Critical Role of Non-Halogenated Solvent Additives in Eco-Friendly and Efficient All-Polymer Solar Cells
Abstract
1. Introduction
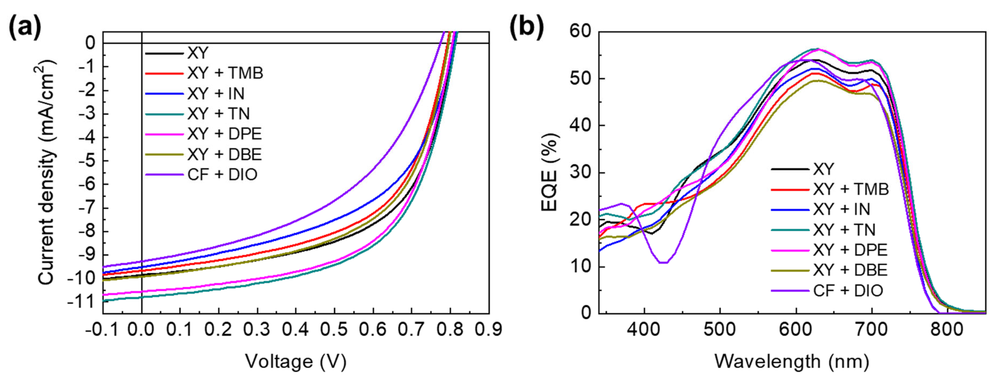
2. Results and Discussion
3. Conclusions
Supplementary Materials
Author Contributions
Funding
Institutional Review Board Statement
Informed Consent Statement
Data Availability Statement
Acknowledgments
Conflicts of Interest
References
- Li, Y.; Xu, G.; Cui, C.; Li, Y. Flexible and Semitransparent Organic Solar Cells. Adv. Energy Mater. 2018, 8, 1701791. [Google Scholar] [CrossRef]
- Zhang, Y.-X.; Fang, J.; Li, W.; Shen, Y.; Chen, J.D.; Li, Y.; Gu, H.; Pelivani, S.; Zhang, M.; Li, Y.; et al. Synergetic Transparent Electrode Architecture for Efficient Non-Fullerene Flexible Organic Solar Cells with >12% Efficiency. ACS Nano 2019, 13, 4686–4694. [Google Scholar] [CrossRef] [PubMed]
- Hu, Z.; Wang, J.; Ma, X.; Gao, J.; Xu, C.; Wang, X.; Zhang, X.; Wang, Z.; Zhang, F. Semitransparent organic solar cells exhibiting 13.02% efficiency and 20.2% average visible transmittance. J. Mater. Chem. A 2021, 9, 6797–6804. [Google Scholar] [CrossRef]
- Thompson, B.C.; Frechet, J.M. Polymer-fullerene composite solar cells. Angew. Chem. Int. Ed. 2008, 47, 58–77. [Google Scholar] [CrossRef]
- Clarke, T.M.; Durrant, J.R. Charge Photogeneration in Organic Solar Cells. Chem. Rev. 2010, 110, 6736–6767. [Google Scholar] [CrossRef]
- Liu, Q.; Jiang, Y.; Jin, K.; Qin, J.; Xu, J.; Li, W.; Xiong, J.; Liu, J.; Xiao, Z.; Sun, K.; et al. 18% Efficiency organic solar cells. Sci. Bull. 2020, 65, 272–275. [Google Scholar] [CrossRef] [PubMed]
- Li, C.; Zhou, J.; Song, J.; Xu, J.; Zhang, H.; Zhang, X.; Guo, J.; Zhu, L.; Wei, D.; Han, G.; et al. Non-fullerene acceptors with branched side chains and improved molecular packing to exceed 18% efficiency in organic solar cells. Nat. Energy 2021, 6, 605–613. [Google Scholar] [CrossRef]
- Xu, X.; Yu, L.; Meng, H.; Dai, L.; Yan, H.; Li, R.; Peng, Q. Polymer Solar Cells with 18.74% Efficiency: From Bulk Heterojunction to Interdigitated Bulk Heterojunction. Adv. Funct. Mater. 2021, 32, 2108797. [Google Scholar] [CrossRef]
- Zhang, L.; Zhang, Z.; Deng, D.; Zhou, H.; Zhang, J.; Wei, Z. “N-π-N” Type Oligomeric Acceptor Achieves an OPV Efficiency of 18.19% with Low Energy Loss and Excellent Stability. Adv. Sci. 2022, 9, 2202513. [Google Scholar] [CrossRef]
- Wang, J.; Cui, Y.; Xu, Y.; Xian, K.; Bi, P.; Chen, Z.; Zhou, K.; Ma, L.; Zhang, T.; Yang, Y.; et al. A New Polymer Donor Enables Binary All-Polymer Organic Photovoltaic Cells with 18% Efficiency and Excellent Mechanical Robustness. Adv. Mater. 2022, 34, 2205009. [Google Scholar] [CrossRef]
- Sun, R.; Wang, T.; Fan, Q.; Wu, M.; Yang, X.; Wu, X.; Yu, Y.; Xia, X.; Cui, F.; Wan, J.; et al. 18.2%-efficient ternary all-polymer organic solar cells with improved stability enabled by a chlorinated guest polymer acceptor. Joule 2023, 7, 221–237. [Google Scholar] [CrossRef]
- Yang, X.; Sun, R.; Wang, Y.; Chen, M.; Xia, X.; Lu, X.; Lu, G.; Min, J. Ternary All-Polymer Solar Cells with Efficiency up to 18.14% Employing a Two-Step Sequential Deposition. Adv. Mater. 2023, 35, 2209350. [Google Scholar] [CrossRef] [PubMed]
- Guo, J.; Xia, X.; Qiu, B.; Zhang, J.; Qin, S.; Li, X.; Lai, W.; Lu, X.; Meng, L.; Zhang, Z.; et al. Manipulating Polymer Backbone Configuration via Halogenated Asymmetric End-Group Enables Over 18% Efficiency All-Polymer Solar Cells. Adv. Mater. 2023, 2211296. [Google Scholar] [CrossRef] [PubMed]
- Cai, Y.; Xie, C.; Li, Q.; Liu, C.; Gao, J.; Jee, M.H.; Qiao, J.; Li, Y.; Song, J.; Hao, X.; et al. Improved Molecular Ordering in a Ternary Blend Enables All-Polymer Solar Cells over 18% Efficiency. Adv. Mater. 2023, 35, 2208165. [Google Scholar] [CrossRef]
- Zheng, Z.; Wang, J.; Bi, P.; Ren, J.; Wang, Y.; Yang, Y.; Liu, X.; Zhang, S.; Hou, J. Tandem Organic Solar Cell with 20.2% Efficiency. Joule 2022, 6, 171–184. [Google Scholar] [CrossRef]
- Bi, P.; Wang, J.; Cui, Y.; Zhang, J.; Zhang, T.; Chen, Z.; Qiao, J.; Dai, J.; Zhang, S.; Hao, X.; et al. Enhancing Photon Utilization Efficiency for High-Performance Organic Photovoltaic Cells via Regulating Phase Transition Kinetics. Adv. Mater. 2023, 2210865. [Google Scholar] [CrossRef]
- Genene, Z.; Mammo, W.; Wang, E.; Andersson, M.R. Recent Advances in n-Type Polymers for All-Polymer Solar Cells. Adv. Mater. 2019, 31, 1807275. [Google Scholar] [CrossRef]
- Fan, Q.; An, Q.; Lin, Y.; Xia, Y.; Li, Q.; Zhang, M.; Su, W.; Peng, W.; Zhang, C.; Liu, F.; et al. Over 14% efficiency all-polymer solar cells enabled by a low bandgap polymer acceptor with low energy loss and efficient charge separation. Energy Environ. Sci. 2020, 13, 5017–5027. [Google Scholar] [CrossRef]
- Kim, T.; Younts, R.; Lee, W.; Lee, S.; Gundogdu, K.; Kim, B.J. Impact of the photo-induced degradation of electron acceptors on the photophysics, charge transport and device performance of all-polymer and fullerene–polymer solar cells. J. Mater. Chem. A 2017, 5, 22170–22179. [Google Scholar] [CrossRef]
- Zhang, Y.; Xu, Y.; Ford, M.J.; Li, F.; Sun, J.; Ling, X.; Wang, Y.; Gu, J.; Yuan, J.; Ma, W. Thermally Stable All-Polymer Solar Cells with High Tolerance on Blend Ratios. Adv. Energy Mater. 2018, 8, 1800029. [Google Scholar] [CrossRef]
- Lee, J.-W.; Sun, C.; Ma, B.S.; Kim, H.J.; Wang, C.; Ryu, J.M.; Lim, C.; Kim, T.-S.; Kim, Y.-H.; Kwon, S.-K.; et al. Efficient, Thermally Stable, and Mechanically Robust All-Polymer Solar Cells Consisting of the Same Benzodithiophene Unit-Based Polymer Acceptor and Donor with High Molecular Compatibility. Adv. Energy Mater. 2021, 11, 2003367. [Google Scholar] [CrossRef]
- Du, J.; Hu, K.; Zhang, J.; Meng, L.; Yue, J.; Angunawela, I.; Yan, H.; Qin, S.; Kong, X.; Zhang, Z.; et al. Polymerized small molecular acceptor based all-polymer solar cells with an efficiency of 16.16% via tuning polymer blend morphology by molecular design. Nat. Commun. 2021, 12, 5264. [Google Scholar] [CrossRef]
- Liu, T.; Yang, T.; Ma, R.; Zhan, L.; Luo, Z.; Zhang, G.; Li, Y.; Gao, K.; Xiao, Y.; Yu, J.; et al. 16% efficiency all-polymer organic solar cells enabled by a finely tuned morphology via the design of ternary blend. Joule 2021, 5, 914–930. [Google Scholar] [CrossRef]
- Fan, Q.; Fu, H.; Luo, Z.; Oh, J.; Fan, B.; Lin, F.; Yang, C.; Jen, A.K.-Y. Near-infrared absorbing polymer acceptors enabled by selenophene-fused core and halogenated end-group for binary all-polymer solar cells with efficiency over 16%. Nano Energy 2022, 92, 106718. [Google Scholar] [CrossRef]
- Liao, C.; Gong, Y.; Xu, X.; Yu, L.; Li, R.; Peng, Q. Cost-Efficiency balanced polymer acceptors based on lowly fused Dithienopyrrolo[3, 2b]benzothiadiazole for 16.04% efficiency All-Polymer solar cells. Chem. Eng. J. 2022, 435, 134862. [Google Scholar] [CrossRef]
- Shaheen, S.E.; Brabec, C.J.; Sariciftci, N.S.; Padinger, F.; Fromherz, T.; Hummelen, J.C. 2.5% efficient organic plastic solar cells. Appl. Phys. Lett. 2001, 78, 841–843. [Google Scholar] [CrossRef]
- Zhou, Y.; Gu, K.L.; Gu, X.; Kurosawa, T.; Yan, H.; Guo, Y.; Koleilat, G.I.; Zhao, D.; Toney, M.F.; Bao, Z. All-Polymer Solar Cells Employing Non-Halogenated Solvent and Additive. Chem. Mater. 2016, 28, 5037–5042. [Google Scholar] [CrossRef]
- Li, Z.; Ying, L.; Zhu, P.; Zhong, W.; Li, N.; Liu, F.; Huang, F.; Cao, Y. A generic green solvent concept boosting the power conversion efficiency of all-polymer solar cells to 11%. Energy Environ. Sci. 2019, 12, 157–163. [Google Scholar] [CrossRef]
- Coates, N.E.; Hwang, I.-W.; Peet, J.; Bazan, G.C.; Moses, D.; Heeger, A.J. 1,8-octanedithiol as a processing additive for bulk heterojunction materials: Enhanced photoconductive response. Appl. Phys. Lett. 2008, 93, 072105. [Google Scholar] [CrossRef]
- Lee, J.K.; Ma, W.L.; Brabec, C.J.; Yuen, J.; Moon, J.S.; Kim, J.Y.; Lee, K.; Bazan, G.C.; Heeger, A.J. Processing Additives for Improved Efficiency from Bulk Heterojunction Solar Cells. J. Am. Chem. Soc. 2008, 130, 3619–3623. [Google Scholar] [CrossRef]
- Zhao, W.; Ye, L.; Zhang, S.; Sun, M.; Hou, J. A universal halogen-free solvent system for highly efficient polymer solar cells. J. Mater. Chem. A 2015, 3, 12723–12729. [Google Scholar] [CrossRef]
- Liu, D.; Wang, Z.; Zhang, S.; Zheng, Z.; Yang, B.; Ma, W.; Hou, J. Rational selection of solvents and fine tuning of morphologies toward highly efficient polymer solar cells fabricated using green solvents. RSC Adv. 2015, 5, 69567–69572. [Google Scholar] [CrossRef]
- Zhao, J.; Li, Y.; Yang, G.; Jiang, K.; Lin, H.; Ade, H.; Ma, W.; Yan, H. Efficient organic solar cells processed from hydrocarbon solvents. Nat. Energy 2016, 1, 15027. [Google Scholar] [CrossRef]
- Jung, H.; Jung, A.-R.; Jin, S.-M.; Kim, S.; Heo, H.; Nguyen, H.V.T.; Kim, M.J.; Ahn, P.; Kim, M.H.; Lee, Y.; et al. Influence of 3D morphology on the performance of all-polymer solar cells processed using environmentally benign nonhalogenated solvents. Nano Energy 2020, 77, 105106. [Google Scholar] [CrossRef]
- Lee, C.; Kang, H.; Lee, W.; Kim, T.; Kim, K.-H.; Woo, H.Y.; Wang, C.; Kim, B.J. High-Performance All-Polymer Solar Cells Via Side-Chain Engineering of the Polymer Acceptor: The Importance of the Polymer Packing Structure and the Nanoscale Blend Morphology. Adv. Mater. 2015, 27, 2466–2471. [Google Scholar] [CrossRef]
- Yang, T.; Yao, S.; Liu, T.; Huang, B.; Xiao, Y.; Liu, H.; Lu, X.; Zou, B. Tailoring the Morphology’s Microevolution for Binary All-Polymer Solar Cells Processed by Aromatic Hydrocarbon Solvent with 16.22% Efficiency. ACS Appl. Mater. Interfaces 2022, 14, 29956–29963. [Google Scholar] [CrossRef]
- Kyaw, A.K.K.; Wang, D.H.; Wynands, D.; Zhang, J.; Nguyen, T.-Q.; Bazan, G.C.; Heeger, A.J. Improved Light Harvesting and Improved Efficiency by Insertion of an Optical Spacer (ZnO) in Solution-Processed Small-Molecule Solar Cells. Nano Lett. 2013, 13, 3796–3801. [Google Scholar] [CrossRef]
- Cowan, S.R.; Leong, W.L.; Banerji, N.; Dennler, G.; Heeger, A.J. Identifying a Threshold Impurity Level for Organic Solar Cells: Enhanced First-Order Recombination Via Well-Defined PC84BM Traps in Organic Bulk Heterojunction Solar Cells. Adv. Funct. Mater. 2011, 21, 3083–3092. [Google Scholar] [CrossRef]
- Choi, J.; Kim, K.; Yu, H.; Lee, C.; Kang, H.; Song, I.; Kim, Y.; Oh, J.H.; Kim, B.J. Importance of Electron Transport Ability in Naphthalene Diimide-Based Polymer Acceptors for High-Performance, Additive-Free, All-Polymer Solar Cells. Chem. Mater. 2015, 27, 5230–5237. [Google Scholar] [CrossRef]













| Solvent | Voc (V) | Jsc (mA/cm2) | FF | PCE (%) a |
|---|---|---|---|---|
| XY | 0.80 ± 0.01 (0.81) | 9.60 ± 0.16 (9.86) | 0.579 ± 0.05 (0.59) | 4.44 ± 0.14 (4.66) |
| XY + TMB | 0.793 ± 0.001 (0.79) | 9.57 ± 0.11 (9.67) | 0.563 ± 0.003 (0.57) | 4.27 ± 0.06 (4.35) |
| XY + IN | 0.80 ± 0.01 (0.81) | 9.28 ± 0.15 (9.52) | 0.51 ± 0.01 (0.52) | 3.74 ± 0.18 (4.01) |
| XY + TN | 0.81 ± 0.01 (0.81) | 10.71 ± 0.08 (10.80) | 0.58 ± 0.01 (0.59) | 5.04 ± 0.10 (5.17) |
| XY + DPE | 0.797 ± 0.001 (0.80) | 10.48 ± 0.13 (10.56) | 0.597 ± 0.003 (0.60) | 4.84 ± 0.11 (5.01) |
| XY + DBE | 0.80 ± 0.01 (0.79) | 9.78 ± 0.15 (9.93) | 0.57 ± 0.01 (0.57) | 4.40 ± 0.07 (4.49) |
| CF + DIO | 0.77 ± 0.01 (0.77) | 9.03 ± 0.24 (9.27) | 0.45 ± 0.01 (0.47) | 3.17 ± 0.18 (3.37) |
| Light Intensity (mW/cm2) | ||||||
|---|---|---|---|---|---|---|
| 100 | 82 | 43 | 26 | 10 | ||
| XY | Charge density (×1017 cm−3) | 6.77 | 6.70 | 6.60 | 6.56 | 6.44 |
| Lifetime (μs) | 4.57 | 4.78 | 7.06 | 8.95 | 18.68 | |
| XY + TMB | Charge density (×1017 cm−3) | 5.27 | 5.24 | 5.15 | 5.10 | 5.05 |
| Lifetime (μs) | 5.33 | 5.40 | 6.14 | 7.62 | 11.29 | |
| XY + IN | Charge density (×1017 cm−3) | 4.45 | 4.40 | 4.33 | 4.32 | 4.31 |
| Lifetime (μs) | 4.25 | 5.15 | 9.27 | 11.60 | 13.71 | |
| XY + TN | Charge density (×1017 cm−3) | 8.63 | 8.58 | 8.47 | 8.43 | 8.42 |
| Lifetime (μs) | 6.69 | 7.36 | 10.98 | 14.63 | 23.76 | |
| XY + DPE | Charge density (×1017 cm−3) | 5.37 | 5.35 | 5.27 | 5.21 | 5.18 |
| Lifetime (μs) | 6.69 | 7.09 | 8.89 | 11.23 | 16.75 | |
| XY + DBE | Charge density (×1017 cm−3) | 5.65 | 5.62 | 5.51 | 5.49 | 5.43 |
| Lifetime (μs) | 3.48 | 4.18 | 6.16 | 8.45 | 13.84 | |
| Solvent | μh (cm2·V−1·s−1) | μe (cm2·V−1·s−1) | μh/μe |
|---|---|---|---|
| XY | 1.08 (±0.11) × 10−4 | 1.87 (±1.1) × 10−6 | 57.7 |
| XY + TMB | 2.68 (±0.98) × 10−5 | 1.29 (±0.88) × 10−5 | 2.08 |
| XY + IN | 1.67 (±0.73) × 10−5 | 9.40 (±2.5) × 10−6 | 1.77 |
| XY + TN | 3.86 (±0.53) × 10−5 | 5.95 (±1.1) × 10−6 | 6.49 |
| XY + DPE | 1.51 (±0.16) × 10−4 | 4.35 (±0.88) × 10−6 | 34.7 |
| XY + DBE | 1.04 (±0.13) × 10−4 | 7.18 (±3.1) × 10−6 | 14.5 |
Disclaimer/Publisher’s Note: The statements, opinions and data contained in all publications are solely those of the individual author(s) and contributor(s) and not of MDPI and/or the editor(s). MDPI and/or the editor(s) disclaim responsibility for any injury to people or property resulting from any ideas, methods, instructions or products referred to in the content. |
© 2023 by the authors. Licensee MDPI, Basel, Switzerland. This article is an open access article distributed under the terms and conditions of the Creative Commons Attribution (CC BY) license (https://creativecommons.org/licenses/by/4.0/).
Share and Cite
Kim, S.; Choi, H.; Lee, M.; Jung, H.; Shin, Y.; Lee, S.; Kim, K.; Kim, M.H.; Kwak, K.; Kim, B. Critical Role of Non-Halogenated Solvent Additives in Eco-Friendly and Efficient All-Polymer Solar Cells. Polymers 2023, 15, 1354. https://doi.org/10.3390/polym15061354
Kim S, Choi H, Lee M, Jung H, Shin Y, Lee S, Kim K, Kim MH, Kwak K, Kim B. Critical Role of Non-Halogenated Solvent Additives in Eco-Friendly and Efficient All-Polymer Solar Cells. Polymers. 2023; 15(6):1354. https://doi.org/10.3390/polym15061354
Chicago/Turabian StyleKim, Saeah, Huijeong Choi, Myeongjae Lee, Hyeseung Jung, Yukyung Shin, Seul Lee, Kyungkon Kim, Myung Hwa Kim, Kyungwon Kwak, and BongSoo Kim. 2023. "Critical Role of Non-Halogenated Solvent Additives in Eco-Friendly and Efficient All-Polymer Solar Cells" Polymers 15, no. 6: 1354. https://doi.org/10.3390/polym15061354
APA StyleKim, S., Choi, H., Lee, M., Jung, H., Shin, Y., Lee, S., Kim, K., Kim, M. H., Kwak, K., & Kim, B. (2023). Critical Role of Non-Halogenated Solvent Additives in Eco-Friendly and Efficient All-Polymer Solar Cells. Polymers, 15(6), 1354. https://doi.org/10.3390/polym15061354

