Neodymium Recovery from the Aqueous Phase Using a Residual Material from Saccharified Banana-Rachis/Polyethylene-Glycol
Abstract
1. Introduction
2. Materials and Methods
2.1. Chemicals
2.2. Adsorbent Material Preparation
2.3. Material Characterization
2.4. Adsorption Experiments
2.4.1. pH and Particle Size Influence
2.4.2. Kinetic Study
2.4.3. Equilibrium Study
2.4.4. Desorption Evaluation
3. Results and Discussion
3.1. Material Characterization
3.1.1. SEM Observations
3.1.2. Compositional Analysis
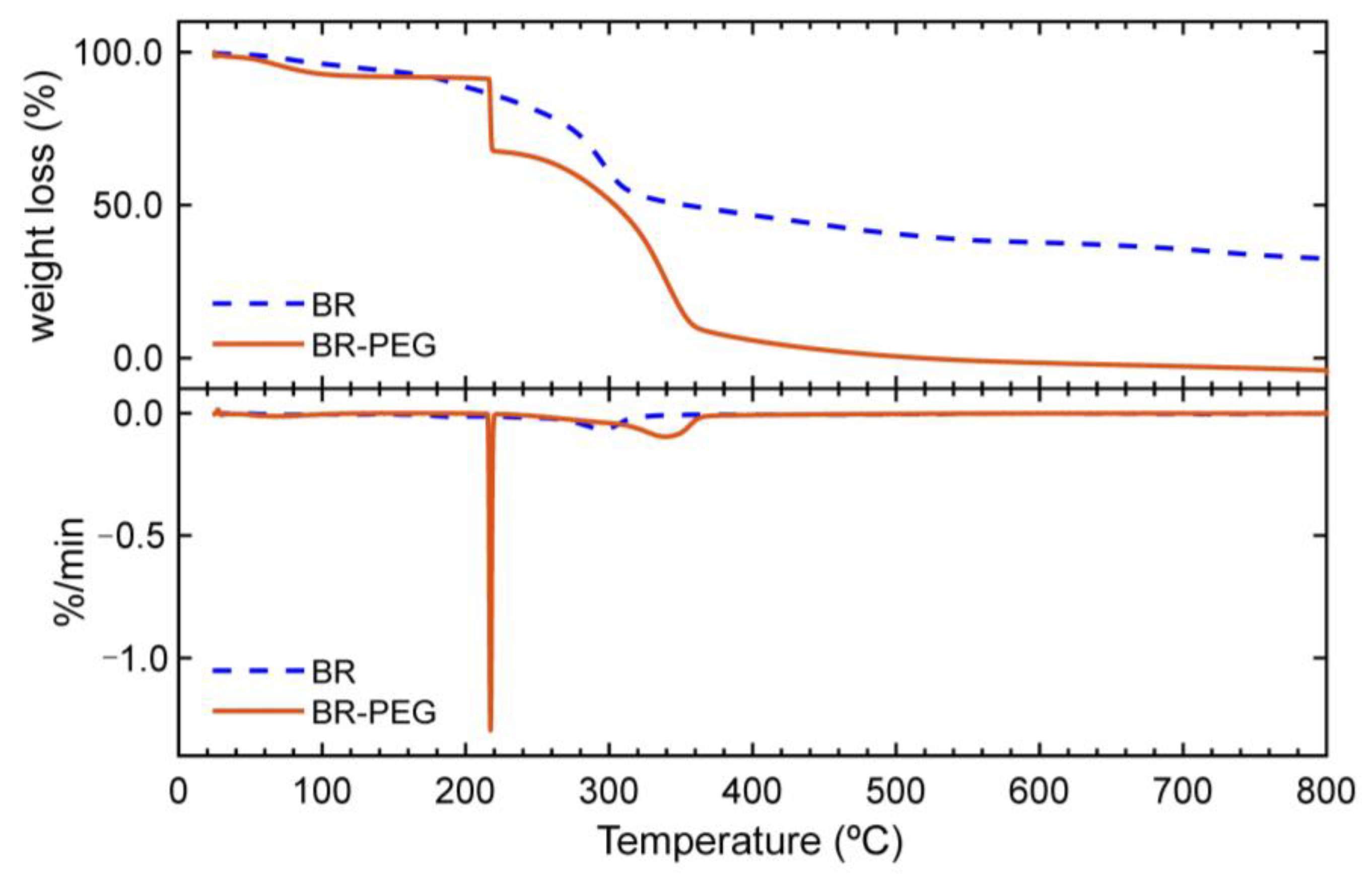
3.1.3. Thermogravimetric Analysis
3.1.4. Infrared Analysis
3.2. Adsorption Experiments
3.2.1. pH and Particle Size Factorial Experiments
3.2.2. Kinetics
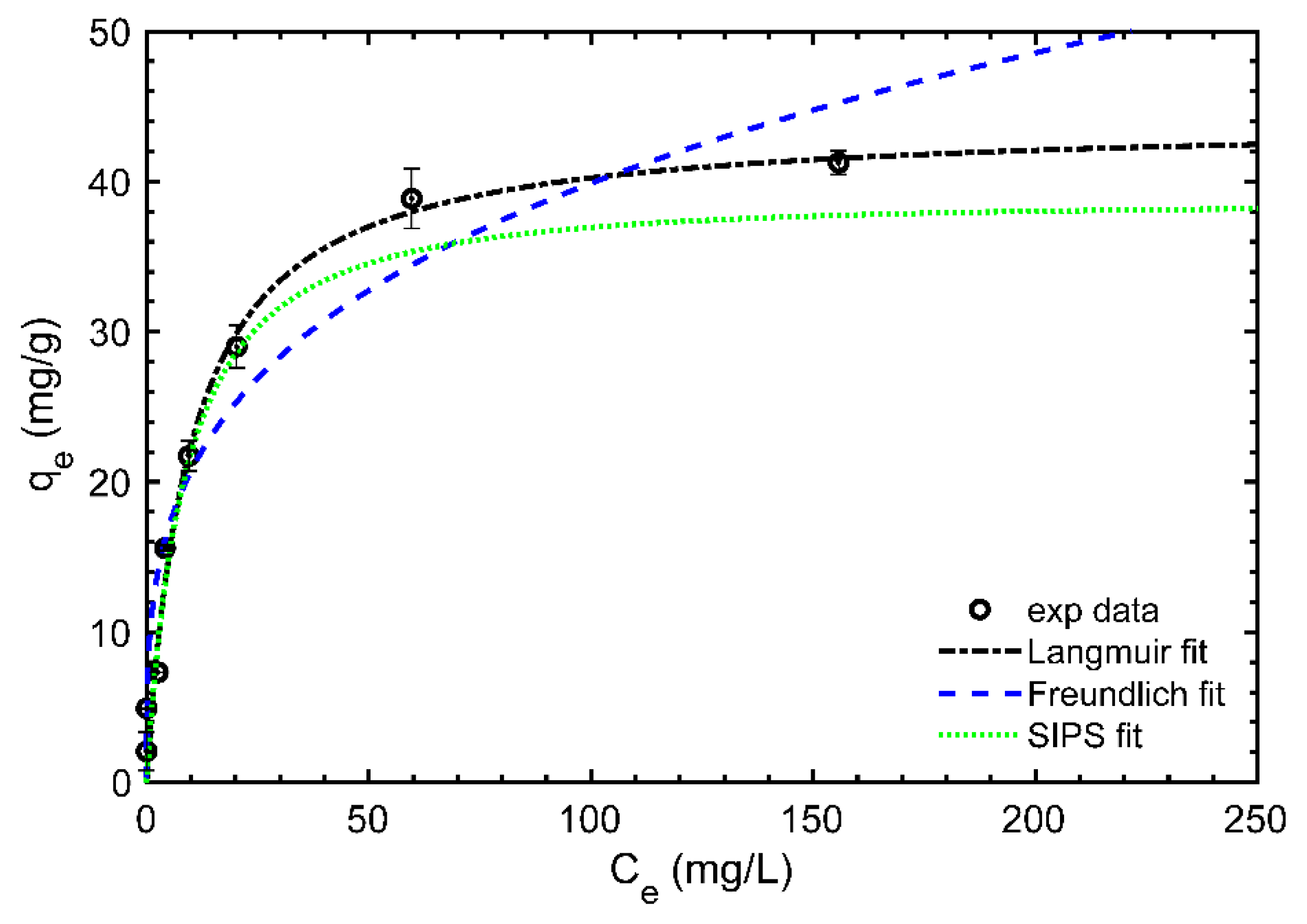
3.2.3. Equilibrium Isotherms
3.2.4. Desorption Evaluation
4. Conclusions
Supplementary Materials
Author Contributions
Funding
Institutional Review Board Statement
Data Availability Statement
Conflicts of Interest
References
- Binnemans, K.; Jones, P.T.; Blanpain, B.; Van Gerven, T.; Yang, Y.; Walton, A.; Buchert, M. Recycling of rare earths: A critical review. J. Clean. Prod. 2013, 51, 1–22. [Google Scholar] [CrossRef]
- de Vargas Brião, G.; da Silva, M.G.C.; Vieira, M.G.A. Reusable and efficient clay material for the fixed-bed neodymium recovery. Sustain. Chem. Pharm. 2022, 25, 100623. [Google Scholar] [CrossRef]
- Junne, T.; Wulff, N.; Breyer, C.; Naegler, T. Critical materials in global low-carbon energy scenarios: The case for neodymium, dysprosium, lithium, and cobalt. Energy 2020, 211, 118532. [Google Scholar] [CrossRef]
- Liu, Q.; Sun, K.; Ouyang, X.; Sen, B.; Liu, L.; Dai, T.; Liu, G. Tracking Three Decades of Global Neodymium Stocks and Flows with a Trade-Linked Multiregional Material Flow Analysis. Environ. Sci. Technol. 2022, 56, 11807–11817. [Google Scholar] [CrossRef] [PubMed]
- U.S. Department of Energy. Critical Materials Strategy; Secretary of Energy: Washington, DC, USA, 2011.
- Rim, K.T.; Koo, K.H.; Park, J.S. Toxicological evaluations of rare earths and their health impacts to workers: A literature review. Saf. Health Work 2013, 4, 12–26. [Google Scholar] [CrossRef] [PubMed]
- Pavon, S.; Kutucu, M.; Coll, M.T.; Fortuny, A.; Sastre, A.M. Comparison of Cyanex 272 and Cyanex 572 for the separation of Neodymium from a Nd/Tb/Dy mixture by pertraction. J. Chem. Technol. Biotechnol. 2018, 93, 2152–2159. [Google Scholar] [CrossRef]
- Demey, H.; Lapo, B.; Ruiz, M.; Fortuny, A.; Marchand, M.; Sastre, A.M. Neodymium recovery by chitosan/iron(III) hydroxide [ChiFer(III)] sorbent material: Batch and column systems. Polymers 2018, 10, 10020204. [Google Scholar] [CrossRef]
- Anastopoulos, I.; Bhatnagar, A.; Lima, E. Adsorption of rare earth metals: A review of recent literature. J. Mol. Liq. 2016, 221, 954–962. [Google Scholar] [CrossRef]
- De Quadros Melo, D.; De Oliveira Sousa Neto, V.; De Freitas Barros, F.C.; Raulino, G.S.C.; Vidal, C.B.; Do Nascimento, R.F. Chemical modifications of lignocellulosic materials and their application for removal of cations and anions from aqueous solutions. J. Appl. Polym. Sci. 2016, 133, 1–22. [Google Scholar] [CrossRef]
- Crini, G.; Lichtfouse, E. Green Adsorbents for Pollutant Removal; Springer Nature: Cham, Switzerland, 2018; ISBN 9783540228608. [Google Scholar]
- Lapo, B.; Bou, J.; Hoyo, J.; Carrillo, M.; Peña, K.; Tzanov, T.; Sastre, A.M. A potential lignocellulosic biomass based on banana waste for critical rare earths recovery from aqueous solutions. Environ. Pollut. 2020, 264, 114409. [Google Scholar] [CrossRef]
- Kema, G.; Drenth, A.; Dita, M.; Jansen, K.; Vellema, S.; Stoorvogel, J. Fusarium wilt of banana, a recurring threat to global banana production. Front. Plant Sci. 2021, 11, 628888. [Google Scholar] [CrossRef] [PubMed]
- Sawarkar, A.N.; Kirti, N.; Tagade, A.; Tekade, S.P. Bioethanol from various types of banana waste: A review. Bioresour. Technol. Rep. 2022, 18, 101092. [Google Scholar] [CrossRef]
- Acevedo, S.; Díaz, A.; Flórez-Lopez, E.; Grande-tovar, C. Recovery of banana waste-loss from production and processing: A contribution to a circular economy. Molecules 2021, 26, 5282. [Google Scholar] [CrossRef] [PubMed]
- Guerrero, A.B.; Ballesteros, I.; Ballesteros, M. The potential of agricultural banana waste for bioethanol production. Fuel 2018, 213, 176–185. [Google Scholar] [CrossRef]
- Costa, S.; Rugiero, I.; Uria, C.L.; Pedrini, P.; Tamburini, E. Lignin degradation efficiency of chemical pre-treatments on banana rachis destined to bioethanol production. Biomolecules 2018, 8, 141. [Google Scholar] [CrossRef]
- Ayala, H.; Kaiser, D.; Pavón, S.; Molina, E.; Siguenza, J.; Bertau, M.; Lapo, B. Valorization of cocoa’s mucilage waste to ethanol and subsequent direct catalytic conversion into ethylene. J. Chem. Technol. Biotechnol. 2022, 97, 2171–2178. [Google Scholar] [CrossRef]
- Capanema, N.S.V.; Mansur, A.A.P.; de Jesus, A.C.; Carvalho, S.M.; de Oliveira, L.C.; Mansur, H.S. Superabsorbent crosslinked carboxymethyl cellulose-PEG hydrogels for potential wound dressing applications. Int. J. Biol. Macromol. 2018, 106, 1218–1234. [Google Scholar] [CrossRef]
- Li, J.; Li, S.; Fan, C.; Yan, Z. The mechanism of poly(ethylene glycol) 4000 effect on enzymatic hydrolysis of lignocellulose. Colloids Surf. B Biointerfaces 2012, 89, 203–210. [Google Scholar] [CrossRef]
- Mandal, S.; Kalaivanan, S.; Mandal, A.B. Polyethylene glycol-modified layered double hydroxides: Synthesis, characterization, and study on adsorption characteristics for removal of acid orange II from aqueous solution. ACS Omega 2019, 4, 3745–3754. [Google Scholar] [CrossRef]
- TAPPI. Acid-Insuble Lignin in Wood and Pulp. 2006. Available online: https://www.tappi.org/content/sarg/t222.pdf (accessed on 22 March 2023).
- Tan, K.L.; Hameed, B.H. Insight into the adsorption kinetics models for the removal of contaminants from aqueous solutions. J. Taiwan Inst. Chem. Eng. 2017, 74, 25–48. [Google Scholar] [CrossRef]
- Deepa, B.; Abraham, E.; Cordeiro, N.; Mozetic, M.; Mathew, A.P.; Oksman, K.; Faria, M.; Thomas, S.; Pothan, L.A. Utilization of various lignocellulosic biomass for the production of nanocellulose: A comparative study. Cellulose 2015, 22, 1075–1090. [Google Scholar] [CrossRef]
- De Lima, G.F.; De Souza, A.G.; Rosa, D.S. Effect of adsorption of polyethylene glycol (PEG), in aqueous media, to improve cellulose nanostructures stability. J. Mol. Liq. 2018, 268, 415–424. [Google Scholar] [CrossRef]
- Shi, Y.; Wang, G. Influence of molecular weight of PEG on thermal and fire protection properties of PEPA-containing polyether flame retardants with high water solubility. Prog. Org. Coat. 2016, 90, 390–398. [Google Scholar] [CrossRef]
- Loof, D.; Hiller, M.; Oschkinat, H.; Koschek, K. Quantitative and qualitative analysis of surface modified cellulose utilizing TGA-MS. Materials 2016, 9, 415. [Google Scholar] [CrossRef] [PubMed]
- Tehrani, Z.; Nordli, H.R.; Pukstad, B.; Gethin, D.T.; Chinga-Carrasco, G. Translucent and ductile nanocellulose-PEG bionanocomposites—A novel substrate with potential to be functionalized by printing for wound dressing applications. Ind. Crops Prod. 2016, 93, 193–202. [Google Scholar] [CrossRef]
- Florian, T.D.M.; Villani, N.; Aguedo, M.; Jacquet, N.; Thomas, H.G.; Gerin, P.; Magali, D.; Richel, A. Chemical composition analysis and structural features of banana rachis lignin extracted by two organosolv methods. Ind. Crops Prod. 2019, 132, 269–274. [Google Scholar] [CrossRef]
- Xu, F.; Yu, J.; Tesso, T.; Dowell, F.; Wang, D. Qualitative and quantitative analysis of lignocellulosic biomass using infrared techniques: A mini-review. Appl. Energy 2013, 104, 801–809. [Google Scholar] [CrossRef]
- Neris, J.B.; Luzardo, F.H.M.; da Silva, E.G.P.; Velasco, F.G. Evaluation of adsorption processes of metal ions in multi-element aqueous systems by lignocellulosic adsorbents applying different isotherms: A critical review. Chem. Eng. J. 2019, 357, 404–420. [Google Scholar] [CrossRef]
- Rápo, E.; Tonk, S. Factors affecting synthetic dye adsorption; desorption Studies: A review of results from the last five years. Molecules 2021, 26, 5419. [Google Scholar] [CrossRef]
- Liu, H.; Sun, J.; Leu, S.-Y.; Chen, S. Toward a fundamental understanding of cellulase-lignin interactions in the whole slurry enzymatic saccharification process. Biofuels Bioprod. Biorefining 2016, 10, 648–663. [Google Scholar] [CrossRef]
- Das, N.; Das, D. Recovery of rare earth metals through biosorption: An overview. J. Rare Earths 2013, 31, 933–943. [Google Scholar] [CrossRef]
- Tran, H.N.; You, S.J.; Nguyen, T.V.; Chao, H.P. Insight into the adsorption mechanism of cationic dye onto biosorbents derived from agricultural wastes. Chem. Eng. Commun. 2017, 204, 1020–1036. [Google Scholar] [CrossRef]
- Li, Y.; Liu, J.; Yuan, Q.; Tang, H.; Yu, F.; Lv, X. A green adsorbent derived from banana peel for highly effective removal of heavy metal ions from water. RSC Adv. 2016, 6, 45041–45048. [Google Scholar] [CrossRef]
- Anwar, J.; Shafique, U.; Salman, M.; Dar, A.; Anwar, S. Bioresource technology removal of Pb(II) and Cd(II) from water by adsorption on peels of banana. Bioresour. Technol. 2010, 101, 1752–1755. [Google Scholar] [CrossRef] [PubMed]
- De Langhe, E.; Vrydaghs, L.; Maret, P.; Perrier, X.; Denham, T. Why bananas matter: An introduction to the history of banana domestication. Ethnobot. Res. Appl. 2009, 7, 165–177. [Google Scholar] [CrossRef]
- Al-Ghouti, M.A.; Da’ana, D.A. Guidelines for the use and interpretation of adsorption isotherm models: A review. J. Hazard. Mater. 2020, 393, 122383. [Google Scholar] [CrossRef]
- Allen, S.J.; Mckay, G.; Porter, J.F. Adsorption isotherm models for basic dye adsorption by peat in single and binary component systems. J. Colloid Interface Sci. 2004, 280, 322–333. [Google Scholar] [CrossRef]
- Ogunleye, O.O.; Ajala, M.A.; Agarry, S.E. Evaluation of Biosorptive Capacity of Banana (Musa paradisiaca) Stalk for Lead(II) Removal from Aqueous Solution. J. Environ. Prot. 2014, 05, 1451–1465. [Google Scholar] [CrossRef]
- Van Thuan, T.; Quynh, B.T.P.; Nguyen, T.D.; Ho, V.T.T.; Bach, L.G. Response surface methodology approach for optimization of Cu2+, Ni2+ and Pb2+ adsorption using KOH-activated carbon from banana peel. Surf. Interfaces 2017, 6, 209–217. [Google Scholar] [CrossRef]
- Butnariu, M.; Negrea, P.; Lupa, L.; Ciopec, M.; Negrea, A.; Pentea, M.; Sarac, I.; Samfira, I. Remediation of rare earth element pollutants by sorption process using organic natural sorbents. Int. J. Environ. Res. Public Health 2015, 12, 11278–11287. [Google Scholar] [CrossRef]
- Vasylechko, V.; Stechynska, E.; Stashkiv, O.; Gryshchouk, G.; Patsay, I. Sorption of neodymium and gadolinium on transcarpathian clinoptilolite. Acta Phys. Pol. A 2018, 133, 794–797. [Google Scholar] [CrossRef]
- Vlachou, A.; Symeopoulos, B.D.; Koutinas, A. A comparative study of neodymium sorption by yeast cells. Radiochim. Acta 2009, 437–441. [Google Scholar] [CrossRef]
- Riaño, S.; Petranikova, M.; Onghena, B.; Vander Hoogerstraete, T.; Banerjee, D.; Foreman, M.R.S.; Ekberg, C.; Binnemans, K. Separation of rare earths and other valuable metals from deep-eutectic solvents: A new alternative for the recycling of used NdFeB magnets. RSC Adv. 2017, 7, 32100–32113. [Google Scholar] [CrossRef]
- Attar, K.; Demey, H.; Bouazza, D.; Sastre, A.M. Sorption and desorption studies of Pb(II) and Ni(II) from aqueous solutions by a new composite based on alginate and magadiite materials. Polymers 2019, 11, 340. [Google Scholar] [CrossRef] [PubMed]







| Factor | Units | Levels | ||
|---|---|---|---|---|
| −1 | 0 | +1 | ||
| A: pH | pH | 2 | 3.7 | 5.5 |
| B: particle size | µm | 165.0 | 550.0 | 925.0 |
| Composition | Neat BR | BR–PEG |
|---|---|---|
| Hemicelluloses (%) | 14.47 | 10.27 |
| Cellulose (%) | 30.66 | 17.26 |
| Lignin (%) | 12.40 | 62.96 |
| Model | Lack-of-Fit p-Value | Adjusted R² | Predicted R² | |
|---|---|---|---|---|
| Linear | <0.0001 | 0.7617 | 0.7097 | |
| 2FI | <0.0001 | 0.7459 | 0.6836 | |
| Quadratic | 0.0025 | 0.9829 | 0.9743 | Suggested |
| Cubic | 0.0132 | 0.9902 | 0.9840 | Aliased |
| Source | Sum of Squares | Degree of Freedom | Mean Square | F-Value | p-Value | |
|---|---|---|---|---|---|---|
| Model | 418.68 | 5 | 83.74 | 207.67 | <0.0001 | significant |
| A-pH | 334.00 | 1 | 334.00 | 828.35 | <0.0001 | |
| B-particle size | 0.0795 | 1 | 0.0795 | 0.1972 | 0.6643 | |
| AB | 0.0353 | 1 | 0.0353 | 0.0876 | 0.7720 | |
| A² | 82.79 | 1 | 82.79 | 205.33 | <0.0001 | |
| B² | 4.71 | 1 | 4.71 | 11.69 | 0.0046 | |
| Residual | 5.24 | 13 | 0.4032 |
| PFOR | PSOR | Elovich | |||||||||
|---|---|---|---|---|---|---|---|---|---|---|---|
| k1 (1/min) | qe (mg/g) | R2 | RMSE | k2 (g/mg ∗ min) | qe (mg/g) | R2 | RMSE | α | β | R2 | RMSE |
| 0.19 | 33.75 | 0.98 | 1.38 | 0.0079 | 37.26 | 0.96 | 1.91 | 108.5 | 0.19 | 0.89 | 3.11 |
| REE | Langmuir | Freundlich | SIPS | ||||||||
|---|---|---|---|---|---|---|---|---|---|---|---|
| qmax | b | R2 | RL at Ci: 100 mg/L | KF | n | R2 | qms | Ks | ms | R2 | |
| mg/g | L/mg | (mg1−1/n/g L1/n) | mg/g | L/g | |||||||
| Nd | 44.11 | 0.10 | 0.97 | 0.0022 | 10.78 | 3.52 | 0.92 | 44.2 | 0.10 | 1.01 | 0.96 |
Disclaimer/Publisher’s Note: The statements, opinions and data contained in all publications are solely those of the individual author(s) and contributor(s) and not of MDPI and/or the editor(s). MDPI and/or the editor(s) disclaim responsibility for any injury to people or property resulting from any ideas, methods, instructions or products referred to in the content. |
© 2023 by the authors. Licensee MDPI, Basel, Switzerland. This article is an open access article distributed under the terms and conditions of the Creative Commons Attribution (CC BY) license (https://creativecommons.org/licenses/by/4.0/).
Share and Cite
Lapo, B.; Pavón, S.; Bertau, M.; Demey, H.; Meneses, M.; Sastre, A.M. Neodymium Recovery from the Aqueous Phase Using a Residual Material from Saccharified Banana-Rachis/Polyethylene-Glycol. Polymers 2023, 15, 1666. https://doi.org/10.3390/polym15071666
Lapo B, Pavón S, Bertau M, Demey H, Meneses M, Sastre AM. Neodymium Recovery from the Aqueous Phase Using a Residual Material from Saccharified Banana-Rachis/Polyethylene-Glycol. Polymers. 2023; 15(7):1666. https://doi.org/10.3390/polym15071666
Chicago/Turabian StyleLapo, Byron, Sandra Pavón, Martin Bertau, Hary Demey, Miguel Meneses, and Ana María Sastre. 2023. "Neodymium Recovery from the Aqueous Phase Using a Residual Material from Saccharified Banana-Rachis/Polyethylene-Glycol" Polymers 15, no. 7: 1666. https://doi.org/10.3390/polym15071666
APA StyleLapo, B., Pavón, S., Bertau, M., Demey, H., Meneses, M., & Sastre, A. M. (2023). Neodymium Recovery from the Aqueous Phase Using a Residual Material from Saccharified Banana-Rachis/Polyethylene-Glycol. Polymers, 15(7), 1666. https://doi.org/10.3390/polym15071666

