Spectral Analysis of Strontium-Doped Calcium Phosphate/Chitosan Composite Films
Abstract
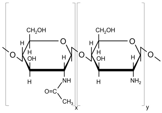
:1. Introduction
2. Materials and Methods
2.1. Materials
2.2. Synthesis Technique
Microwave-Assisted Hydrothermal Synthesis of Sr-Doped Hydroxyapatite
2.3. Deposition Techniques
2.3.1. Sr-Substituted Calcium Phosphate Deposition by Radio-Frequency Magnetron Sputtering
2.3.2. Chitosan Deposition by Matrix-Assisted Pulsed Laser Evaporation
2.4. Characterization Techniques
3. Results
3.1. Scanning Electron Microscopy
3.2. Energy Dispersive X-ray Spectroscopy
3.3. Fourier Transform Infrared Spectroscopy
3.3.1. Peak Fitting Analysis of FTIR Spectra of CaPSr Coatings s
| Wavenumber (cm−1) | FTIR Band Assignment | Ref. | |||||
|---|---|---|---|---|---|---|---|
| CaPSr_1 | CaPSr_2 | CaPSr_3 | CaPSr_CS_1 | CaPSr_CS_2 | CaPSr_CS_3 | ||
| 1134 | Asymmetric stretching of C-O-C | [41,48] | |||||
| 1120 | 1124 | 1119 | 1111 | 1108 | 1119 | P-O vibration in non-apatite phosphate structure | [47] |
| 1099,1075, 1045, 1022 | 1099,1068, 1033 | 1099, 1075,1034 | 1094,1073, 1047 | 1099, 1080,1055, | 1104, 1082, 1055 | ν3 PO43− | [21,35,38,39,49,50,51] |
| 990 | 989 | 990 | 982 | 982 | 976 | ν3 PO43− in TTCP | [27,28] |
| 52 | 1015 | 1015 | polysaccharide structure of CS | [40] | |||
| 930 | 935 | 935 | 934 | 929 | 929 | ν1 PO43− | [22,37] |
3.3.2. Peak Fitting Analysis of FTIR Spectra of CaPSr_CS Coatings
3.4. QMS Monitoring of the Species Released from the CaPSr_CS Coatings during LIA Process
4. Conclusions
Author Contributions
Funding
Institutional Review Board Statement
Data Availability Statement
Acknowledgments
Conflicts of Interest
References
- Berzina-Cimdina, L.; Borodajenko, N. Research of calcium phosphates using fourier transform infrared spectroscopy. In Infrared Spectroscopy—Materials Science, Engineering and Technology; InTech: Houston, TX, USA, 2012. [Google Scholar]
- Antoniac, I.V. Handbook of Bioceramics and Biocomposites; Springer: Berlin/Heidelberg, Germany, 2016; ISBN 9783319124605. [Google Scholar]
- Mohd Pu’ad, N.A.S.; Haq, R.H.A.; Mohd Noh, H.; Abdullah, H.Z.; Idris, M.I.; Lee, T.C. Selection and Peer-Review under Responsibility of 4th Advanced Materials Conference; Elsevier: Amsterdam, The Netherlands, 2018. [Google Scholar] [CrossRef]
- Balhuc, S.; Campian, R.; Labunet, A.; Negucioiu, M.; Buduru, S.; Kui, A. Dental Applications of Systems Based on Hydroxyapatite Nanoparticles—An Evidence-Based Update. Crystals 2021, 11, 674. [Google Scholar] [CrossRef]
- Schmidt, R.; Gonjal, J.P.; Morán, E. Microwaves: Microwave-Assisted Hydrothermal Synthesis of Nanoparticles. In CRC Concise Encyclopedia of Nanotechnology; CRC Press: Boca Raton, FL, USA, 2016; pp. 588–599. ISBN 9781466580343. [Google Scholar]
- Yang, G.; Park, S.J. Conventional and Microwave Hydrothermal Synthesis and Application of Functional Materials: A Review. Materials 2019, 12, 1177. [Google Scholar] [CrossRef] [PubMed]
- Solomon, G.; Mazzaro, R.; Morandi, V.; Concina, I.; Vomiero, A. Microwave-Assisted vs. Conventional Hydrothermal Synthesis of MoS2 Nanosheets: Application towards Hydrogen Evolution Reaction. Crystals 2020, 10, 1040. [Google Scholar] [CrossRef]
- Lu, M.; Chen, H.; Yuan, B.; Zhou, Y.; Min, L.; Xiao, Z.; Zhu, X.; Tu, C.; Zhang, X. Electrochemical Deposition of Nanostructured Hydroxyapatite Coating on Titanium with Enhanced Early Stage Osteogenic Activity and Osseointegration. Int. J. Nanomed. 2020, 15, 6605–6618. [Google Scholar] [CrossRef]
- Popa, M.V.; Moreno, J.M.C.; Popa, M.; Vasilescu, E.; Drob, P.; Vasilescu, C.; Drob, S.I. Electrochemical Deposition of Bioactive Coatings on Ti and Ti–6Al–4V Surfaces. Surf. Coatings Technol. 2011, 205, 4776–4783. [Google Scholar] [CrossRef]
- Stoch, A.; Brożek, A.; Kmita, G.; Stoch, J.; Jastrzębski, W.; Rakowska, A. Electrophoretic Coating of Hydroxyapatite on Titanium Implants. J. Mol. Struct. 2001, 596, 191–200. [Google Scholar] [CrossRef]
- Beig, B.; Liaqat, U.; Niazi, M.F.K.; Douna, I.; Zahoor, M.; Niazi, M.B.K. Current Challenges and Innovative Developments in Hydroxyapatite-Based Coatings on Metallic Materials for Bone Implantation: A Review. Coatings 2020, 10, 1249. [Google Scholar] [CrossRef]
- Bigi, A.; Boanini, E.; Bracci, B.; Facchini, A.; Panzavolta, S.; Segatti, F.; Sturba, L. Nanocrystalline Hydroxyapatite Coatings on Titanium: A New Fast Biomimetic Method. Biomaterials 2005, 26, 4085–4089. [Google Scholar] [CrossRef]
- Kowalski, S.; Gonciarz, W.; Belka, R.; Góral, A.; Chmiela, M.; Lechowicz, Ł.; Kaca, W.; Żórawski, W. Plasma-Sprayed Hydroxyapatite Coatings and Their Biological Properties. Coatings 2022, 12, 1317. [Google Scholar] [CrossRef]
- Jeong, Y.H.; Choe, H.C.; Eun, S.W. Hydroxyapatite Coating on the Ti-35Nb-XZr Alloy by Electron Beam-Physical Vapor Deposition. Thin Solid Film. 2011, 519, 7050–7056. [Google Scholar] [CrossRef]
- Man, H.C.; Chiu, K.Y.; Cheng, F.T.; Wong, K.H. Adhesion Study of Pulsed Laser Deposited Hydroxyapatite Coating on Laser Surface Nitrided Titanium. Thin Solid Film. 2009, 517, 5496–5501. [Google Scholar] [CrossRef]
- Nelea, V.; Morosanu, C.; Iliescu, M.; Mihailescu, I.N. Hydroxyapatite Thin Films Grown by Pulsed Laser Deposition and Radio-Frequency Magnetron Sputtering: Comparative Study. Appl. Surf. Sci. 2004, 228, 346–356. [Google Scholar] [CrossRef]
- Filip, D.G.; Surdu, V.-A.; Paduraru, A.V.; Andronescu, E. Current Development in Biomaterials—Hydroxyapatite and Bioglass for Applications in Biomedical Field: A Review. J. Funct. Biomater. 2022, 13, 248. [Google Scholar] [CrossRef] [PubMed]
- Ressler, A.; Žužić, A.; Ivanišević, I.; Kamboj, N.; Ivanković, H. Ionic Substituted Hydroxyapatite for Bone Regeneration Applications: A Review. Open Ceram. 2021, 6, 100122. [Google Scholar] [CrossRef]
- Mondal, S.; Dorozhkin, S.V.; Pal, U. Recent Progress on Fabrication and Drug Delivery Applications of Nanostructured Hydroxyapatite. WIREs Nanomed. Nanobiotechnol. 2018, 10, e1504. [Google Scholar] [CrossRef]
- Rivera-Muñoz, E.M. Hydroxyapatite-Based Materials: Synthesis and Characterization. In Biomedical Engineering—Frontiers and Challenges; InTech: Houston, TX, USA, 2011; ISBN 978-953-307-309-5. [Google Scholar]
- Baldassarre, F.; Altomare, A.; Mesto, E.; Lacalamita, M.; Dida, B.; Mele, A.; Bauer, E.M.; Puzone, M.; Tempesta, E.; Capelli, D.; et al. Structural Characterization of Low-Sr-Doped Hydroxyapatite Obtained by Solid-State Synthesis. Crystals 2023, 13, 117. [Google Scholar] [CrossRef]
- Zarif, M.E.; Yehia-Alexe, S.A.; Bita, B.; Negut, I.; Locovei, C.; Groza, A. Calcium Phosphates–Chitosan Composite Layers Obtained by Combining Radio-Frequency Magnetron Sputtering and Matrix-Assisted Pulsed Laser Evaporation Techniques. Polymers 2022, 14, 5241. [Google Scholar] [CrossRef]
- Kelly, P.; Arnell, R. Magnetron Sputtering: A Review of Recent Developments and Applications. Vacuum 2000, 56, 159–172. [Google Scholar] [CrossRef]
- Surmenev, R.A.; Surmeneva, M.A.; Grubova, I.Y.; Chernozem, R.V.; Krause, B.; Baumbach, T.; Loza, K.; Epple, M. RF Magnetron Sputtering of a Hydroxyapatite Target: A Comparison Study on Polytetrafluorethylene and Titanium Substrates. Appl. Surf. Sci. 2017, 414, 335–344. [Google Scholar] [CrossRef]
- Yang, S.; Zhang, J. Matrix-Assisted Pulsed Laser Evaporation (MAPLE) Technique for Deposition of Hybrid Nanostructures. Front. Nanosci. Nanotechnol. 2017, 3. [Google Scholar] [CrossRef]
- Hou, X.; Zhang, L.; Zhou, Z.; Luo, X.; Wang, T.; Zhao, X.; Lu, B.; Chen, F.; Zheng, L. Calcium Phosphate-Based Biomaterials for Bone Repair. J. Funct. Biomater. 2022, 13, 187. [Google Scholar] [CrossRef]
- Lukosevicius, L. Advances and Challenges in Sputter Deposition of Biomaterial Coatings from a Loosely Packed Hydroxyapatite Powder Target. Ph.D. Thesis, The University of Manchester, Manchester, UK, 2020. [Google Scholar]
- Moseke, C.; Gbureck, U. Tetracalcium Phosphate: Synthesis, Properties and Biomedical Applications. Acta Biomater. 2010, 6, 3815–3823. [Google Scholar] [CrossRef] [PubMed]
- Sparkman, O.D. Book & Media Reviews Mass Spectrometry Desk Reference. J. Chem. Educ. 2001, 78, 168. [Google Scholar]
- Shapovalov, V.I.; Komlev, A.E.; Bondarenko, A.S.; Baykov, P.B.; Karzin, V.V. Substrate Heating and Cooling during Magnetron Sputtering of Copper Target. Phys. Lett. A 2016, 380, 882–885. [Google Scholar] [CrossRef]
- Groza, A.; Surmeian, A. Characterization of the Oxides Present in a Polydimethylsiloxane Layer Obtained by Polymerisation of Its Liquid Precursor in Corona Discharge. J. Nanomater. 2015, 2015, 204296. [Google Scholar] [CrossRef]
- Yehia-Alexe, S.-A.; Groza, A.; Serbanescu, M.; Zarif, M.E.; Bita, B.; Dinca, P.; Butoi, B.; Staicu, C.; Porosnicu, C. Considerations on Hydrogen Isotopes Release from Thin Films by Laser Induced Ablation and Laser Induced Desorption Techniques. Spectrochim. Acta Part B At. Spectrosc. 2023, 208, 106774. [Google Scholar] [CrossRef]
- Bramowicz, M.; Braic, L.; Azem, F.A.; Kulesza, S.; Birlik, I.; Vladescu, A. Mechanical Properties and Fractal Analysis of the Surface Texture of Sputtered Hydroxyapatite Coatings. Appl. Surf. Sci. 2016, 379, 338–346. [Google Scholar] [CrossRef]
- Visan, A.; Stan, G.E.; Ristoscu, C.; Popescu-Pelin, G.; Sopronyi, M.; Besleaga, C.; Luculescu, C.; Chifiriuc, M.C.; Hussien, M.D.; Marsan, O.; et al. Combinatorial MAPLE Deposition of Antimicrobial Orthopedic Maps Fabricated from Chitosan and Biomimetic Apatite Powders. Int. J. Pharm. 2016, 511, 505–515. [Google Scholar] [CrossRef]
- Xu, Y.; An, L.; Chen, L.; Xu, H.; Zeng, D.; Wang, G. Controlled Hydrothermal Synthesis of Strontium-Substituted Hydroxyapatite Nanorods and Their Application as a Drug Carrier for Proteins. Adv. Powder Technol. 2018, 29, 1042–1048. [Google Scholar] [CrossRef]
- Bala, Y.; Farlay, D.; Delmas, P.D.; Meunier, P.J.; Boivin, G. Time Sequence of Secondary Mineralization and Microhardness in Cortical and Cancellous Bone from Ewes. Bone 2010, 46, 1204–1212. [Google Scholar] [CrossRef]
- Dreghici, D.B.; Butoi, B.; Predoi, D.; Iconaru, S.L.; Stoican, O.; Groza, A. Chitosan–Hydroxyapatite Composite Layers Generated in Radio Frequency Magnetron Sputtering Discharge: From Plasma to Structural and Morphological Analysis of Layers. Polymers 2020, 12, 3065. [Google Scholar] [CrossRef] [PubMed]
- Tsai, S.-W.; Yu, W.-X.; Hwang, P.-A.; Huang, S.-S.; Lin, H.-M.; Hsu, Y.-W.; Hsu, F.-Y. Fabrication and Characterization of Strontium-Substituted Hydroxyapatite-CaO-CaCO3 Nanofibers with a Mesoporous Structure as Drug Delivery Carriers. Pharmaceutics 2018, 10, 179. [Google Scholar] [CrossRef] [PubMed]
- Frangopol, P.T.; Mocanu, A.; Almasan, V.; Garbo, C.; Balint, R.; Borodi, G.; Bratu, I.; Horovitz, O.; Tomoaia-Cotisel, M. Synthesis and Structural Characterization of Strontium Substituted Hydroxyapatites. Rev. Roum. Chim. 2016, 61, 337–344. [Google Scholar]
- Zolghadri, M.; Saber-Samandari, S.; Ahmadi, S.; Alamara, K. Synthesis and Characterization of Porous Cytocompatible Scaffolds from Polyvinyl Alcohol-Chitosan. Bull. Mater. Sci. 2019, 42, 35. [Google Scholar] [CrossRef]
- Coates, J. Interpretation of infrared spectra, a practical approach. In Encyclopedia of Analytical Chemistry; Wiley: Chichester, UK, 2000. [Google Scholar]
- Fernandes Queiroz, M.; Melo, K.; Sabry, D.; Sassaki, G.; Rocha, H. Does the Use of Chitosan Contribute to Oxalate Kidney Stone Formation? Mar. Drugs 2014, 13, 141–158. [Google Scholar] [CrossRef] [PubMed]
- El-araby, A.; El Ghadraoui, L.; Errachidi, F. Usage of Biological Chitosan against the Contamination of Post-Harvest Treatment of Strawberries by Aspergillus Niger. Front. Sustain. Food Syst. 2022, 6, 141–158. [Google Scholar] [CrossRef]
- Xianmiao, C.; Yubao, L.; Yi, Z.; Li, Z.; Jidong, L.; Huanan, W. Properties and in Vitro Biological Evaluation of Nano-Hydroxyapatite/Chitosan Membranes for Bone Guided Regeneration. Mater. Sci. Eng. C 2009, 29, 29–35. [Google Scholar] [CrossRef]
- Butler, D.H.; Shahack-Gross, R. Formation of Biphasic Hydroxylapatite-Beta Magnesium Tricalcium Phosphate in Heat Treated Salmonid Vertebrae. Sci. Rep. 2017, 7, 3610. [Google Scholar] [CrossRef]
- Lv, S.H. High-Performance Superplasticizer Based on Chitosan. In Biopolymers and Biotech Admixtures for Eco-Efficient Construction Materials; Elsevier: Amsterdam, The Netherlands, 2016; pp. 131–150. ISBN 9780081002148. [Google Scholar]
- Gadaleta, S.J.; Paschalis, E.P.; Betts, F.; Mendelsohn, R.; Boskey, A.L. Fourier Transform Infrared Spectroscopy of the Solution-Mediated Conversion of Amorphous Calcium Phosphate to Hydroxyapatite: New Correlations between X-Ray Diffraction and Infrared Data. Calcif. Tissue Int. 1996, 58, 9–16. [Google Scholar] [CrossRef]
- Zhang, Y.-P.; Wang, X.; Shen, Y.; Thakur, K.; Zhang, J.-G.; Hu, F.; Wei, Z.-J. Preparation and Characterization of Bio-Nanocomposites Film of Chitosan and Montmorillonite Incorporated with Ginger Essential Oil and Its Application in Chilled Beef Preservation. Antibiotics 2021, 10, 796. [Google Scholar] [CrossRef]
- Delgado-López, J.M.; Iafisco, M.; Rodríguez, I.; Tampieri, A.; Prat, M.; Gómez-Morales, J. Crystallization of Bioinspired Citrate-Functionalized Nanoapatite with Tailored Carbonate Content. Acta Biomater. 2012, 8, 3491–3499. [Google Scholar] [CrossRef] [PubMed]
- Boyd, A.R.; Rutledge, L.; Randolph, L.D.; Mutreja, I.; Meenan, B.J. The Deposition of Strontium-Substituted Hydroxyapatite Coatings. J. Mater. Sci. Mater. Med. 2015, 26, 65. [Google Scholar] [CrossRef]
- Lin, K.; Liu, P.; Wei, L.; Zou, Z.; Zhang, W.; Qian, Y.; Shen, Y.; Chang, J. Strontium Substituted Hydroxyapatite Porous Microspheres: Surfactant-Free Hydrothermal Synthesis, Enhanced Biological Response and Sustained Drug Release. Chem. Eng. J. 2013, 222, 49–59. [Google Scholar] [CrossRef]
- Ghumman, C.A.A.; Carreira, O.M.T.; Moutinho, A.M.C.; Tolstogouzov, A.; Vassilenko, V.; Teodoro, O.M.N.D. Identification of Human Calculi with Time-of-Flight Secondary Ion Mass Spectrometry. Rapid Commun. Mass Spectrom. 2010, 24, 185–190. [Google Scholar] [CrossRef]
- Ghumman, C.A.A.; Moutinho, A.M.C.; Tolstogouzov, A.; Teodoro, O.M.N.D. Time-of-Flight Secondary Ion Mass Spectrometric Identification of Calcium Formate Ca(HCO2)2 and Metabolite of Vitamin B6 in Human Stones. Rapid Commun. Mass Spectrom. 2011, 25, 997–999. [Google Scholar] [CrossRef] [PubMed]
- Ghumman, C.A.A.; Moutinho, A.M.C.; Santos, A.; Tolstogouzov, A.; Teodoro, O.M.N.D. TOF-SIMS Study of Cystine and Cholesterol Stones. J. Mass Spectrom. 2012, 47, 547–551. [Google Scholar] [CrossRef]
- Ghumman, C.A.A.; Moutinho, A.M.C.; Santos, A.; Teodoro, O.M.N.D.; Tolstogouzov, A. An Upgraded TOF-SIMS VG Ionex IX23LS: Study on the Negative Secondary Ion Emission of III-V Compound Semiconductors with Prior Neutral Cesium Deposition. Appl. Surf. Sci. 2012, 258, 2490–2497. [Google Scholar] [CrossRef]
- Ghumman, C.A.A.; Moutinho, A.M.C.; Santos, A.; Tolstogouzov, A.; Teodoro, O.M.N.D. TOF-SIMS VG Ionex IX23LS: Upgrade and application for the urinary stones analysis. In Surface and Interface Analysis; John Wiley & Sons, Ltd.: Hoboken, NJ, USA, 2013; Volume 45, pp. 532–536. [Google Scholar]
- Liu, H.; Yoo, H.J.; Håkansson, K. Characterization of Phosphate-Containing Metabolites by Calcium Adduction and Electron Capture Dissociation. J. Am. Soc. Mass Spectrom. 2008, 19, 799–808. [Google Scholar] [CrossRef]












| Atomic Ratio | CaPSr_1 | CaPSr_2 | CaPSr_3 |
|---|---|---|---|
| (Ca + Sr)/P | 2.01 ± 0.05 | 2.04 ± 0.04 | 2.09 ± 0.05 |
| Sr/(Ca + Sr) | 0.030 ± 0.003 | 0.045 ± 0.003 | 0.035 ± 0.005 |
| Atomic Ratio | CaPSr_1_CS | CaPSr_2_CS | CaPSr_3_CS |
|---|---|---|---|
| (Ca + Sr)/P | 2.02 ± 0.08 | 2.10 ± 0.15 | 1.76 ± 0.04 |
| Sr/(Ca + Sr) | 0.028 ± 0.003 | 0.051 ± 0.011 | 0.046 ± 0.009 |
| Wavenumber (cm−1) | FTIR Band Assignment | Ref. | ||
|---|---|---|---|---|
| CaPSr_CS_1 | CaPSr_CS_2 | CaPSr_CS_3 | ||
| 3590–3085 | 3590–3085 | 3700–3085 | polymeric O-H stretch or N-H | [41] |
| 1649 | 1646 | 1653 | stretching of (-C=O-) of amide I group/N-H stretching of amide I | [34,42]/[43] |
| 1579 | N-H straining vibrations of -NH2 | [43,44] | ||
| 1556 | 1552 | 1556 | bending of N-H in amide II | [41] |
| 1434 | 1434 | 1431 | asymmetric bending of C-H in (-CH3) | [41] |
| 1371 | 1376 | 1378 | Symmetric bending of C-H in (-CH3) | [34,41,45] |
| 1311 | 1314 | 1311 | stretching of (-CH3) of amide III groups | [34] |
| 1236 | 1231 | 1234 | -NHCO- | [46] |
Disclaimer/Publisher’s Note: The statements, opinions and data contained in all publications are solely those of the individual author(s) and contributor(s) and not of MDPI and/or the editor(s). MDPI and/or the editor(s) disclaim responsibility for any injury to people or property resulting from any ideas, methods, instructions or products referred to in the content. |
© 2023 by the authors. Licensee MDPI, Basel, Switzerland. This article is an open access article distributed under the terms and conditions of the Creative Commons Attribution (CC BY) license (https://creativecommons.org/licenses/by/4.0/).
Share and Cite
Zarif, M.E.; Bita, B.; Yehia-Alexe, S.A.; Negut, I.; Groza, A. Spectral Analysis of Strontium-Doped Calcium Phosphate/Chitosan Composite Films. Polymers 2023, 15, 4245. https://doi.org/10.3390/polym15214245
Zarif ME, Bita B, Yehia-Alexe SA, Negut I, Groza A. Spectral Analysis of Strontium-Doped Calcium Phosphate/Chitosan Composite Films. Polymers. 2023; 15(21):4245. https://doi.org/10.3390/polym15214245
Chicago/Turabian StyleZarif, Maria Elena, Bogdan Bita, Sasa Alexandra Yehia-Alexe, Irina Negut, and Andreea Groza. 2023. "Spectral Analysis of Strontium-Doped Calcium Phosphate/Chitosan Composite Films" Polymers 15, no. 21: 4245. https://doi.org/10.3390/polym15214245
APA StyleZarif, M. E., Bita, B., Yehia-Alexe, S. A., Negut, I., & Groza, A. (2023). Spectral Analysis of Strontium-Doped Calcium Phosphate/Chitosan Composite Films. Polymers, 15(21), 4245. https://doi.org/10.3390/polym15214245

