Polypropylene Post-Consumer Recyclate Compounds for Thermoforming Packaging Applications
Abstract
1. Introduction
2. Experimental Section
2.1. Materials
2.2. Methods
2.2.1. Melt Mass-Flow Rate Measurements
2.2.2. Specimen Production
2.2.3. Differential Scanning Calorimetry Measurements
2.2.4. Oxidation Induction Temperature (Dynamic OIT) Measurements
2.2.5. Tensile Tests
2.2.6. Charpy Impact Tests
3. Results
3.1. Melt Mass-Flow Rates
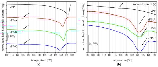
3.2. Melting Behaviors
3.3. Oxidation Induction Temperatures (Dynamic OITs)
3.4. Tensile Properties
3.5. Charpy Notched Impact Strengths
4. Discussion
5. Conclusions
Author Contributions
Funding
Acknowledgments
Conflicts of Interest
Correction Statement
References
- PlasticsEurope. Plastics—The Facts 2021: An Analysis of European Plastics Production, Demand and Waste Data. Available online: https://plasticseurope.org/wp-content/uploads/2021/12/AF-Plastics-the-facts-2021_250122.pdf (accessed on 31 August 2022).
 - plasticker. Prices in the Plasticker Material Exchange: Overview about Pellets. Available online: https://plasticker.de/preise/preise_monat_en.php?group=gran (accessed on 31 August 2022).
 - Gahleitner, M.; Paulik, C. Polypropylene and other polyolefins. In Brydson’s Plastics Materials; Elsevier: Amsterdam, The Netherlands, 2017; pp. 279–309. [Google Scholar]
 - Gahleitner, M.; Tranninger, C.; Doshev, P. Polypropylene Copolymers. In Polypropylene Handbook; Karger-Kocsis, J., Bárány, T., Eds.; Springer International Publishing: Cham, Switzerland, 2019; pp. 295–355. ISBN 978-3-030-12902-6. [Google Scholar]
 - Gahleitner, M.; Paulik, C. Polypropylene. In Ullmann’s Encyclopedia of Industrial Chemistry; Wiley-VCH Verlag GmbH & Co. KGaA: Weinheim, Germany, 2000; pp. 1–44. ISBN 9783527306732. [Google Scholar]
 - Selke, S.E.M. Plastics Packaging: Properties, Processing, Applications, and Regulations, 3rd ed.; Hanser: München, Germany, 2015; ISBN 978-1-56990-443-5. [Google Scholar]
 - Akhras, M.H.; Fischer, J. Sampling Scheme Conception for Pretreated Polyolefin Waste Based on a Review of the Available Standard Procedures. Polymers 2022, 14, 3450. [Google Scholar] [CrossRef] [PubMed]
 - Cecon, V.S.; Da Silva, P.F.; Curtzwiler, G.W.; Vorst, K.L. The challenges in recycling post-consumer polyolefins for food contact applications: A review. Resour. Conserv. Recycl. 2021, 167, 105422. [Google Scholar] [CrossRef]
 - European Food Safety Authority. Plastics and Plastic Recycling. Available online: https://www.efsa.europa.eu/en/topics/topic/plastics-and-plastic-recycling (accessed on 3 November 2022).
 - Kalpakjian, S.; Schmid, S.R. Manufacturing Processes for Engineering Materials in SI Units, 6th ed., Global ed.; Pearson Education Limited: Harlow, UK, 2022; ISBN 9781292254388. [Google Scholar]
 - Throne, J.L. Understanding Thermoforming, 2nd ed.; Hanser: München, Germany, 2008; ISBN 978-3-446-40796-1. [Google Scholar]
 - Wittmann, L.-M.; Drummer, D. Two Layer Sheets for Processing Post-Consumer Materials. Polymers 2022, 14, 1507. [Google Scholar] [CrossRef] [PubMed]
 - Freudenthaler, P.J.; Fischer, J.; Liu, Y.; Lang, R.W. Polypropylene Pipe Compounds with Varying Post-Consumer Packaging Recyclate Content. Polymers 2022, 14, 5232. [Google Scholar] [CrossRef] [PubMed]
 - Freudenthaler, P.J.; Fischer, J.; Liu, Y.; Lang, R.W. Short- and Long-Term Performance of Pipe Compounds Containing Polyethylene Post-Consumer Recyclates from Packaging Waste. Polymers 2022, 14, 1581. [Google Scholar] [CrossRef] [PubMed]
 - Stanic, S.; Koch, T.; Schmid, K.; Knaus, S.; Archodoulaki, V.-M. Improving Rheological and Mechanical Properties of Various Virgin and Recycled Polypropylenes by Blending with Long-Chain Branched Polypropylene. Polymers 2021, 13, 1137. [Google Scholar] [CrossRef] [PubMed]
 - Borealis AG. Solutions for Thermoforming—Summary Data Sheet. Available online: https://www.borealisgroup.com/storage/Polyolefins/Consumer-Products/Solutions_for_Thermoforming.pdf (accessed on 10 August 2022).
 - Braskem Netherlands B.V. Polypropylene for Rigid Packaging Applications. Available online: https://www.braskem.com.br/cms/europe/Catalogo/Download?CodigoCatalogo=275 (accessed on 1 September 2022).
 - Umweltbundesamt: Präsidialbereich/Presse- und Öffentlichkeitsarbeit, Internet. Verpackungen. Available online: https://www.umweltbundesamt.de/themen/abfall-ressourcen/produktverantwortung-in-der-abfallwirtschaft/verpackungen#undefined (accessed on 15 February 2022).
 - Traxler, I.; Marschik, C.; Farthofer, M.; Laske, S.; Fischer, J. Application of Mixing Rules for Adjusting the Flowability of Virgin and Post-Consumer Polypropylene as an Approach for Design from Recycling. Polymers 2022, 14, 2699. [Google Scholar] [CrossRef] [PubMed]
 - SpecialChem S.A. Irganox® 1010 Technical Datasheet Supplied by BASF. Available online: https://polymer-additives.specialchem.com/product/a-basf-irganox-1010#related-documents (accessed on 11 May 2022).
 - SpecialChem S.A. Irgafos® 168 Technical Datasheet Supplied by BASF. Available online: https://polymer-additives.specialchem.com/product/a-basf-irgafos-168#related-documents (accessed on 11 May 2022).
 - ISO/TC 61/SC 5 Physical-Chemical Properties. ISO 1133-1:2011 Plastics—Determination of the Melt Mass-Flow Rate (MFR) and Melt Volume-Flow Rate (MVR) of Thermoplastics—Part 1: Standard Method, 1st ed. 2011. Available online: https://www.iso.org/standard/44273.html (accessed on 10 March 2022).
 - ISO/TC 61/SC 9 Thermoplastic Materials. ISO 19069-2:2016 Plastics—Polypropylene (PP) Moulding and Extrusion Materials—Part 2: Preparation of Test Specimens and Determination of Properties, 1st ed. 2016. Available online: https://www.iso.org/standard/66828.html (accessed on 2 August 2022).
 - ISO/TC 61/SC 9 Thermoplastic Materials. ISO 294-1:2017 Plastics—Injection Moulding of Test Specimens of Thermoplastic Materials—Part 1: General Principles, and Moulding of Multipurpose and Bar Test Specimens, 2nd ed. 2017. Available online: https://www.iso.org/standard/67036.html (accessed on 10 August 2022).
 - ISO/TC 61/SC 2 Mechanical Behavior. ISO 20753:2018 Plastics—Test Specimens, 2nd ed. 2018. Available online: https://www.iso.org/standard/72818.html (accessed on 10 August 2022).
 - ISO/TC 61/SC 2 Mechanical Behavior. ISO 179-1:2010 Plastics—Determination of Charpy Impact Properties—Part 1: Non-Instrumented Impact Test, 2nd ed. 2010. Available online: https://www.iso.org/standard/44852.html (accessed on 2 August 2022).
 - ISO/TC 61/SC 5 Physical-Chemical Properties. ISO 11357-1:2016 Plastics—Differential Scanning Calorimetry (DSC)—Part 1: General Principles, 3rd ed. 2016. Available online: https://www.iso.org/standard/70024.html (accessed on 2 August 2022).
 - ISO/TC 61/SC 5 Physical-Chemical Properties. ISO 11357-3:2018 Plastics—Differential Scanning Calorimetry (DSC)—Part 3: Determination of Temperature and Enthalpy of Melting and Crystallization, 3rd ed. 2018. Available online: https://www.iso.org/standard/72460.html (accessed on 2 August 2022).
 - ISO/TC 61/SC 5 Physical-Chemical Properties. ISO 11357-6:2018 Plastics—Differential Scanning Calorimetry (DSC)—Part 6: Determination of Oxidation Induction Time (Isothermal OIT) and Oxidation Induction Temperature (Dynamic OIT), 3rd ed. 2018. Available online: https://www.iso.org/standard/72461.html (accessed on 2 August 2022).
 - Grabmayer, K.; Beißmann, S.; Wallner, G.M.; Nitsche, D.; Schnetzinger, K.; Buchberger, W.; Schobermayr, H.; Lang, R.W. Characterization of the influence of specimen thickness on the aging behavior of a polypropylene based model compound. Polym. Degrad. Stab. 2015, 111, 185–193. [Google Scholar] [CrossRef]
 - ISO/TC 61/SC 2 Mechanical Behavior. ISO 527-1:2019 Plastics—Determination of Tensile Properties—Part 1: General Principles, 3rd ed. 2019. Available online: https://www.iso.org/standard/75824.html (accessed on 2 August 2022).
 - ISO/TC 61/SC 2 Mechanical Behavior. ISO 527-2:2012 Plastics—Determination of Tensile Properties—Part 2: Test Conditions for Moulding and Extrusion Plastics, 2nd ed. 2012. Available online: https://www.iso.org/standard/56046.html (accessed on 2 August 2022).
 - Gall, M.; Freudenthaler, P.J.; Fischer, J.; Lang, R.W. Characterization of Composition and Structure–Property Relationships of Commercial Post-Consumer Polyethylene and Polypropylene Recyclates. Polymers 2021, 13, 1574. [Google Scholar] [CrossRef] [PubMed]
 - Messiha, M.; Frank, A.; Koch, T.; Arbeiter, F.; Pinter, G. Effect of polyethylene and polypropylene cross-contamination on slow crack growth resistance. Int. J. Polym. Anal. Charact. 2020, 25, 649–666. [Google Scholar] [CrossRef]
 - Kazemi, Y.; Ramezani Kakroodi, A.; Rodrigue, D. Compatibilization efficiency in post-consumer recycled polyethylene/polypropylene blends: Effect of contamination. Polym. Eng. Sci. 2015, 55, 2368–2376. [Google Scholar] [CrossRef]
 - Ehrenstein, G.W.; Riedel, G.; Trawiel, P. Thermal Analysis of Plastics: Theory and Practice; Hanser: Munich, Germany, 2004; ISBN 978-3-446-22673-9. [Google Scholar]
 - Baur, E.; Brinkmann, S.; Osswald, T.A.; Rudolph, N.; Schmachtenberg, E. Saechtling Kunststoff Taschenbuch, 31st ed.; Hanser: München, Germany, 2013; ISBN 978-3-446-43729-6. [Google Scholar]
 - Lanyi, F.J.; Wenzke, N.; Kaschta, J.; Schubert, D.W. On the Determination of the Enthalpy of Fusion of α-Crystalline Isotactic Polypropylene Using Differential Scanning Calorimetry, X-ray Diffraction, and Fourier-Transform Infrared Spectroscopy: An Old Story Revisited. Adv. Eng. Mater. 2020, 22, 1900796. [Google Scholar] [CrossRef]
 - Jansson, A.; Möller, K.; Gevert, T. Degradation of post-consumer polypropylene materials exposed to simulated recycling—Mechanical properties. Polym. Degrad. Stab. 2003, 82, 37–46. [Google Scholar] [CrossRef]
 - Traxler, I.; Fischer, J.; Marschik, C.; Laske, S.; Eckerstorfer, M.; Reckziegel, H. Structure-Property Relationships of Thermoformed Products based on Recyclates. AIP Conf. Proc. 2023. [Google Scholar]
 - Lima, M.F.S.; Vasconcellos, M.A.Z.; Samios, D. Crystallinity changes in plastically deformed isotactic polypropylene evaluated by x-ray diffraction and differential scanning calorimetry methods. J. Polym. Sci. B Polym. Phys. 2002, 40, 896–903. [Google Scholar] [CrossRef]
 - Li, J.; Zhu, Z.; Li, T.; Peng, X.; Jiang, S.; Turng, L.-S. Quantification of the Young’s modulus for polypropylene: Influence of initial crystallinity and service temperature. J. Appl. Polym. Sci. 2020, 137, 48581. [Google Scholar] [CrossRef]
 - Karger-Kocsis, J.; Bárány, T. (Eds.) Polypropylene Handbook; Springer International Publishing: Cham, Switzerland, 2019; ISBN 978-3-030-12902-6. [Google Scholar]
 - LyondellBasell Industries Holdings B.V. High-Performance Polypropylene for Rigid Packaging Applications. Available online: https://www.lyondellbasell.com/4a2134/globalassets/documents/polymers-technical-literature/product-information---high-performance-polypropylene-for-rigid-packaging-applicationss.pdf (accessed on 1 September 2022).
 - Ladhari, A.; Kucukpinar, E.; Stoll, H.; Sängerlaub, S. Comparison of Properties with Relevance for the Automotive Sector in Mechanically Recycled and Virgin Polypropylene. Recycling 2021, 6, 76. [Google Scholar] [CrossRef]
 - Gall, M.; Steinbichler, G.; Lang, R.W. Learnings about design from recycling by using post-consumer polypropylene as a core layer in a co-injection molded sandwich structure product. Mater. Des. 2021, 202, 109576. [Google Scholar] [CrossRef]
 









| Datasheet Values | vPP 1 | rPP-A 2 | rPP-B 2 | rPP-C 2 | 
|---|---|---|---|---|
| melt mass-flow rate (230 °C/2.16 kg; g/10 min) | 0.25 | ≥11 | 10.1–15.0 | 18 | 
| tensile modulus (MPa) | 2000 | ≥1100 | 1100–1400 | 1200 | 
| yield stress (MPa) | 36 | ≥25 | 23–27 | 28 | 
| strain at break (%) | - | ≥180 | - | - | 
| Charpy notched impact strength (kJ/m2) | 30 | ≥6 | 4–8 | 5.5 | 
| vPP 1 | rPP-A 2 | rPP-B 2 | rPP-C 2 | |
|---|---|---|---|---|
| m% | m% | m% | m% | |
| A50 | 50 | 50 | - | - | 
| A60 | 40 | 60 | - | - | 
| B55 | 45 | - | 55 | - | 
| B60 | 40 | - | 60 | - | 
| B65 | 35 | - | 65 | - | 
| C55 | 45 | - | 55 | 
Disclaimer/Publisher’s Note: The statements, opinions and data contained in all publications are solely those of the individual author(s) and contributor(s) and not of MDPI and/or the editor(s). MDPI and/or the editor(s) disclaim responsibility for any injury to people or property resulting from any ideas, methods, instructions or products referred to in the content.  | 
© 2023 by the authors. Licensee MDPI, Basel, Switzerland. This article is an open access article distributed under the terms and conditions of the Creative Commons Attribution (CC BY) license (https://creativecommons.org/licenses/by/4.0/).
Share and Cite
Freudenthaler, P.J.; Fischer, J.; Liu, Y.; Lang, R.W. Polypropylene Post-Consumer Recyclate Compounds for Thermoforming Packaging Applications. Polymers 2023, 15, 345. https://doi.org/10.3390/polym15020345
Freudenthaler PJ, Fischer J, Liu Y, Lang RW. Polypropylene Post-Consumer Recyclate Compounds for Thermoforming Packaging Applications. Polymers. 2023; 15(2):345. https://doi.org/10.3390/polym15020345
Chicago/Turabian StyleFreudenthaler, Paul J., Joerg Fischer, Yi Liu, and Reinhold W. Lang. 2023. "Polypropylene Post-Consumer Recyclate Compounds for Thermoforming Packaging Applications" Polymers 15, no. 2: 345. https://doi.org/10.3390/polym15020345
APA StyleFreudenthaler, P. J., Fischer, J., Liu, Y., & Lang, R. W. (2023). Polypropylene Post-Consumer Recyclate Compounds for Thermoforming Packaging Applications. Polymers, 15(2), 345. https://doi.org/10.3390/polym15020345
        
