Bio-Based Polybenzoxazine–Cellulose Grafted Films: Material Fabrication and Properties
Abstract
:1. Introduction
2. Materials
2.1. Instrumentation Methods
2.2. Synthesis of Amino Cellulose (AC)
2.3. Synthesis of Curcumin-Stearylamine-Based Benzoxazine (C-st)
2.4. Fabrication of Poly(C-st) and Poly(C-st)/AC Composite Films
3. Results and Discussion
3.1. Structural Characterization of Amino Cellulose (AC)
3.2. Structural Characterization of Benzoxazine Monomer (C-st)
3.3. Polymerization Behavior of C-st/AC Blends
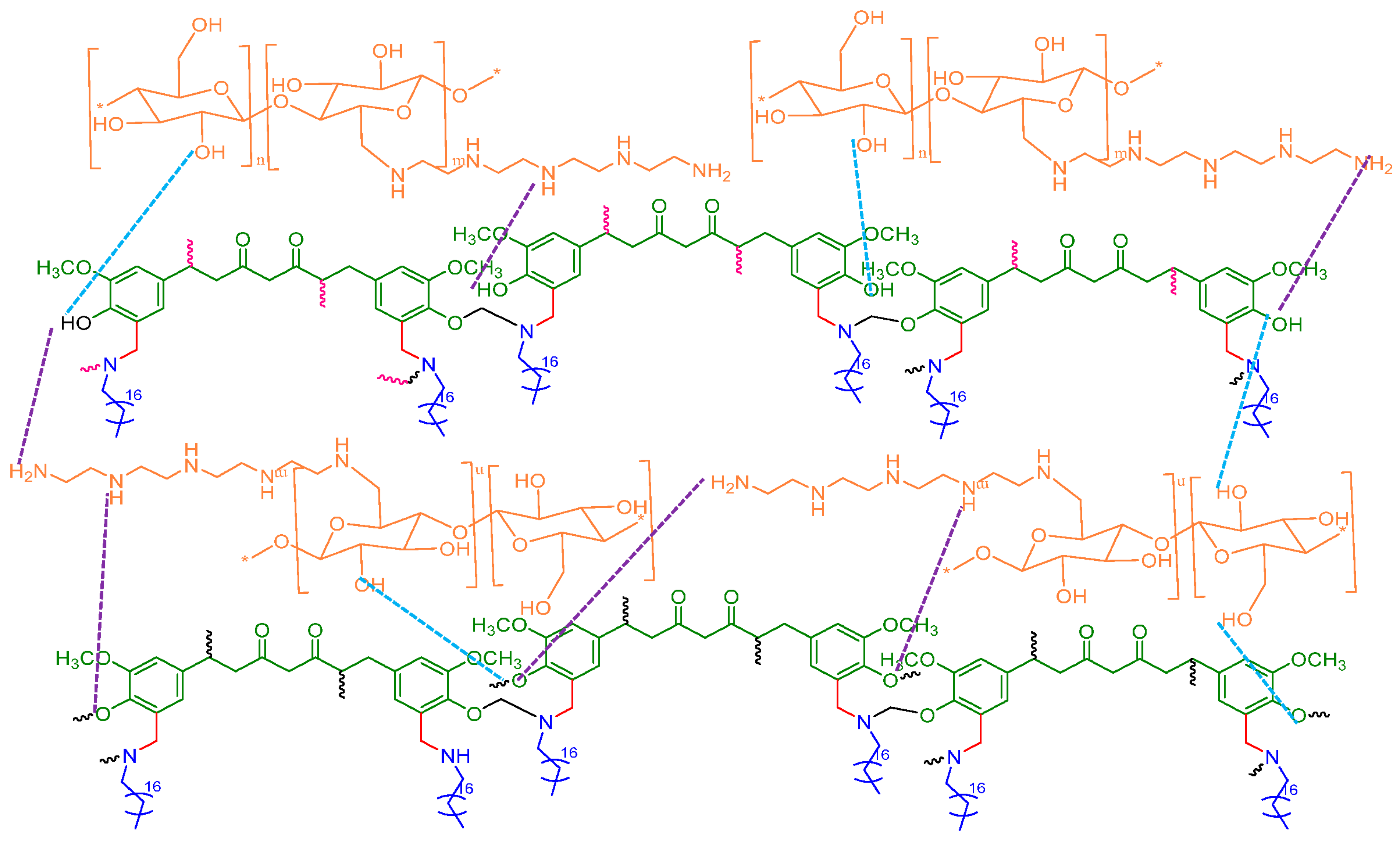
3.4. Phase Morphology of Poly(C-st), AC, and Poly(C-st)/AC Composite Films
3.5. Tensile Properties of Poly(C-st)/AC Films
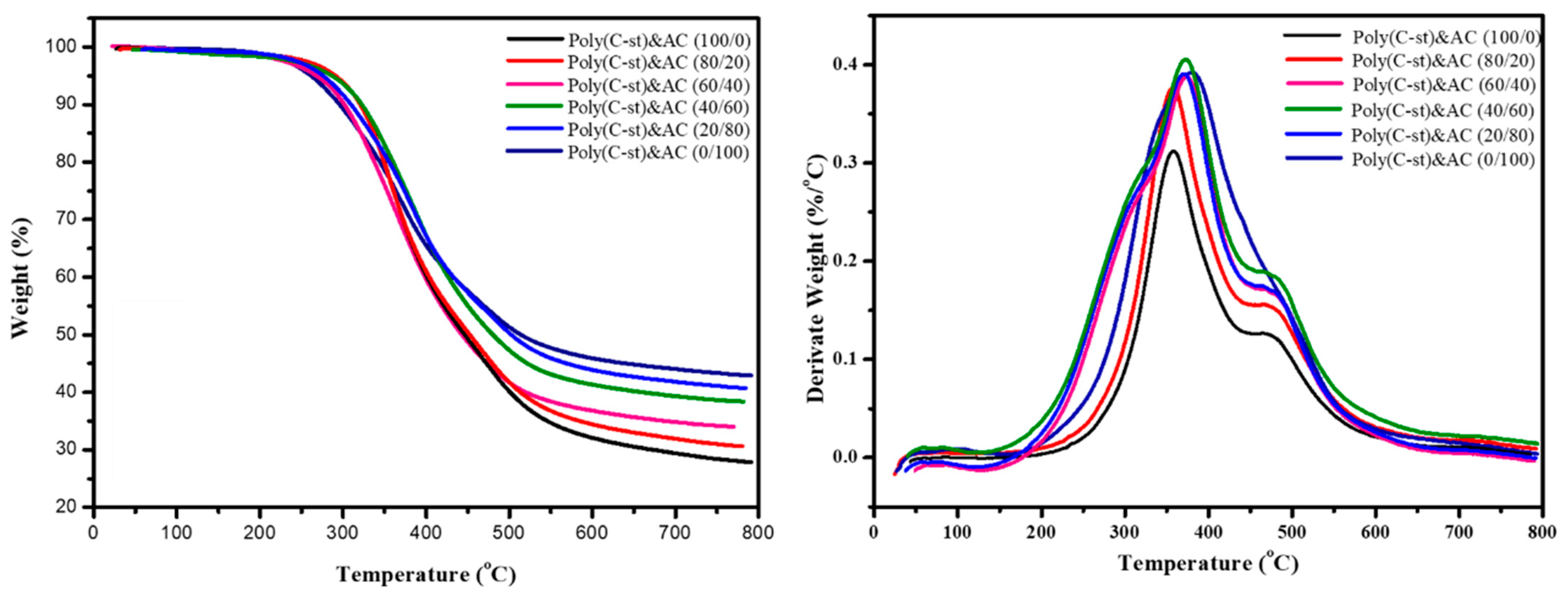
3.6. Thermal Stability of Poly(C-st) and Poly(C-st)/AC Films
3.7. Flame Retardant Properties of Poly(C-st) and Poly(C-st)/AC Films
4. Conclusions
Author Contributions
Funding
Institutional Review Board Statement
Informed Consent Statement
Data Availability Statement
Conflicts of Interest
References
- Joseph, F.S.; Joshua, M.S.; John, J.L.S.; Kaleigh, H.R.; Richard, P.W. Vanillin-based resin for use in composite applications. Green Chem. 2012, 14, 2346–2352. [Google Scholar]
- van der Zee, M. Handbook of Biodegradable Polymers; Bastioli, C., Ed.; Rapra Technology Limited: Shawbury, UK, 2005; pp. 1–31. [Google Scholar]
- Jin, Q.; Schexnailder, P.; Gaharwar, A.K.; Schmidt, G. Schmidt, Silicate Cross-Linked Bio-Nanocomposite Hydrogels from PEO and Chitosan. Macromol. Biosci. 2009, 9, 1028–1035. [Google Scholar] [PubMed]
- Alhwaige, A.A.; Tarek, A.; Hatsuo, I.; Syed, Q. Biobased Chitosan/Polybenzoxazine Cross-Linked Films: Preparation in Aqueous Media and Synergistic Improvements in Thermal and Mechanical Properties. Biomacromolecules 2013, 14, 1806–1815. [Google Scholar] [CrossRef] [PubMed]
- Cirillo, G.; Kraemer, K.; Fuessel, S.; Puoci, F.; Curcio, M.; Spizzirri, U.G.; Altimari, I.; Iemma, F. Biological Activity of a Gallic Acid–Gelatin Conjugate. Biomacromolecules 2010, 11, 3309–3315. [Google Scholar] [CrossRef] [PubMed]
- Jin, J.; Song, M.; Hourston, D.J. Novel Chitosan-Based Films Cross-Linked by Genipin with Improved Physical Properties. Biomacromolecules 2004, 5, 162–168. [Google Scholar] [CrossRef] [PubMed]
- Grande, R.; Caryalho, A.J.F. Compatible Ternary Blends of Chitosan/poly(vinyl alcohol)/poly(lactic acid) Produced by Oil-in-Water Emulsion Processing. Biomacromolecules 2011, 12, 907–914. [Google Scholar] [CrossRef] [PubMed]
- Singh, A.; Narvi, S.S.; Dutta, P.K.; Pandey, N.D. External stimuli response on a novel chitosan hydrogel crosslinked with formaldehyde. Bull. Mater. Sci. 2006, 29, 233–238. [Google Scholar] [CrossRef]
- Roussy, J.; Chastellan, P.; Vooren, M.; Guibal, E. Treatment of ink-containing wastewater by coagulation/flocculation using biopolymers. Water SA 2005, 3, 369. [Google Scholar] [CrossRef]
- Heinze, T.; Rahn, K. Cellulose-p-toluenesulfonates: A valuable intermediate in cellulose chemistry. Macromol. Symp. 1997, 120, 103–113. [Google Scholar]
- Xie, Y.; Gao, S.; Jian, J.; Shi, X.; Lai, C.; Wang, C.; Xu, F.; Chu, F.; Zhang, D. Skin-Mimicking Strategy to Fabricate Strong and Highly Conductive Anti-Freezing Cellulose-Based Hydrogels as Strain Sensors. Int. J. Biol. Macromol. 2023, 227, 462–471. [Google Scholar] [CrossRef] [PubMed]
- Xie, Y.; Gao, S.; Ling, Z.; Lai, C.; Huang, Y.; Wang, J.; Wang, C.; Chu, F.; Xu, F.; Dumont, M.J.; et al. A Multiscale Biomimetic Strategy to Design Strong, Tough Hydrogels by Tuning the Self-Assembly Behavior of Cellulose. J. Mater. Chem. A 2022, 10, 13685–13696. [Google Scholar]
- Aziz, T.; Farid, A.; Haq, F.; Kiran, M.; Ullah, A.; Zhang, K.; Li, C.; Ghazanfar, S.; Sun, H.; Ullah, R.; et al. A Review on the Modification of Cellulose and Its Applications. Polymers 2022, 14, 3206. [Google Scholar] [PubMed]
- Eero, K.; Stefan, S. Ultrathin Films of Cellulose: A Materials Perspective. Front. Chem. 2019, 7, 488. [Google Scholar]
- Hu, Y.J.; Wang, Y.; Huang, Y.H.; Bian, J.; Li, M.F.; Penga, F.; Sun, R.C. Benzoxazine enhanced amino cellulose-based composite films: Preparation, proposed mechanism, and improved performance. Carbohydr. Polym. 2019, 222, 115008. [Google Scholar] [CrossRef] [PubMed]
- Berlin, P.; Klemm, D.; Tiller, J.; Rieseler, R. A novel soluble aminocellulose derivative type: Its transparent film-forming properties and its efficient coupling with enzyme proteins for biosensors. Macromol. Chem. Phys. 2015, 201, 2070–2082. [Google Scholar] [CrossRef]
- Heinze, T.; Liebert, T. Unconventional methods in cellulose functionalization. Prog. Polym. Sci. 2001, 26, 1689–1762. [Google Scholar]
- Berlin, P.; Klamm, D.; Jung, A.; Liebegott, H.; Rieseler, R.; Tiller, J. Film-Forming Aminocellulose Derivatives as Enzyme-Compatible Support Matrices for Biosensor Developments. Cellulose 2003, 10, 343–367. [Google Scholar]
- Nakamura, S.; Amano, M.; Saegusa, Y.; Sato, T.J. Preparation of aminoalkyl celluloses and their adsorption and desorption of heavy metal ions. Appl. Polym. Sci. 1992, 45, 265–271. [Google Scholar]
- Holly, F.W.; Cope, A.C. Condensation Products of Aldehydes and Ketones with o-Aminobenzyl Alcohol and o-Hydroxybenzylamine. J. Am. Chem. Soc. 1944, 66, 1875–1879. [Google Scholar]
- Ishida, H. Handbook of Benzoxazine Resins; Ishida, H., Agag, T., Eds.; Elsevier: Amsterdam, The Netherlands, 2011; pp. 3–81. [Google Scholar]
- Nair, C.P.R. Adv in addition-cure phenolic resins. Prog. Polym. Sci. 2004, 29, 401–498. [Google Scholar] [CrossRef]
- Burke, W.J. Analogs of Aspergillic Acid. II. Various Antibacterial Heterocyclic Hydroxamic Acids. J. Am. Chem. Soc. 1949, 71, 609–612. [Google Scholar]
- Ning, X.; Ishida, H. Phenolic materials via ring-opening polymerization: Synthesis and characterization of bisphenol-A based benzoxazines and their polymers. J. Polym. Sci. Part A Polym. Chem. 1994, 32, 1121–1129. [Google Scholar] [CrossRef]
- Sawaryn, C.; Landfester, K.; Taden, A. Cationic Polybenzoxazines. A Novel Polyelectrolyte Class with Adjustable Solubility and Unique Hydrogen-Bonding Capabilities. Macromolecules 2011, 44, 7668–7674. [Google Scholar]
- Takeichi, T.; Agag, T. High Performance Polybenzoxazines as Novel Thermosets. High Perform. Polym. 2006, 18, 777–797. [Google Scholar]
- Yagci, Y.; Kiskan, B.; Ghosh, N.N. Recent advancement on polybenzoxazine—A newly developed high performance thermoset. J. Polym. Sci. Part A Polym. Chem. 2009, 47, 5565–5576. [Google Scholar]
- Rajput, A.B.; Ghosh, N.N. Preparation and Characterization of Novel Polybenzoxazine–Polyester Resin Blends. Int. J. Polym. Mater. 2011, 60, 27–39. [Google Scholar]
- Kiskan, B.; Yagci, Y.; Ishida, H. Synthesis, characterization, and properties of new thermally curable polyetheresters containing benzoxazine moieties in the main chain. J. Polym. Sci. Part A Polym. Chem. 2008, 46, 414–420. [Google Scholar]
- Koz, B.; Kiskan, B.; Yagci, Y. A novel benzoxazine monomer with methacrylate functionality and its thermally curable (co)polymers. Polym. Bull. 2011, 66, 165–174. [Google Scholar]
- Li, X.; Xia, Y.; Xu, W.; Ran, Q.; Gu, Y. The curing procedure for a benzoxazine-cyanate-epoxy system and the properties of the terpolymer. Polym. Chem. 2012, 3, 1629–1633. [Google Scholar] [CrossRef]
- Heo, D.N.; Ko, W.-K.; Moon, H.-J.; Kim, H.-J.; Lee, S.J.; Lee, J.B. Inhibition of osteoclast differentiation by gold nanoparticles functionalized with cyclodextrin curcumin complexes. ACS Nano 2014, 8, 12049–12062. [Google Scholar] [CrossRef]
- Barry, J.; Fritz, M.; Brender, J.R.; Smith, P.E.S.; Lee, D.-K.; Ramamoorthy, A. Determining the Effects of Lipophilic Drugs on Membrane Structure by Solid-State NMR Spectroscopy: The Case of the Antioxidant Curcumin. J. Am. Chem. Soc. 2009, 131, 4490–4498. [Google Scholar] [PubMed]
- Das, R.K.; Kasoju, N.; Bora, U. Encapsulation of curcumin in alginate-chitosan-pluronic composite nanoparticles for delivery to cancer cells. Nanomed. Nanotechnol. Biol. Med. 2010, 6, 153–160. [Google Scholar] [CrossRef] [PubMed]
- Xie, J.; Yong, Y.; Dong, X.; Du, J.; Guo, Z.; Gong, L. Encapsulation of curcumin in alginate-chitosan-pluronic composite nanoparticles for delivery to cancer cells. ACS Appl. Mater. Interfaces 2017, 9, 14281–14291. [Google Scholar] [PubMed]
- Thirukumaran, P.; Shakila Parveen, A.; Sarojadevi, M. Synthesis and copolymerization of fully biobased benzoxazines from renewable resources. ACS Sustain. Chem. Eng. 2014, 2, 2790–2801. [Google Scholar]
- Thirukumaran, P.; Shakila Parveen, A.; Sarojadevi, M. New benzoxazines containing polyhedral oligomeric silsesquioxane from eugenol, guaiacol and vanillin. New J. Chem. 2015, 39, 1691–1702. [Google Scholar]
- Thirukumaran, P.; Ranjith Kumar, M.; Shakila Parveen, A.; Atchudan, R.; Kim, S.-C. Sustainability and antimicrobial assessments of apigenin based polybenzoxazine film. Polymer 2019, 172, 100–109. [Google Scholar] [CrossRef]
- Thirukumaran, P.; Shakila Parveen, A.; Sarojadevi, M. Synthesis and characterization of novel bio-based benzoxazines from eugenol. RSC Adv. 2014, 4, 7959–7966. [Google Scholar]
- Wang, C.; Sun, J.; Liu, X.; Sudo, A.; Endo, T. Synthesis and copolymerization of fully bio-based benzoxazines from guaiacol, furfurylamine and stearylamine. Green Chem. 2012, 14, 2799–2806. [Google Scholar]
- Agag, T.; Arza, C.R.; Maurer, F.H.H.; Ishida, H. Primary amine-functional benzoxazine monomers and their use for amide-containing monomeric benzoxazines. Macromolecules 2010, 43, 2748–2758. [Google Scholar] [CrossRef]
- Takeichi, T.; Agag, T.; Zeidam, R. Preparation of properties of polybenzoxazine/poly(imidesiloxane) alloys: In situ ring-opening polymerization of benzoxazine in the presence of soluble poly(imide-siloxane)s. J. Polym. Sci. Part A Polym. Chem. 2001, 39, 2633–2641. [Google Scholar]
- Takeichi, T.; Yong, G.; Rimdusit, S. Performance improvement of polybenzoxazine by alloying with polyimide: Effect of preparation method on the properties. Polymer 2005, 46, 4909–4916. [Google Scholar] [CrossRef]
- Aydogan, B.; Sureka, D.; Kiskan, B.; Yagci, Y. Polysiloxane-containing benzoxazine moieties in the main chain. J. Polym. Sci. Part A Polym. Chem. 2010, 48, 5156–5162. [Google Scholar] [CrossRef]
- Demir, K.D.; Kiskan, B.; Yagci, Y. Thermally Curable Acetylene-Containing Main-Chain Benzoxazine Polymers via Sonogashira Coupling Reaction. Macromolecules 2011, 44, 1801–1807. [Google Scholar] [CrossRef]
- van Krevelen, D.W. Some basic aspects of flame resistance of polymeric materials. Polymer 1975, 16, 615–620. [Google Scholar] [CrossRef]
- Li, C.; Kang, N.J.; Labrandero, S.D.; Wan, J.; Lez, C.G.; Wang, D.Y. Synergistic Effect of Carbon Nanotube and Polyethersulfone on Flame Retardancy of Carbon Fiber Reinforced Epoxy Composites. Ind. Eng. Chem. Res. 2014, 53, 1040–1047. [Google Scholar] [CrossRef]










| Sample | Benzoxazine Monomer (C-st) (g) | Amino Cellulose (AC) (g) |
|---|---|---|
| (C-st) and AC (100/0) | 5.0 | 0 |
| (C-st) and AC (80/20) | 4.5 | 0.5 |
| (C-st) and AC (60/40) | 4.0 | 1.0 |
| (C-st) and AC (40/60) | 3.5 | 1.5 |
| (C-st) and AC (20/80) | 3.0 | 2.0 |
| (C-st) and AC (0/100) | 0 | 5.0 |
| Sample | Tonset (°C) | Tmax (°C) | Tfinal (°C) | ∆H (J/g) |
|---|---|---|---|---|
| (C-st) and AC (100/0) | 163 | 175 | 184 | 228 |
| (C-st) and AC (80/20) | 160 | 176 | 188 | 205 |
| (C-st) and AC (60/40) | 158 | 177 | 192 | 161 |
| (C-st) and AC (40/60) | 155 | 181 | 195 | 93 |
| (C-st) and AC (20/80) | 152 | 183 | 198 | 63 |
| Sample | Tensile Stress (MPa) | Tensile Strain at Break (%) |
|---|---|---|
| Poly(C-st) and AC (100/0) | 18.21 ± 0.32 | 1.65 ± 0.32 |
| Poly(C-st) and AC (80/20) | 18.83 ± 0.53 | 8.47 ± 0.24 |
| Poly(C-st) and AC (60/40) | 22.07 ± 0.74 | 9.39 ± 0.71 |
| Poly(C-st) and AC (40/60) | 15.57 ± 0.83 | 10.36 ± 0.86 |
| Poly(C-st) and AC (20/80) | 12.53 ± 0.62 | 11.61 ± 0.53 |
| Poly(C-st) and AC (0/100) | 9.41 ± 0.12 | 13.41 ± 0.23 |
| Sample | Ti (°C) | T10 (°C) | Char Yield (%) | LOI |
|---|---|---|---|---|
| Poly(C-st) and AC (100/0) | 228 | 328 | 28.2 | 28.8 |
| Poly(C-st) and AC (80/20) | 224 | 336 | 32.3 | 30.4 |
| Poly(C-st) and AC (60/40) | 213 | 358 | 35.5 | 31.7 |
| Poly(C-st) and AC (40/60) | 197 | 344 | 39.8 | 33.4 |
| Poly(C-st) and AC (20/80) | 189 | 318 | 41.6 | 34.1 |
| Poly(C-st) and AC (0/100) | 176 | 316 | 43.3 | 34.8 |
Disclaimer/Publisher’s Note: The statements, opinions and data contained in all publications are solely those of the individual author(s) and contributor(s) and not of MDPI and/or the editor(s). MDPI and/or the editor(s) disclaim responsibility for any injury to people or property resulting from any ideas, methods, instructions or products referred to in the content. |
© 2023 by the authors. Licensee MDPI, Basel, Switzerland. This article is an open access article distributed under the terms and conditions of the Creative Commons Attribution (CC BY) license (https://creativecommons.org/licenses/by/4.0/).
Share and Cite
Periyasamy, T.; Asrafali, S.P.; Kim, S.-C. Bio-Based Polybenzoxazine–Cellulose Grafted Films: Material Fabrication and Properties. Polymers 2023, 15, 849. https://doi.org/10.3390/polym15040849
Periyasamy T, Asrafali SP, Kim S-C. Bio-Based Polybenzoxazine–Cellulose Grafted Films: Material Fabrication and Properties. Polymers. 2023; 15(4):849. https://doi.org/10.3390/polym15040849
Chicago/Turabian StylePeriyasamy, Thirukumaran, Shakila Parveen Asrafali, and Seong-Cheol Kim. 2023. "Bio-Based Polybenzoxazine–Cellulose Grafted Films: Material Fabrication and Properties" Polymers 15, no. 4: 849. https://doi.org/10.3390/polym15040849
APA StylePeriyasamy, T., Asrafali, S. P., & Kim, S.-C. (2023). Bio-Based Polybenzoxazine–Cellulose Grafted Films: Material Fabrication and Properties. Polymers, 15(4), 849. https://doi.org/10.3390/polym15040849

