Influence of Chitosan and Grape Seed Extract on Thermal and Mechanical Properties of PLA Blends
Abstract
1. Introduction
2. Materials and Methods
2.1. Materials
2.2. Antioxidant Properties of Grape Seed Extract
2.3. Extrusion
2.4. Differential Scanning Calorimetry (DSC)
2.5. Thermogravimetry (TGA)
2.6. Tensile Tests
2.7. Color Measurements
2.8. Scanning Electron Microscopy (SEM)
3. Results and Discussion
3.1. DHPP Antioxidant Assay
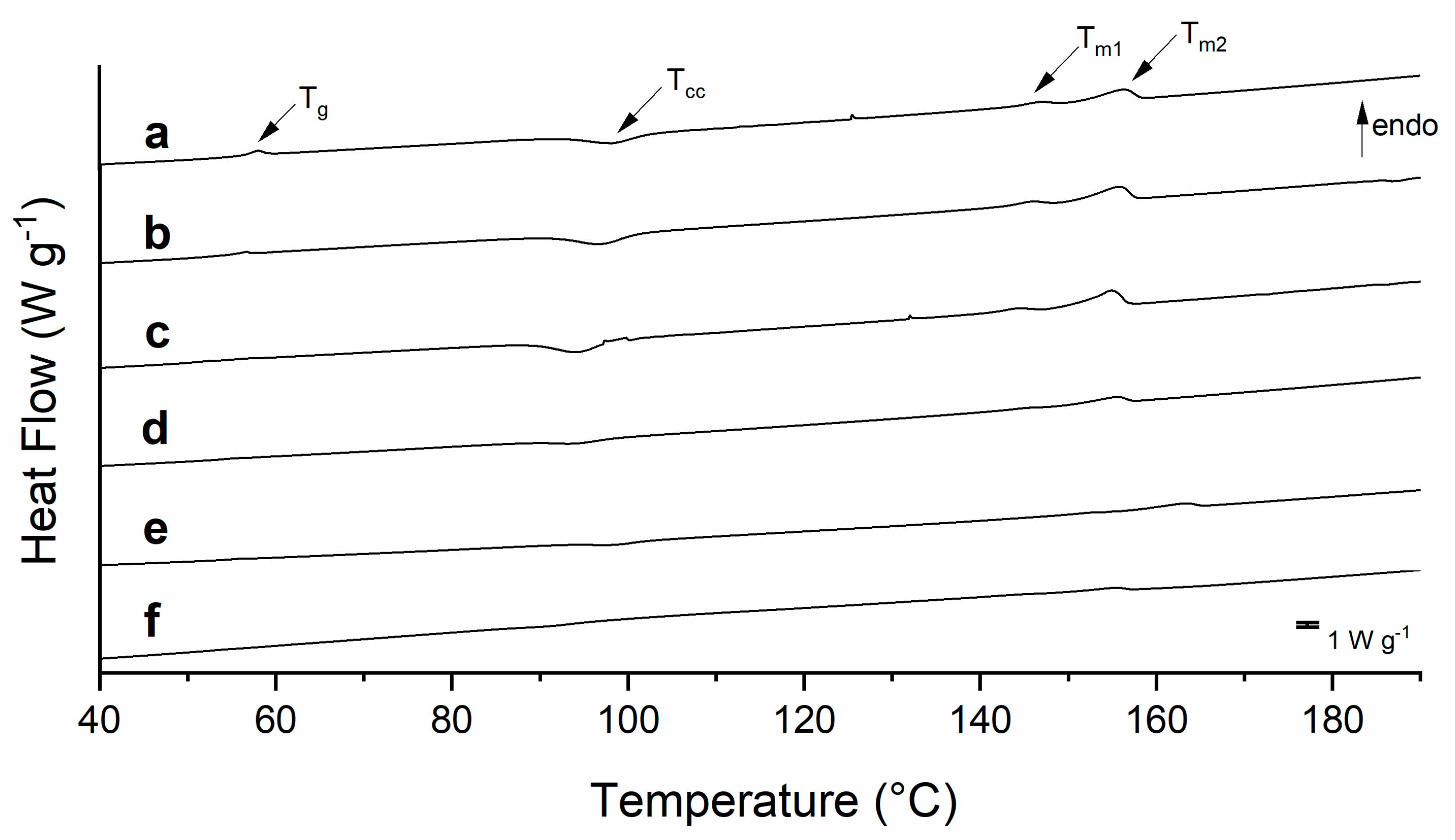
3.2. Differential Scanning Calorimetry (DSC)
3.3. Thermogravimetry (TGA)
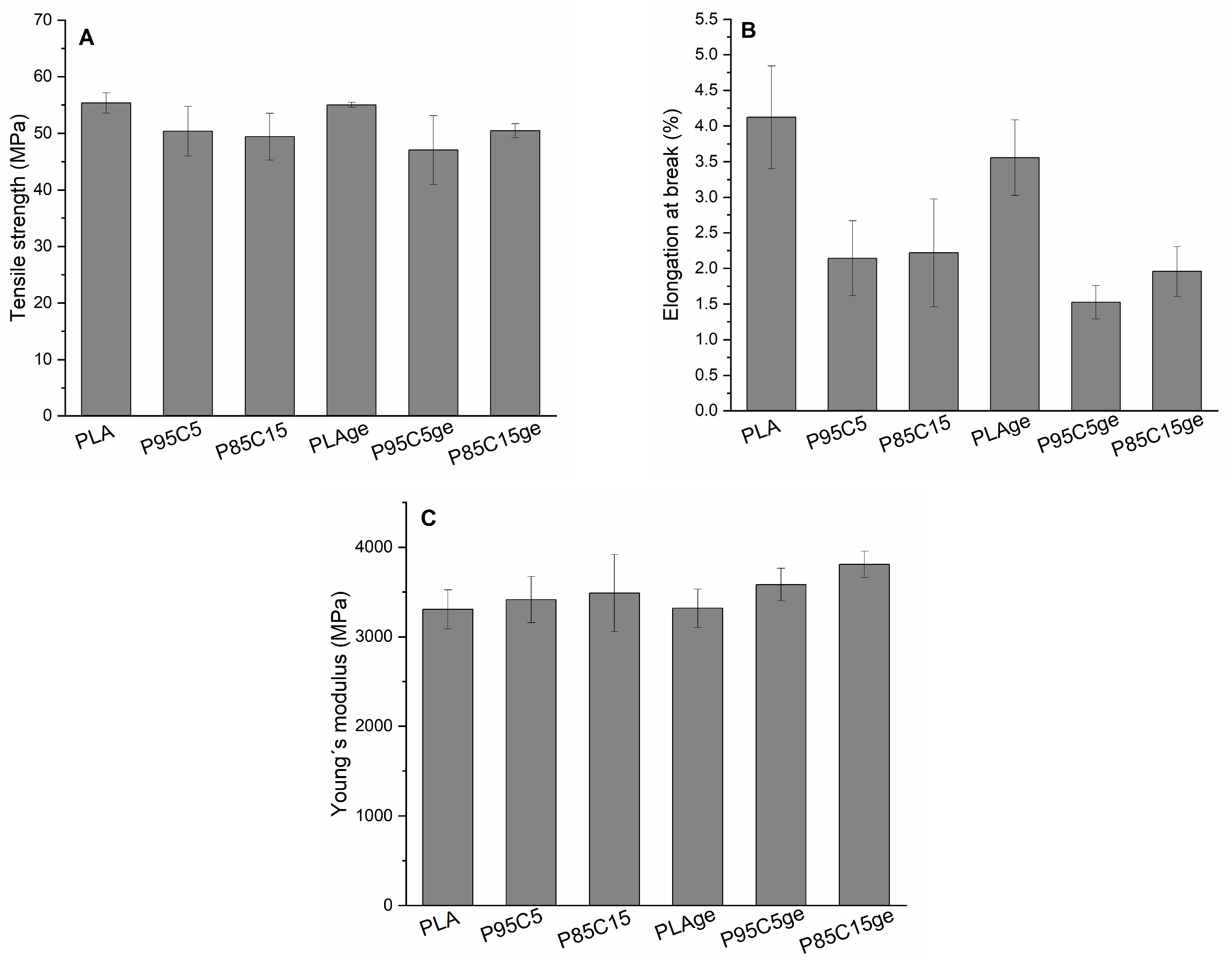
3.4. Tensile Tests
3.5. Color Measurement
3.6. Scanning Electron Microscopy (SEM)
4. Conclusions
Author Contributions
Funding
Data Availability Statement
Conflicts of Interest
References
- Pellis, A.; Malinconico, M.; Guarneri, A.; Gardossi, L. Renewable polymers and plastics: Performance beyond the green. New Biotechnol. 2021, 60, 146–158. [Google Scholar] [CrossRef] [PubMed]
- Bajpai, P.K.; Singh, I.; Madaan, J. Development and characterization of PLA-based green composites. J. Thermoplast. Compos. Mater. 2014, 27, 52–81. [Google Scholar] [CrossRef]
- McKeown, P.; Jones, M.D. The Chemical Recycling of PLA: A Review. Sustain. Chem. 2020, 1, 1–22. [Google Scholar] [CrossRef]
- Li, X.; Lin, Y.; Liu, M.; Meng, L.; Li, C. A review of research and application of polylactic acid composites. J. Appl. Polym. Sci. 2023, 140, e53477. [Google Scholar] [CrossRef]
- Ilyas, R.A.; Zuhri, M.Y.M.; Aisyah, H.A.; Asyraf, M.R.M.; Hassan, S.A.; Zainudin, E.S.; Sapuan, S.M.; Sharma, S.; Bangar, S.P.; Jumaidin, R.; et al. Natural Fiber-Reinforced Polylactic Acid, Polylactic Acid Blends and Their Composites for Advanced Applications. Polymers 2022, 14, 202. [Google Scholar] [CrossRef]
- Oksman, K.; Skrifvars, M.; Selin, J.-F. Natural fibres as reinforcement in polylactic acid (PLA) composites. Compos. Sci. Technol. 2003, 63, 1317–1324. [Google Scholar] [CrossRef]
- Ren, Q.; Wu, M.; Wang, L.; Zheng, W.; Hikima, Y.; Semba, T.; Ohshima, M. Cellulose nanofiber reinforced poly (lactic acid) with enhanced rheology, crystallization and foaming ability. Carbohydr. Polym. 2022, 286, 119320. [Google Scholar] [CrossRef]
- Wang, F.; Wu, H.; Venkataraman, V.; Hu, X. Silk fibroin-poly(lactic acid) biocomposites: Effect of protein-synthetic polymer interactions and miscibility on material properties and biological responses. Mater. Sci. Eng. C Mater. Biol. Appl. 2019, 104, 109890. [Google Scholar] [CrossRef]
- Martins, R.C.; Da Ribeiro, S.P.S.; Nascimento, R.S.V.; Nascimento, M.A.C.; Batistella, M.; Lopez-Cuesta, J.-M. The influence of montmorillonite on the flame-retarding properties of intumescent bio-based PLA composites. J. Appl. Polym. Sci. 2022, 139, 52243. [Google Scholar] [CrossRef]
- Pradeep, S.A.; Kharbas, H.; Turng, L.-S.; Avalos, A.; Lawrence, J.G.; Pilla, S. Investigation of Thermal and Thermomechanical Properties of Biodegradable PLA/PBSA Composites Processed via Supercritical Fluid-Assisted Foam Injection Molding. Polymers 2017, 9, 22. [Google Scholar] [CrossRef]
- Wang, Y.; Wang, Y.; Wei, Q.; Zhang, J.; Lei, M.; Li, M.; Li, D. Effects of the composition ratio on the properties of PCL/PLA blends: A kind of thermo-sensitive shape memory polymer composites. J. Polym. Res. 2021, 28, 451. [Google Scholar] [CrossRef]
- Hahn, T.; Tafi, E.; Paul, A.; Salvia, R.; Falabella, P.; Zibek, S. Current state of chitin purification and chitosan production from insects. J. Chem. Technol. Biotechnol. 2020, 95, 2775–2795. [Google Scholar] [CrossRef]
- Águila-Almanza, E.; Low, S.S.; Hernández-Cocoletzi, H.; Atonal-Sandoval, A.; Rubio-Rosas, E.; Violante-González, J.; Show, P.L. Facile and green approach in managing sand crab carapace biowaste for obtention of high deacetylation percentage chitosan. J. Environ. Chem. Eng. 2021, 9, 105229. [Google Scholar] [CrossRef]
- Suyatma, N.E.; Copinet, A.; Tighzert, L.; Coma, V. Mechanical and Barrier Properties of Biodegradable Films Made from Chitosan and Poly (Lactic Acid) Blends. J. Polym. Environ. 2004, 12, 1–6. [Google Scholar] [CrossRef]
- Bonilla, J.; Fortunati, E.; Vargas, M.; Chiralt, A.; Kenny, J.M. Effects of chitosan on the physicochemical and antimicrobial properties of PLA films. J. Food Eng. 2013, 119, 236–243. [Google Scholar] [CrossRef]
- Claro, P.I.C.; Neto, A.R.S.; Bibbo, A.C.C.; Mattoso, L.H.C.; Bastos, M.S.R.; Marconcini, J.M. Biodegradable Blends with Potential Use in Packaging: A Comparison of PLA/Chitosan and PLA/Cellulose Acetate Films. J. Polym. Environ. 2016, 24, 363–371. [Google Scholar] [CrossRef]
- Wang, K.; Lim, P.N.; Tong, S.Y.; Thian, E.S. Development of grapefruit seed extract-loaded poly(ε-caprolactone)/chitosan films for antimicrobial food packaging. Food Packag. Shelf Life 2019, 22, 100396. [Google Scholar] [CrossRef]
- Habib, H.M.; El-Fakharany, E.M.; Kheadr, E.; Ibrahim, W.H. Grape seed proanthocyanidin extract inhibits DNA and protein damage and labile iron, enzyme, and cancer cell activities. Sci. Rep. 2022, 12, 12393. [Google Scholar] [CrossRef]
- Unusan, N. Proanthocyanidins in grape seeds: An updated review of their health benefits and potential uses in the food industry. J. Funct. Foods 2020, 67, 103861. [Google Scholar] [CrossRef]
- Ludwiczak, J.; Kozlowski, M. Foaming of Polylactide in the Presence of Chain Extender. J. Polym. Environ. 2015, 23, 137–142. [Google Scholar] [CrossRef]
- Di Lorenzo, M.L.; Androsch, R. Influence of α’-/α-crystal polymorphism on properties of poly (l-lactic acid). Polym. Int. 2019, 68, 320–334. [Google Scholar] [CrossRef]
- Frone, A.N.; Berlioz, S.; Chailan, J.-F.; Panaitescu, D.M.; Donescu, D. Cellulose fiber-reinforced polylactic acid. Polym. Compos. 2011, 32, 976–985. [Google Scholar] [CrossRef]
- Suksut, B.; Deeprasertkul, C. Effect of Nucleating Agents on Physical Properties of Poly(lactic acid) and Its Blend with Natural Rubber. J. Polym. Environ. 2011, 19, 288–296. [Google Scholar] [CrossRef]
- Yu, W.; Wang, X.; Ferraris, E.; Zhang, J. Melt crystallization of PLA/Talc in fused filament fabrication. Mater. Des. 2019, 182, 108013. [Google Scholar] [CrossRef]
- Timur, M.; Paşa, A. Synthesis, Characterization, Swelling, and Metal Uptake Studies of Aryl Cross-Linked Chitosan Hydrogels. ACS Omega 2018, 3, 17416–17424. [Google Scholar] [CrossRef]
- Espino-Pérez, E.; Bras, J.; Ducruet, V.; Guinault, A.; Dufresne, A.; Domenek, S. Influence of chemical surface modification of cellulose nanowhiskers on thermal, mechanical, and barrier properties of poly(lactide) based bionanocomposites. Eur. Polym. J. 2013, 49, 3144–3154. [Google Scholar] [CrossRef]
- Petersson, L.; Oksman, K. Biopolymer based nanocomposites: Comparing layered silicates and microcrystalline cellulose as nanoreinforcement. Compos. Sci. Technol. 2006, 66, 2187–2196. [Google Scholar] [CrossRef]
- Zakaria, Z.; Islam, M.S.; Hassan, A.; Mohamad Haafiz, M.K.; Arjmandi, R.; Inuwa, I.M.; Hasan, M. Mechanical Properties and Morphological Characterization of PLA/Chitosan/Epoxidized Natural Rubber Composites. Adv. Mater. Sci. Eng. 2013, 2013, 629092. [Google Scholar] [CrossRef]
- Ren, L.; Yan, X.; Zhou, J.; Tong, J.; Su, X. Influence of chitosan concentration on mechanical and barrier properties of corn starch/chitosan films. Int. J. Biol. Macromol. 2017, 105, 1636–1643. [Google Scholar] [CrossRef]
- Leceta, I.; Guerrero, P.; De La Caba, K. Functional properties of chitosan-based films. Carbohydr. Polym. 2013, 93, 339–346. [Google Scholar] [CrossRef]
- Jakubowska, E.; Gierszewska, M.; Nowaczyk, J.; Olewnik-Kruszkowska, E. Physicochemical and storage properties of chitosan-based films plasticized with deep eutectic solvent. Food Hydrocoll. 2020, 108, 106007. [Google Scholar] [CrossRef]





| Sample | Tg (°C) | Tcc (°C) | ΔHcc (J g−1) | Tm1 (°C) | Tm2 (°C) | ΔHm (J g−1) | Xc (%) |
|---|---|---|---|---|---|---|---|
| PLA | 58.6 | 98.2 | 23.3 | 147.0 | 156.4 | 24.0 | 25.8 |
| P95C5 | 56.8 | 96.8 | 18.2 | 146.3 | 155.8 | 22.6 | 25.5 |
| P85C15 | 56.7/53.0 * | 94.2 | 17.7 | 144.3 | 155.0 | 23.2 | 29.3 |
| PLAGE | 55.9 | 94.0 | 16.7 | 145.3 | 155.5 | 16.9 | 18.2 |
| P95C5GE | 53.0 | 94.5 | 15.6 | 144.6 | 155.2 | 17.2 | 19.5 |
| P85C15GE | 54.1 | 93.0 | 12.9 | 144.9 | 155.4 | 18.9 | 23.9 |
| Sample | T (°C) | Tonset (°C) | |||
|---|---|---|---|---|---|
| T10% | T25% | T50% | T75% | ||
| PLA | 287.1 | 302.0 | 314.6 | 329.1 | 318.7 |
| P95C5 | 263.2 | 282.4 | 298.0 | 315.1 | 307.0 |
| P85C15 | 258.2 | 277.0 | 295.5 | 319.5 | 292.0 |
| PLAGE | 234.7 | 251.9 | 265.0 | 280.4 | 321.4 |
| P95C5GE | 282.5 | 298.2 | 311.7 | 327.4 | 309.3 |
| P85C15GE | 265.4 | 284.4 | 302.8 | 323.5 | 293.9 |
| Sample | Tensile Strength (MPa) | Maximum Elongation at Break (%) | Young’s Modulus (MPa) |
|---|---|---|---|
| PLA | 55.4 ± 1.8 a | 4.1 ± 0.7 a | 3306 ± 217 a |
| P95C5 | 50.4 ± 4.4 a,b | 2.1 ± 0.5 b | 3415 ± 258 a |
| P85C15 | 49.4 ± 4.1 a,b | 2.2 ± 0.8 b | 3488 ± 431 a |
| PLAGE | 55.0 ± 0.4 a | 3.6 ± 0.5 a | 3319 ± 214 a |
| P95C5GE | 47.0 ± 6.0 b | 1.5 ± 0.2 b | 3582 ± 182 a |
| P85C15GE | 50.5 ± 1.2 a,b | 2.0 ± 0.3 b | 3808 ± 148 a |
| Sample | Color Parameters | |||
|---|---|---|---|---|
| a* | b* | L* | ΔE | |
| PLA | −0.40 | 9.43 | 78.09 | 0 |
| P95C5 | 5.33 | 26.49 | 46.55 | 36.32 |
| P85C15 | 8.38 | 20.59 | 40.44 | 40.24 |
| PLAGE | 5.40 | 3.34 | 26.53 | 52.25 |
| P95C5GE | 6.69 | 5.97 | 28.22 | 50.49 |
| P85C15GE | 5.51 | 5.05 | 27.42 | 51.20 |
Disclaimer/Publisher’s Note: The statements, opinions and data contained in all publications are solely those of the individual author(s) and contributor(s) and not of MDPI and/or the editor(s). MDPI and/or the editor(s) disclaim responsibility for any injury to people or property resulting from any ideas, methods, instructions or products referred to in the content. |
© 2023 by the authors. Licensee MDPI, Basel, Switzerland. This article is an open access article distributed under the terms and conditions of the Creative Commons Attribution (CC BY) license (https://creativecommons.org/licenses/by/4.0/).
Share and Cite
Goetjes, V.; von Boyneburgk, C.L.; Heim, H.-P.; Horn, M.M. Influence of Chitosan and Grape Seed Extract on Thermal and Mechanical Properties of PLA Blends. Polymers 2023, 15, 1570. https://doi.org/10.3390/polym15061570
Goetjes V, von Boyneburgk CL, Heim H-P, Horn MM. Influence of Chitosan and Grape Seed Extract on Thermal and Mechanical Properties of PLA Blends. Polymers. 2023; 15(6):1570. https://doi.org/10.3390/polym15061570
Chicago/Turabian StyleGoetjes, Victoria, Claudia L. von Boyneburgk, Hans-Peter Heim, and Marilia M. Horn. 2023. "Influence of Chitosan and Grape Seed Extract on Thermal and Mechanical Properties of PLA Blends" Polymers 15, no. 6: 1570. https://doi.org/10.3390/polym15061570
APA StyleGoetjes, V., von Boyneburgk, C. L., Heim, H.-P., & Horn, M. M. (2023). Influence of Chitosan and Grape Seed Extract on Thermal and Mechanical Properties of PLA Blends. Polymers, 15(6), 1570. https://doi.org/10.3390/polym15061570

