. Res. 2014, 16, 2726. [Google Scholar] [CrossRef]
- Lyutakov, O.; Kalachyova, Y.; Solovyev, A.; Vytykacova, S.; Svanda, J.; Siegel, J.; Ulbrich, P.; Svorcik, V. One-step preparation of antimicrobial silver nanoparticles in polymer matrix. J. Nanopart. Res. 2015, 17, 120. [Google Scholar] [CrossRef]
- Van Dong, P.; Ha, C.H.; Binh, L.T.; Kasbohm, J. Chemical synthesis and antibacterial activity of novel-shaped silver nanoparticles. Int. Nano Lett. 2012, 2, 9. [Google Scholar] [CrossRef]
- Zhang, Z.; Zhao, B.; Hu, L. PVP protective mechanism of ultrafine silver powder synthesized by chemical reduction. Process. J. Solid State Chem. 1996, 121, 105–110. [Google Scholar] [CrossRef]
- Dey, A.; Dasgupta, A.; Kumar, V.; Tyagi, A.; Verma, A.K. Evaluation of the of antibacterial efficacy of polyvinylpyrrolidone (PVP) and tri-sodium citrate (TSC) silver nanoparticles. Int. Nano Lett. 2015, 5, 223–230. [Google Scholar] [CrossRef]
- Kvitek, O.; Mutylo, E.; Vokata, B.; Ulbrich, P.; Fajstavr, D.; Reznickova, A.; Svorcik, V. Photochemical preparation of silver colloids in hydroxypropyl methylcellulose for antibacterial materials with controlled release of silver. Coatings 2020, 10, 1046. [Google Scholar] [CrossRef]
- El Hotabya, W.; Sherifa, H.H.A.; Hemdanb, B.A.; Khalilc, W.A.; Khalil, S.K.H. Assessment of in situ-prepared polyvinylpyrrolidone-silver nanocomposite for antimicrobial applications. Acta Phys. Pol. A 2017, 131, 1554–1560. [Google Scholar] [CrossRef]
- Jovanovic, Ž.; Krklješ, A.; Tomic, S.; Miškovic-Stankovic, V.; Popovic, S.; Dragaševic, M.; Kacarevic-Popovic, Z. Properties of Ag/PVP Hydrogel nanocomposite synthesized in situ by gamma irradiation. In Trends in Nanophysics: Theory, Experiment and Technology; Aldea, A., Bârsan, V., Eds.; Springer: Berlin/Heidelberg, Germany, 2010; pp. 315–328. [Google Scholar]
- Heidari, B.; Salmani, S.; Ghamsari, M.S.; Ahmadi, M.; Majles-Ara, M.H. Ag/PVP nanocomposite thin film with giant optical nonlinearity. Opt. Quantum Electron. 2020, 52, 86. [Google Scholar] [CrossRef]
- Flôr Vieira, A.C.; de Matos Fonseca, J.; Costa Menezes, N.M.; Monteiro, A.R.; Valencia, G.A. Active coatings based on hydroxypropyl methylcellulose and silver nanoparticles to extend the papaya (Carica papaya L.) shelf life. Int. J. Biol. Macromol. 2020, 164, 489–498. [Google Scholar] [CrossRef] [PubMed]
- Slistan-Grijalva, A.; Herrera-Urbina, R.; Rivas-Silva, J.F.; Avalos-Borja, M.; Castillon-Barraza, F.F.; Posada-Amarillas, A. Synthesis of silver nanoparticles in a polyvinylpyrrolidone (PVP) paste, and their optical properties in a film and in ethylene glycol. Mat. Res. Bull. 2008, 43, 90–96. [Google Scholar] [CrossRef]
- Kumar, B.; Smita, K.; Cumbal, L.; Debut, A. Green synthesis of silver nanoparticles using Andean blackberry fruit extract. Saudi J. Biol. Sci. 2017, 24, 45–50. [Google Scholar] [CrossRef]
- Dong, Y.; Zhu, H.; Shen, Y.; Zhang, W.; Zhang, L. Antibacterial activity of silver nanoparticles of different particle size against Vibrio Natriegens. PLoS ONE 2019, 14, e0222322. [Google Scholar] [CrossRef] [PubMed]
- Brunauer, S.; Emmett, P.H.; Teller, E. Adsorption of gases in multimolecular layers. J. Am. Chem. Soc. 1938, 60, 309–319. [Google Scholar] [CrossRef]
- Imran, M.; El-Fahmy, S.; Revol-Junelles, A.-M.; Desobry, S. Cellulose derivative based active coatings: Effects of nisin and plasticizer on physico-chemical and antimicrobial properties of hydroxypropyl methylcellulose films. Carbohydr. Polym. 2010, 81, 219–225. [Google Scholar] [CrossRef]
- Ko, Y.-B.; Park, Y.-H.; MubarakAli, D.; Lee, S.-Y.; Kim, J.-W. Synthesis of antibacterial hydroxypropyl methylcellulose and silver nanoparticle biocomposites via solution plasma using silver electrodes. Carbohydr. Polym. 2023, 302, 120341. [Google Scholar] [CrossRef]
- Lansdown, A.B.G. Silver in Healthcare. Its Antimicrobial Efficacy and Safety in Use; Royal Society of Chemistry: Cambridge, UK, 2010; Volume 6. [Google Scholar]
- Choi, O.; Deng, K.K.; Kim, N.J.; Ross, L., Jr.; Surampalli, R.Y.; Hu, Z. The inhibitory effects of silver nanoparticles, silver ions, and silver chloride colloids on microbial growth. Water Res. 2008, 42, 3066–3074. [Google Scholar] [CrossRef]
- Powers, C.M.; Badireddy, A.R.; Ryde, I.T.; Seidler, F.J.; Slotkin, T.A. Silver Nanoparticles Compromise Neurodevelopment in PC12 Cells: Critical Contributions of Silver Ion, Particle Size, Coating, and Composition. Environ. Health Perspect. 2011, 119, 37–45. [Google Scholar] [CrossRef]
- Luther, E.M.; Schmidt, M.M.; Diendorf, J.; Epple, M.; Dringen, R. Upregulation of metallothioneins after exposure of cultured primary astrocytes to silver nanoparticles. Neurochem. Res. 2012, 37, 1639–1648. [Google Scholar] [CrossRef]
- Jena, P.; Mohanty, S.; Mallick, R.; Jacob, B.; Sonawane, A. Toxicity and antibacterial assessment of chitosancoated silver nanoparticles on human pathogens and macrophage cells. Int. J. Nanomed. 2012, 7, 1805–1818. [Google Scholar]
- Kim, J.S.; Kuk, E.; Yu, K.N.; Kim, J.H.; Park, S.J.; Lee, H.J.; Kim, S.H.; Park, Y.K.; Park, Y.H.; Hwang, C.Y.; et al. Antimicrobial effects of silver nanoparticles. Nanomed. Nanotechnol. Biol. Med. 2007, 3, 95–101. [Google Scholar] [CrossRef] [PubMed]












| Systems | n | k | r2 |
|---|---|---|---|
| 100/0 | 1.001 | 1.746 | 0.999 |
| 95/5 | 0.991 | 0.847 | 0.999 |
| 90/10 | 0.988 | 0.637 | 0.999 |
| 85/15 | 0.965 | 0.577 | 0.999 |
| 80/20 | 0.960 | 0.545 | 0.999 |
| 75/25 | 0.959 | 0.455 | 0.997 |
| 70/30 | 0.926 | 0.343 | 0.998 |
| 0/100 | 0.295 | 0.039 | 0.993 |
| 0.663 | 0.014 | 0.993 |
| Parameters | Sample | ||
|---|---|---|---|
| HPMC-AgNPs | PVP-AgNPs | 70 HPMC/30 PVP-AgNPs | |
| Particle size | TEM method | ||
| 51.2 ± 1.8 | 20.4 ± 1.3 | 33.2 ± 1.6 | |
| DLS method | |||
| Z-average | 53.09 ± 0.6 | 21.01 ± 0.3 | 36.60 ± 0.4 |
| PDI | 0.382 | 0.225 | 0.179 |
| Sample/Scanning Area | Sq (nm) | Sbi | Sci |
|---|---|---|---|
| HPMC | |||
| 20 × 20 µm2 5 × 5 µm2 | 79.4 38.8 | 0.304 0.257 | 1.689 1.714 |
| PVP | |||
| 20 × 20 µm2 5 × 5 µm2 | 0.8 0.4 | 0.116 0.367 | 1.441 1.500 |
| HPMC/PVP | |||
| 20 × 20 µm2 5 × 5 µm2 | 82.1 23.3 | 0.212 0.373 | 1.673 1.736 |
| HPMC-AgNPs | |||
| 20 × 20 µm2 5 × 5 µm2 | 6.3 6.0 | 0.050 0.175 | 1.231 1.381 |
| PVP-AgNPs | |||
| 20 × 20 µm2 5 × 5 µm2 | 0.6 0.6 | 0.086 0.151 | 1.501 1.629 |
| HPMC/PVP-AgNPs | |||
| 20 × 20 µm2 5 × 5 µm2 | 7.6 7.4 | 0.148 0.578 | 1.160 1.216 |
| Surface | W (%) | A (m2/g) | ||
|---|---|---|---|---|
| Silver Free | Silver Embedded | Silver Free | Silver Embedded | |
| HPMC | 20.78 | 24.40 | 363.02 | 272.54 |
| PVP | 31.14 | 31.74 | 453.74 | 295.65 |
| 70/30 HPMC/PVP | 23.63 | 25.40 | 457.50 | 289.78 |
Disclaimer/Publisher’s Note: The statements, opinions and data contained in all publications are solely those of the individual author(s) and contributor(s) and not of MDPI and/or the editor(s). MDPI and/or the editor(s) disclaim responsibility for any injury to people or property resulting from any ideas, methods, instructions or products referred to in the content. |
© 2023 by the authors. Licensee MDPI, Basel, Switzerland. This article is an open access article distributed under the terms and conditions of the Creative Commons Attribution (CC BY) license (https://creativecommons.org/licenses/by/4.0/).
Share and Cite
Filimon, A.; Onofrei, M.D.; Bargan, A.; Stoica, I.; Dunca, S. Bioactive Materials Based on Hydroxypropyl Methylcellulose and Silver Nanoparticles: Structural-Morphological Characterization and Antimicrobial Testing. Polymers 2023, 15, 1625. https://doi.org/10.3390/polym15071625
Filimon A, Onofrei MD, Bargan A, Stoica I, Dunca S. Bioactive Materials Based on Hydroxypropyl Methylcellulose and Silver Nanoparticles: Structural-Morphological Characterization and Antimicrobial Testing. Polymers. 2023; 15(7):1625. https://doi.org/10.3390/polym15071625
Chicago/Turabian StyleFilimon, Anca, Mihaela Dorina Onofrei, Alexandra Bargan, Iuliana Stoica, and Simona Dunca. 2023. "Bioactive Materials Based on Hydroxypropyl Methylcellulose and Silver Nanoparticles: Structural-Morphological Characterization and Antimicrobial Testing" Polymers 15, no. 7: 1625. https://doi.org/10.3390/polym15071625
APA StyleFilimon, A., Onofrei, M. D., Bargan, A., Stoica, I., & Dunca, S. (2023). Bioactive Materials Based on Hydroxypropyl Methylcellulose and Silver Nanoparticles: Structural-Morphological Characterization and Antimicrobial Testing. Polymers, 15(7), 1625. https://doi.org/10.3390/polym15071625

