The Effect of Various Fillers on the Properties of Methyl Vinyl Silicone Rubber
Abstract
1. Introduction
2. Materials and Methods
2.1. Materials
2.2. Preparation
2.3. Characterization and Measurement
3. Results and Discussion
3.1. Vulcanization Behavior
3.2. Mechanical Properties
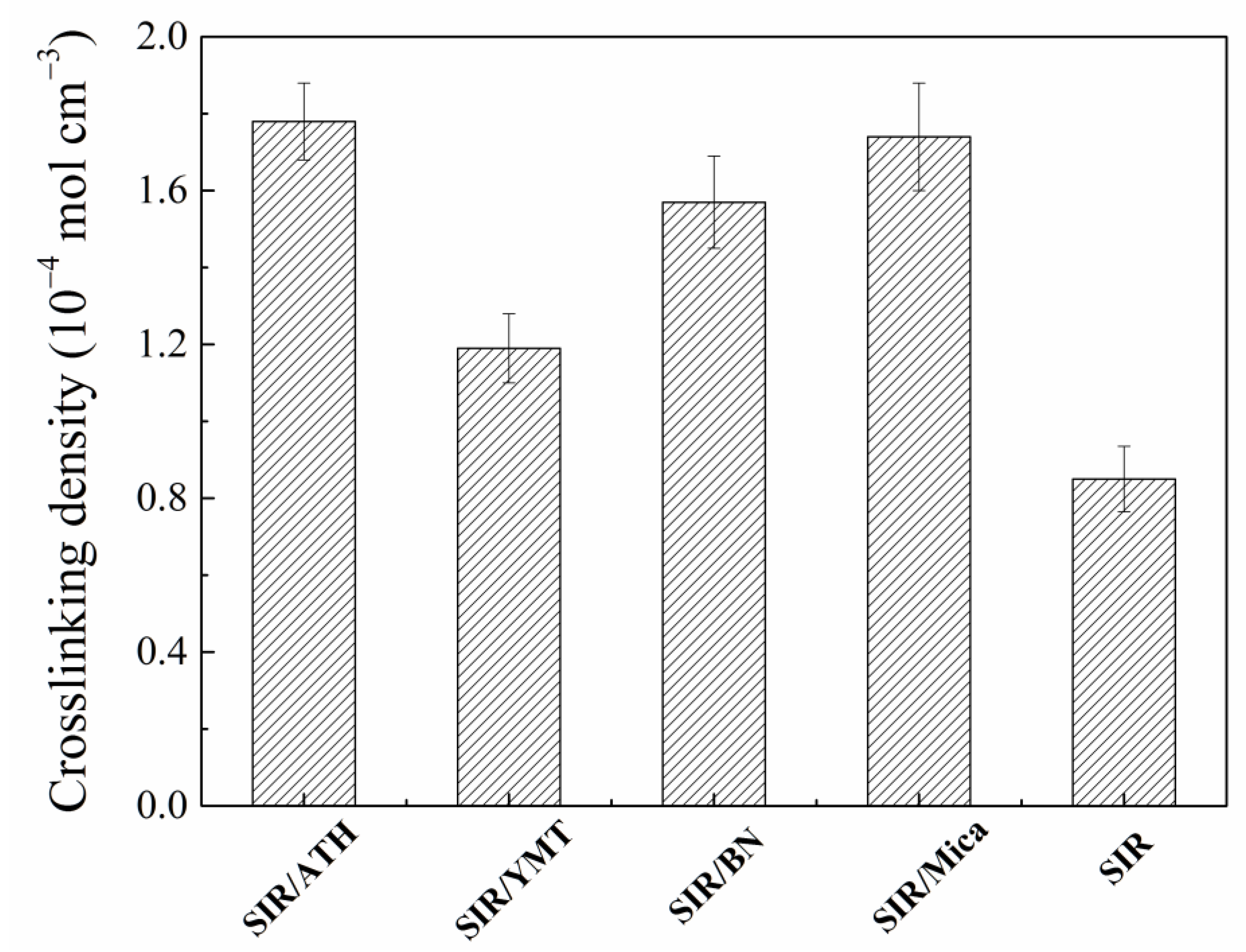
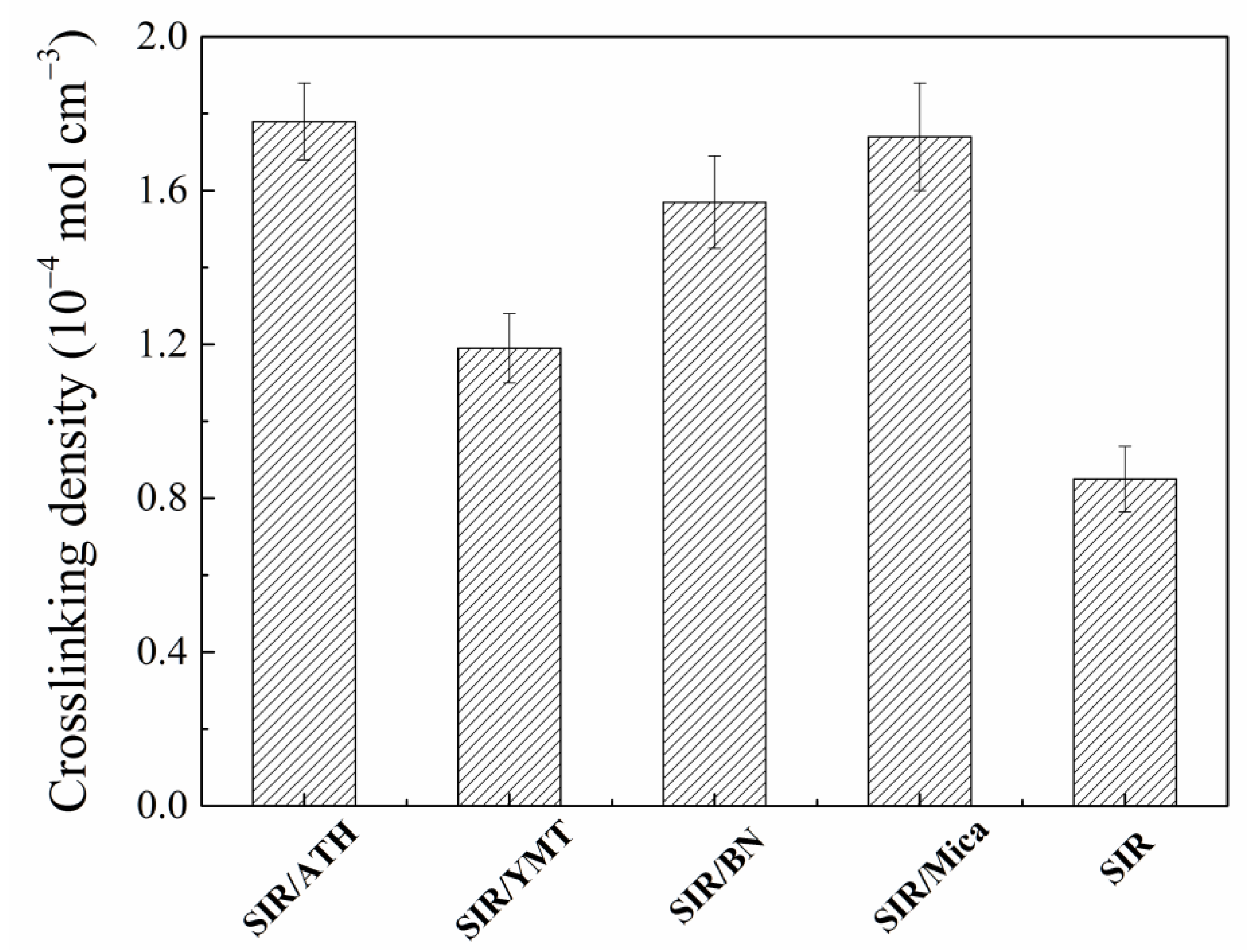
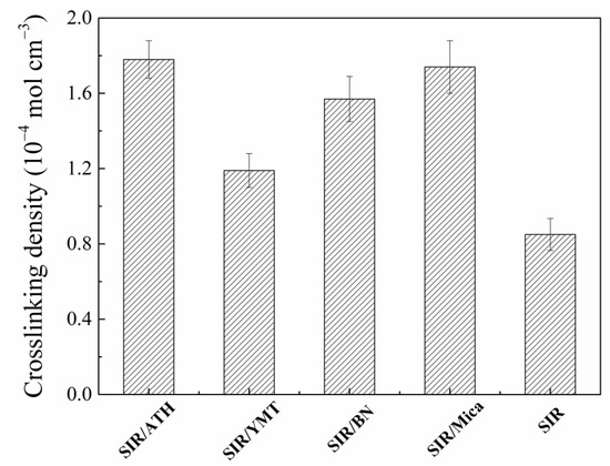
3.3. Crosslinking Density
3.4. Breakdown Strength
3.5. Static Contact Angle
4. Conclusions
Author Contributions
Funding
Institutional Review Board Statement
Informed Consent Statement
Data Availability Statement
Acknowledgments
Conflicts of Interest
References
- Xue, Y.; Li, X.F.; Wang, H.S.; Zhao, F.; Zhang, D.H.; Chen, Y.F. Improvement in thermal conductivity of through-plane aligned boron nitride/silicone rubber composites. Mater. Des. 2019, 165, 107580. [Google Scholar] [CrossRef]
- He, S.J.; Hu, J.B.; Zhang, C.; Wang, J.Q.; Chen, L.; Bian, X.M.; Lin, J.; Du, X.Z. Performance improvement in nano-alumina filled silicone rubber composites by using vinyl tri-methoxysilane. Polym. Test. 2018, 67, 295–301. [Google Scholar] [CrossRef]
- Xue, Y.; Li, X.F.; Wang, H.S.; Zhang, D.H.; Chen, Y.F. Thermal conductivity improvement in electrically insulating silicone rubber composites by the construction of hybrid three-dimensional filler networks with boron nitride and carbon nanotubes. J. Appl. Polym. Sci. 2019, 136, 46929. [Google Scholar] [CrossRef]
- Luo, C.M.; Li, J.; Chen, Z.L.; Lin, J.; Chen, L.; He, S.J. Improving the charge dissipating performance and breakdown strength of epoxy resin by incorporating polydopamine-coated barium titanate. Mater. Today Comm. 2022, 31, 103619. [Google Scholar] [CrossRef]
- Dong, Y.J.; Wang, Z.Y.; Huo, S.C.; Lin, J.; He, S.J. Improved dielectric breakdown strength of polyimide by incorporating polydopamine-coated graphitic carbon nitride. Polymers 2022, 14, 385. [Google Scholar] [CrossRef] [PubMed]
- He, S.J.; Wang, J.Q.; Hu, J.B.; Zhou, H.F.; Nguyen, H.; Luo, C.M.; Lin, J. Silicone rubber composites incorporating graphitic carbon nitride and modified by vinyl tri-methoxysilane. Polym. Test. 2019, 79, 106005–106010. [Google Scholar] [CrossRef]
- Xue, Y.; Wang, H.; Li, X.; Chen, Y. Exceptionally thermally conductive and electrical insulating multilaminar aligned silicone rubber flexible composites with highly oriented and dispersed filler network by mechanical shearing. Compos. Part A-Appl. S. 2021, 144, 106336. [Google Scholar] [CrossRef]
- He, S.J.; Bai, F.J.; Liu, S.X.; Ma, H.F.; Hu, J.B.; Chen, L.; Lin, J.; Wei, G.S.; Du, X.Z. Aging properties of styrene-butadiene rubber nanocomposites filled with carbon black and rectorite. Polym. Test. 2017, 64, 92–100. [Google Scholar] [CrossRef]
- Lehretz, F.; Krebler, J.; Nase, M.; Rennert, M.; Schulte-Fischedick, J.; Seifert, J.M. Enhancement of Acid Stability of Silicone Elastomers by Using Inert Fillers. IEEE T. Dielect. El. In. 2020, 27, 2188–2194. [Google Scholar] [CrossRef]
- Xue, Y.; Li, X.F.; Zhang, D.H.; Wang, H.S.; Chen, Y.; Chen, Y.F. Comparison of ATH and SiO2 fillers filled silicone rubber composites for HTV insulators. Compos. Sci. Technol. 2018, 155, 137–143. [Google Scholar] [CrossRef]
- Han, R.; Quan, X.; Shao, Y.; Niu, K. Tribological properties of phenyl-silicone rubber composites with nano-CeO2 and graphene under thermal-oxidative aging. Appl. Nanosci. 2020, 10, 2129–2138. [Google Scholar] [CrossRef]
- Han, R.; Wang, Z.; Zhang, Y.; Niu, K. Thermal stability of CeO2/graphene/phenyl silicone rubber composites. Polym. Test. 2019, 75, 277–283. [Google Scholar] [CrossRef]
- He, W.; Zhang, F.; Zhang, F.; He, Q. Effect of CeO2 on UV aging of composite insulators prepared by template-spraying method. J. Appl. Polym. Sci. 2023, 140, 53274. [Google Scholar] [CrossRef]
- Ilhan, S.; Tuzun, D.; Ozdemir, A. Comparative Properties of HTV Silicone Rubber for Composite Insulators-ATH and Silica Fillers. IEEE T. Dielect. El. In. 2021, 28, 414–422. [Google Scholar] [CrossRef]
- Ansorge, S.; Schmuck, F.; Papailiou, K.O. Improved Silicone Rubbers for the Use as Housing Material in Composite Insulators. IEEE T. Dielect. El. In. 2012, 19, 209–217. [Google Scholar] [CrossRef]
- Sun, S.; Zhao, M.; Chen, F.; Wu, Z.; Wang, J. Investigation of the Tracking and Erosion Resistance of a Ceramifiable Filler System for Silicone Rubber Composites. IEEE T. Dielect. El. In. 2022, 29, 933–938. [Google Scholar] [CrossRef]
- Zhang, Z.; Huang, Q.; Geng, J.; Liu, Q.; Zhang, S. Defect Identification of Composite Insulator Based on Infrared Image. Polymers 2022, 14, 2620. [Google Scholar] [CrossRef]
- Zhao, M.; Feng, Y.; Li, Y.; Li, G.; Wang, Y.; Han, Y.; Sun, X.; Tan, X. Preparation and Performance of Phenyl-Vinyl-POSS/Addition-Type Curable Silicone Rubber Hybrid Material. J. Macromol. Sci. A 2014, 51, 639–645. [Google Scholar] [CrossRef]
- Zhao, M.; Li, W.; Wu, Y.; Zhao, X.; Tan, M.; Xing, J. Performance Investigation on Different Designs of Superhydrophobic Surface Texture for Composite Insulator. Materials 2019, 12, 1164. [Google Scholar] [CrossRef]
- Cho, J.K.; Sun, H.; Seo, H.W.; Chung, J.Y.; Seol, M.; Kim, S.H.; Kim, R.S.; Park, I.K.; Suhr, J.; Park, J.C.; et al. Heat dissipative mechanical damping properties of EPDM rubber composites including hybrid fillers of aluminium nitride and boron nitride. Soft Matter 2020, 16, 6812–6818. [Google Scholar] [CrossRef] [PubMed]
- Yu, K.; Yuan, T.; Zhang, S.; Bao, C. Hypergravity-Induced Accumulation: A New, Efficient, and Simple Strategy to Improve the Thermal Conductivity of Boron Nitride Filled Polymer Composites. Polymers 2021, 13, 459. [Google Scholar] [CrossRef] [PubMed]
- Chen, X.; Wang, J.Q.; Zhang, C.; Yang, W.; Lin, J.; Bian, X.M.; He, S.J. Performance of silicone rubber composites using boron nitride to replace alumina tri-hydrate. High Volt. 2021, 6, 480–486. [Google Scholar] [CrossRef]
- Xue, Y.; Wang, H.; Li, X.; Chen, Y. Synergy boost thermal conductivity through the design of vertically aligned 3D boron nitride and graphene hybrids in silicone rubber under low loading. Mater. Lett. 2020, 281, 128596. [Google Scholar] [CrossRef]
- He, S.J.; Luo, C.M.; Zheng, Y.Z.; Xue, Y.; Song, X.P.; Lin, J. Improvement in the charge dissipation performance of epoxy resin composites by incorporating amino-modified boron nitride nanosheets. Mater. Lett. 2021, 298, 130009. [Google Scholar] [CrossRef]
- Liao, Y.F.; Weng, Y.X.; Wang, J.Q.; Zhou, H.F.; Lin, J.; He, S.J. Silicone rubber composites with high breakdown strength and low dielectric loss based on polydopamine coated mica. Polymers 2019, 11, 2030–2038. [Google Scholar] [CrossRef]
- Wang, J.; Xie, Y.C.; Liu, J.J.; Zhang, Z.C.; Zhang, Y.F. Towards high efficient nanodielectrics from linear ferroelectric P(VDF-TrFE-CTFE)-g-PMMA matrix and exfoliated mica nanosheets. Appl. Surf. Sci. 2019, 469, 437–445. [Google Scholar] [CrossRef]
- Nazir, M.T.; Phung, B.T.; Hoffman, M.; Yu, S.H.; Li, S.T. Micro-AlN/nano-SiO2 co-filled silicone rubber composites with high thermal stability and excellent dielectric properties. Mater. Lett. 2017, 209, 421–424. [Google Scholar] [CrossRef]
- Velde, B.; Brusewitz, A.M. Compositional Variation in Component Layers in Natural Illite/Smectite. Clay. Clay. Miner. 1986, 34, 651–657. [Google Scholar] [CrossRef]
- Meng, Z.; Li, J.; Zou, Y.; Li, N.; Fu, X.; Zhang, R.; Hu, S.; Liu, Q. Advanced montmorillonite modification by using corrosive microorganisms as an alternative filler to reinforce natural rubber. Appl. Clay. Sci. 2022, 225, 106534. [Google Scholar] [CrossRef]
- Miedzianowska, J.; Masłowski, M.; Rybiński, P.; Strzelec, K. Modified Nanoclays/Straw Fillers as Functional Additives of Natural Rubber Biocomposites. Polymers 2021, 12, 1164. [Google Scholar] [CrossRef]
- He, S.J.; He, T.F.; Wang, J.Q.; Wu, X.H.; Xue, Y.; Zhang, L.Q.; Lin, J. A novel method to prepare acrylonitrile-butadiene rubber/clay nanocomposites by compounding with clay gel. Compos. Part B-Eng. 2019, 167, 356–361. [Google Scholar] [CrossRef]
- Zhang, X.M.; Chen, Z.L.; Li, J.; Wu, X.H.; Lin, J.; He, S.J. Mechanical performance design via regulating the interactions in acrylonitrile-butadiene rubber/clay nanocomposites by small molecule compounds. Polym. Test. 2022, 110, 107565. [Google Scholar] [CrossRef]
- Ning, N.; Ma, Q.; Zhang, Y.; Zhang, L.; Wu, H.; Tian, M. Enhanced thermo-oxidative aging resistance of EPDM at high temperature by using synergistic antioxidants. Polym. Degrad. Stabil. 2014, 102, 1–8. [Google Scholar] [CrossRef]
- Zhang, X.; Zhang, Q.; Zheng, J. Effect and mechanism of iron oxide modified carbon nanotubes on thermal oxidative stability of silicone rubber. Compos. Sci. Technol. 2014, 99, 1–7. [Google Scholar] [CrossRef]
- Zhang, X.M.; Li, J.; Chen, Z.L.; Pang, C.; He, S.J.; Lin, J. Study on thermal-oxidative aging properties of ethylene-propylene-diene monomer composites filled with silica and carbon nanotubes. Polymers 2022, 14, 1205. [Google Scholar] [CrossRef]
- Yang, S.; Jia, Z.; Ouyang, X. Effects of algae contamination on the hydrophobicity of high-voltage composite insulators. High Volt. 2019, 4, 234–240. [Google Scholar] [CrossRef]





| Ingredients | Sample Codes | ||||
|---|---|---|---|---|---|
| SIR/ATH | SIR/YMT | SIR/BN | SIR/Mica | SIR | |
| SIR | 100 | 100 | 100 | 100 | 100 |
| ATH | 100 | 0 | 0 | 0 | 0 |
| YMT | 0 | 100 | 0 | 0 | 0 |
| BN | 0 | 0 | 100 | 0 | 0 |
| Mica | 0 | 0 | 0 | 100 | 0 |
| DBPH | 0.5 | 0.5 | 0.5 | 0.5 | 0.5 |
| Properties | SIR/ATH | SIR/YMT | SIR/BN | SIR/Mica | SIR |
|---|---|---|---|---|---|
| Hardness | 48 | 34 | 62 | 52 | 23 |
| Tensile strength/MPa | 2.9 | 0.92 | 2.1 | 1.2 | 0.38 |
| Elongation at break/% | 230 | 410 | 128 | 102 | 115 |
| Stress at 100% strain/MPa | 1.2 | 0.74 | 2.1 | 1.2 | 0.35 |
Disclaimer/Publisher’s Note: The statements, opinions and data contained in all publications are solely those of the individual author(s) and contributor(s) and not of MDPI and/or the editor(s). MDPI and/or the editor(s) disclaim responsibility for any injury to people or property resulting from any ideas, methods, instructions or products referred to in the content. |
© 2023 by the authors. Licensee MDPI, Basel, Switzerland. This article is an open access article distributed under the terms and conditions of the Creative Commons Attribution (CC BY) license (https://creativecommons.org/licenses/by/4.0/).
Share and Cite
Chen, Y.; Wang, K.; Zhang, C.; Yang, W.; Qiao, B.; Yin, L. The Effect of Various Fillers on the Properties of Methyl Vinyl Silicone Rubber. Polymers 2023, 15, 1584. https://doi.org/10.3390/polym15061584
Chen Y, Wang K, Zhang C, Yang W, Qiao B, Yin L. The Effect of Various Fillers on the Properties of Methyl Vinyl Silicone Rubber. Polymers. 2023; 15(6):1584. https://doi.org/10.3390/polym15061584
Chicago/Turabian StyleChen, Yun, Kun Wang, Chong Zhang, Wei Yang, Bo Qiao, and Li Yin. 2023. "The Effect of Various Fillers on the Properties of Methyl Vinyl Silicone Rubber" Polymers 15, no. 6: 1584. https://doi.org/10.3390/polym15061584
APA StyleChen, Y., Wang, K., Zhang, C., Yang, W., Qiao, B., & Yin, L. (2023). The Effect of Various Fillers on the Properties of Methyl Vinyl Silicone Rubber. Polymers, 15(6), 1584. https://doi.org/10.3390/polym15061584

