Inhibitory Effects of Some Hydrocolloids on the Formation of Advanced Glycation End Products and Heterocyclic Amines in Chemical Models and Grilled Beef Patties
Abstract
:1. Introduction
2. Materials and Methods
2.1. Materials and Chemicals
2.2. Inhibitory Effects of Hydrocolloids on HA and AGE Formation in Chemical Model Systems
2.3. High-Performance Liquid Chromatography with Tandem Mass Spectrometry (HPLC-MS/MS) Analysis of AGEs from Chemical Model Systems
2.4. Ultra-Performance Liquid Chromatography with Tandem Mass Spectrometry (UPLC-MS/MS) Analysis of HAs from Chemical Model Systems
2.5. Effects of Hydrocolloids on HA and AGE Formation in Grilled Beef Patties
2.6. Determination of the Inhibitory Effect of Hydrocolloids on HA and AGE Formation in Grilled Beef Patties
2.7. Quality Analysis (Composition, Color, Texture and Cooking Loss) and Sensory Evaluation of Grilled Beef Patties Added with Hydrocolloids
- (a)
- The proximate composition (protein, fat, ash and moisture content) of raw and cooked samples was determined according to AOAC procedures. The moisture content was determined by drying (105 °C) in a MemmertUF30 universal oven (Schwabach, Germany); the total ash by incineration (at 550 °C) using a laboratory Heraeus M110 muffle furnace (Heraeus, Hanau, Germany); the total protein content (N × 6.25) using the Kjeldahl method; and the fat content using the Soxhlet method (with n-hexane as a solvent) using the Büchi Extraction System B-811 (Flawil, Switzerland).
- (b)
- The meat pH was measured using a digital pH meter equipped with a penetration glass electrode (Elmetron, Zabrze, Poland) directly in the grilled meat patties.
- (c)
- The cooking loss (CL) of the grilled beef patties was expressed as the percentage difference between the initial weight of the raw meat sample and the cooked sample in the electric grill.
- (d)
- The texture profile of the grilled beef patties was analyzed at room temperature (20–24 °C) using a TA-XT plus texture analyzer (Godalming, UK) equipped with a P/50 cylinder probe (50 mm). The roasted patties were cut into small cubes (1 × 1 × 1 cm) and the hardness, springiness, gumminess, cohesiveness and chewiness were measured using the following parameters: 3 mm/s for the pre-test, 2 mm/s for the test and 3 mm/s for the post-test. The trigger force was set at 5.0 g with a 50% strain for 5 s [19].
- (e)
- The color of the grilled beef patties was measured using a CR-400 colorimeter (Konica Minolta, Japan) portable spectrophotometer with a pulsed xenon lamp and 8 mm aperture size. The results (illuminant D65, 10° Standard Observer) were given in the CIE L*a*b* color space including the following spectral values: L*, (lightness), a* (redness) and b* (yellowness). At least three readings at different points of the sample were taken each time and the mean value was calculated for each replication.
- (f)
- The sensory attributes of the grilled beef patties were evaluated by ten panelists of both sexes (nonsmokers, between 25 and 40 years of age) who were experienced in meat sensory analysis and instructed using a nine-point structured hedonic scale [35]. Five different sensory properties, namely appearance, flavor, tenderness, texture and overall acceptability, were assessed.
2.8. Determination of Dicarbonyl Compounds in Chemical Model Systems
2.9. Determination of Phenylacetaldehyde and 2,5-Dimethylpyrazine in Chemical Model Systems
2.10. Statistical Analysis
3. Results and Discussion
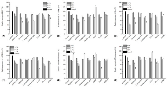
3.1. Inhibitory Effects of Hydrocolloids on HA Formation in Chemical Model Systems
3.2. Inhibitory Effects of Hydrocolloids on AGE Formation in Chemical Model Systems
3.3. Effects of Hydrocolloids (Chitosan or Pectin) on HA and AGE Formation in Grilled Beef Patties
3.4. Influence of Hydrocolloids (Chitosan or Pectin) on the Selected Quality and Sensory Properties of Grilled Beef Patties
3.5. Effects of Hydrocolloids (Chitosan or Pectin) on HA and AGE Intermediates in Chemical Models
4. Conclusions
Author Contributions
Funding
Data Availability Statement
Conflicts of Interest
References
- Wang, L.; Steele, E.M.; Du, M.; Pomeranz, J.L.; O’Connor, L.E.; Herrick, K.A.; Luo, H.; Zhang, X.; Mozaffarian, D.; Zhang, F.F. Trends in consumption of ultraprocessed foods among US youths aged 2–19 years, 1999–2018. JAMA 2021, 326, 519–530. [Google Scholar] [CrossRef]
- Starowicz, M.; Zieliński, H. How Maillard reaction influences sensorial properties (color, flavor and texture) of food products? Food Rev. Int. 2019, 35, 707–725. [Google Scholar] [CrossRef]
- Koszucka, A.; Nowak, A. Thermal processing food-related toxicants: A review. Crit. Rev. Food Sci. Nutr. 2019, 59, 3579–3596. [Google Scholar] [CrossRef] [PubMed]
- Quan, W.; Wu, Z.; Jiao, Y.; Liu, G.; Wang, Z.; He, Z.; Tao, G.; Qin, F.; Zeng, M.; Chen, J. Exploring the relationship between potato components and Maillard reaction derivative harmful products using multivariate statistical analysis. Food Chem. 2021, 339, 127853. [Google Scholar] [CrossRef] [PubMed]
- Chen, Q.; Li, Y.; Dong, L.; Shi, R.; Wu, Z.; Liu, L.; Zhang, J.; Wu, Z.; Pan, D. Quantitative determination of Nε-(carboxymethyl) lysine in sterilized milk by isotope dilution UPLC-MS/MS method without derivatization and ion pair reagents. Food Chem. 2022, 385, 132697. [Google Scholar] [CrossRef]
- Chen, Q.; Lai, S.; Dong, L.; Liu, Y.; Pan, D.; Wu, Z.; Wu, Z.; Zhou, Y.; Ren, Y.; Zhang, J. Characterization and determination of casein glycomacropeptide in dairy products by UHPLC–MS/MS based on its characteristic peptide. Food Chem. 2024, 430, 137049. [Google Scholar] [CrossRef] [PubMed]
- Wei, Q.; Liu, T.; Sun, D.-W. Advanced glycation end-products (AGEs) in foods and their detecting techniques and methods: A review. Trends Food Sci. Technol. 2018, 82, 32–45. [Google Scholar] [CrossRef]
- Quan, W.; Jiao, Y.; Xue, C.; Li, Y.; Liu, G.; He, Z.; Qin, F.; Zeng, M.; Chen, J. The effect of exogenous free Nε-(carboxymethyl) lysine on diabetic-model Goto-Kakizaki rats: Metabolomics analysis in serum and urine. J. Agric. Food Chem. 2021, 69, 783–793. [Google Scholar] [CrossRef]
- Li, Y.; Peng, Y.; Shen, Y.; Zhang, Y.; Liu, L.; Yang, X. Dietary polyphenols: Regulate the advanced glycation end products-RAGE axis and the microbiota-gut-brain axis to prevent neurodegenerative diseases. Crit. Rev. Food Sci. Nutr. 2022, 1–27. [Google Scholar] [CrossRef] [PubMed]
- Dong, L.; Li, Y.; Chen, Q.; Liu, Y.; Wu, Z.; Pan, D.; Yan, N.; Liu, L. Cereal polyphenols inhibition mechanisms on advanced glycation end products and regulation on type 2 diabetes. Crit. Rev. Food Sci. Nutr. 2023, 1–19. [Google Scholar] [CrossRef] [PubMed]
- Barzegar, F.; Kamankesh, M.; Mohammadi, A. Heterocyclic aromatic amines in cooked food: A review on formation, health risk-toxicology and their analytical techniques. Food Chem. 2019, 280, 240–254. [Google Scholar] [CrossRef] [PubMed]
- Gibis, M. Heterocyclic aromatic amines in cooked meat products: Causes, formation, occurrence, and risk assessment. Compr. Rev. Food Sci. Food Saf. 2016, 15, 269–302. [Google Scholar] [CrossRef] [PubMed]
- Turesky, R.J. Heterocyclic aromatic amines: Potential human carcinogens. In Advances in Molecular Toxicology; Elsevier: Amsterdam, The Netherlands, 2010; Volume 4, pp. 37–83. [Google Scholar]
- Le Marchand, L. The role of heterocyclic aromatic amines in colorectal cancer: The evidence from epidemiologic studies. Genes Environ. 2021, 43, 20. [Google Scholar] [CrossRef] [PubMed]
- Gumus, D.; Kizil, M. Comparison of the reducing effects of blueberry and propolis extracts on heterocyclic aromatic amines formation in pan fried beef. Meat Sci. 2022, 186, 108746. [Google Scholar] [CrossRef]
- Khan, M.; Liu, H.; Wang, J.; Sun, B. Inhibitory effect of phenolic compounds and plant extracts on the formation of advance glycation end products: A comprehensive review. Food Res. Int. 2020, 130, 108933. [Google Scholar] [CrossRef]
- Xue, C.; Quan, W.; Li, Y.; He, Z.; Qin, F.; Wang, Z.; Chen, J.; Zeng, M. Mitigative capacity of Kaempferia galanga L. and kaempferol on heterocyclic amines and advanced glycation end products in roasted beef patties and related mechanistic analysis by density functional theory. Food Chem. 2022, 385, 132660. [Google Scholar] [CrossRef]
- Xue, C.; Deng, P.; Quan, W.; Li, Y.; He, Z.; Qin, F.; Wang, Z.; Chen, J.; Zeng, M. Ginger and curcumin can inhibit heterocyclic amines and advanced glycation end products in roast beef patties by quenching free radicals as revealed by electron paramagnetic resonance. Food Control 2022, 138, 109038. [Google Scholar] [CrossRef]
- Xu, Y.; Jiao, Y.; Luo, J.; He, Z.; Zeng, M.; Shen, Q.; Chen, J.; Quan, W. The Influence of Deep Eutectic Solvents Extract from Ginger on the Formation of Heterocyclic Amines and Advanced Glycation End Products in Roast Beef Patties. Foods 2022, 11, 3161. [Google Scholar] [CrossRef]
- Liu, S.; Zhu, Y.; Liu, N.; Fan, D.; Wang, M.; Zhao, Y. Antioxidative properties and chemical changes of quercetin in fish oil: Quercetin reacts with free fatty acids to form its ester derivatives. J. Agric. Food Chem. 2021, 69, 1057–1067. [Google Scholar] [CrossRef]
- Ou, J.; Wang, M.; Zheng, J.; Ou, S. Positive and negative effects of polyphenol incorporation in baked foods. Food Chem. 2019, 284, 90–99. [Google Scholar] [CrossRef]
- Li, J.-M.; Nie, S.-P. The functional and nutritional aspects of hydrocolloids in foods. Food Hydrocoll. 2016, 53, 46–61. [Google Scholar] [CrossRef]
- Jimenez-Colmenero, F.; Cofrades, S.; Herrero, A.M.; Solas, M.T.; Ruiz-Capillas, C. Konjac gel for use as potential fat analogue for healthier meat product development: Effect of chilled and frozen storage. Food Hydrocoll. 2013, 30, 351–357. [Google Scholar] [CrossRef]
- Zhang, N.; Zhou, Q.; Fan, D.; Xiao, J.; Zhao, Y.; Cheng, K.-W.; Wang, M. Novel roles of hydrocolloids in foods: Inhibition of toxic maillard reaction products formation and attenuation of their harmful effects. Trends Food Sci. Technol. 2021, 111, 706–715. [Google Scholar] [CrossRef]
- Zhang, N.; Zhao, Y.; Fan, D.; Xiao, J.; Cheng, K.-W.; Wang, M. Inhibitory effects of some hydrocolloids on the formation of heterocyclic amines in roast beef. Food Hydrocoll. 2020, 108, 106073. [Google Scholar] [CrossRef]
- Oz, F.; Zaman, A.; Kaya, M. Effect of chitosan on the formation of heterocyclic aromatic amines and some quality properties of meatball. J. Food Process. Preserv. 2017, 41, e13065. [Google Scholar] [CrossRef]
- Xu, X.; Xue, T.; Jiang, Q.; Fan, D.; Wang, M.; Zhao, Y. Inhibitory effects of some hydrocolloids on the formation of Nε-(carboxymethyl) lysine and Nε-(carboxyethyl) lysine in chemical models and fish patties. LWT 2022, 162, 113431. [Google Scholar] [CrossRef]
- Wang, S.; Zheng, L.; Zheng, X.; Yang, Y.; Xiao, D.; Zhang, H.; Ai, B.; Sheng, Z. Chitosan inhibits advanced glycation end products formation in chemical models and bakery food. Food Hydrocoll. 2022, 128, 107600. [Google Scholar] [CrossRef]
- Wang, S.; Zheng, X.; Zheng, L.; Yang, Y.; Xiao, D.; Zhang, H.; Ai, B.; Sheng, Z. κ-Carrageenan inhibits the formation of advanced glycation end products in cakes: Inhibition mechanism, cake characteristics, and sensory evaluation. Food Chem. 2023, 429, 136583. [Google Scholar] [CrossRef]
- Chen, Y.; Tang, S.; Chen, Y.; Zhang, R.; Zhou, M.; Wang, C.; Feng, N.; Wu, Q. Structure-activity relationship of procyanidins on advanced glycation end products formation and corresponding mechanisms. Food Chem. 2019, 272, 679–687. [Google Scholar] [CrossRef]
- Yan, Y.; Zhou, Y.-q.; Huang, J.-j.; Wan, X.; Zeng, M.-m.; Chen, J.; Li, W.-w.; Jiang, J. Influence of soybean isolate on the formation of heterocyclic aromatic amines in roasted pork and its possible mechanism. Food Chem. 2022, 369, 130978. [Google Scholar] [CrossRef]
- Quan, W.; Li, Y.; Jiao, Y.; Xue, C.; Liu, G.; Wang, Z.; He, Z.; Qin, F.; Zeng, M.; Chen, J. Simultaneous generation of acrylamide, β-carboline heterocyclic amines and advanced glycation ends products in an aqueous Maillard reaction model system. Food Chem. 2020, 332, 127387. [Google Scholar] [CrossRef]
- Wang, Y.; Hu, H.; McClements, D.J.; Nie, S.; Shen, M.; Li, C.; Huang, Y.; Chen, J.; Zeng, M.; Xie, M. Effect of fatty acids and triglycerides on the formation of lysine-derived advanced glycation end-products in model systems exposed to frying temperature. RSC Adv. 2019, 9, 15162–15170. [Google Scholar] [CrossRef] [PubMed]
- Jiao, Y.; Quan, W.; He, Z.; Gao, D.; Qin, F.; Zeng, M.; Chen, J. Effects of Catechins on Nε-(Carboxymethyl) lysine and Nε-(Carboxyethyl) lysine Formation in Green Tea and Model Systems. J. Agric. Food Chem. 2019, 67, 1254–1260. [Google Scholar] [CrossRef] [PubMed]
- Shen, Y.; Hong, S.; Du, Z.; Chao, M.; O’Quinn, T.; Li, Y. Effect of adding modified pea protein as functional extender on the physical and sensory properties of beef patties. LWT 2022, 154, 112774. [Google Scholar] [CrossRef]
- Yang, H.; Ji, Z.; Wang, R.; Fan, D.; Zhao, Y.; Wang, M. Inhibitory effect of selected hydrocolloids on 2-amino-1-methyl-6-phenylimidazo [4, 5-b] pyridine (PhIP) formation in chemical models and beef patties. J. Hazard. Mater. 2021, 402, 123486. [Google Scholar] [CrossRef] [PubMed]
- Zhang, L.; Xia, X.; Sun, F.; Liu, H.; Chen, Q.; Kong, B. Inhibitory effects of hydrocolloids on the formation of heterocyclic aromatic amines in smoked chicken drumsticks and the underlying mechanism. Food Hydrocoll. 2022, 133, 107940. [Google Scholar] [CrossRef]
- Wong, D.; Cheng, K.-W.; Wang, M. Inhibition of heterocyclic amine formation by water-soluble vitamins in Maillard reaction model systems and beef patties. Food Chem. 2012, 133, 760–766. [Google Scholar] [CrossRef]
- Yu, H.; Zhong, Q.; Guo, Y.; Xie, Y.; Cheng, Y.; Yao, W. Potential of resveratrol in mitigating advanced glycation end-products formed in baked milk and baked yogurt. Food Res. Int. 2020, 133, 109191. [Google Scholar] [CrossRef]
- Yi, Y.; Han, M.-M.; Huang, F.; Wang, L.-M.; Min, T.; Wang, H.-X. Effects of a lysine-involved maillard reaction on the structure and in vitro activities of polysaccharides from longan pulp. Molecules 2019, 24, 972. [Google Scholar] [CrossRef]
- Yemenicioğlu, A.; Farris, S.; Turkyilmaz, M.; Gulec, S. A review of current and future food applications of natural hydrocolloids. Int. J. Food Sci. Technol. 2020, 55, 1389–1406. [Google Scholar] [CrossRef]




| PhIP (%) | MeIQx (%) | IQx (%) | 4,8-MeIQx (%) | |
|---|---|---|---|---|
| Chitosan | 54.9 ± 1.36 | 59.3 ± 1.59 | 53.8 ± 0.65 | 67.4 ± 1.30 |
| Pectin | 68.1 ± 1.02 * | 64.5 ± 1.21 * | 51.5 ± 0.84 * | 58.6 ± 1.56 |
| Harmane (%) | Norharmane (%) | CML (%) | CEL (%) | |
| Chitosan | 57.2 ± 0.61 | 54.3 ± 0.79 * | 64.5 ± 1.84 | 61.0 ± 1.76 |
| Pectin | 46.9 ± 1.69 * | 63.0 ± 1.88 | 55.0 ± 1.85 * | 61.6 ± 1.25 * |
| Group | pH | Protein (g/100g) | Cooking Loss (%) | Ash (%) | Fat (%) |
|---|---|---|---|---|---|
| Control | 5.52 ± 0.16 | 44.3 ± 1.74 | 51.3 ± 0.63 | 4.36 ± 0.07 | 3.42 ± 0.85 |
| Chitosan | 5.57 ± 0.21 | 46.7 ± 0.57 | 48.5 ± 0.81 * | 4.52 ± 0.11 | 3.06 ± 0.68 |
| Pectin | 5.79 ± 0.29 | 47.3 ± 2.56 | 47.2 ± 1.15 * | 4.28 ± 0.19 | 3.73 ± 0.64 |
| Group | Hardness (N) | Springiness (mm) | Gumminess (N) | Cohesiveness (N) | Chewiness (N) |
|---|---|---|---|---|---|
| Control | 90.1 ± 2.47 | 0.56 ± 0.03 | 37.1 ± 0.72 | 0.60 ± 0.05 | 25.8 ± 0.69 |
| Chitosan | 86.7 ± 3.38 | 0.57 ± 0.04 | 36.8 ± 0.59 | 0.65 ± 0.02 | 21.8 ± 0.56 * |
| Pectin | 87.4 ± 1.79 | 0.49 ± 0.09 | 37.9 ± 0.80 | 0.62 ± 0.09 | 21.3 ± 0.38 * |
| Group | L | a | b |
|---|---|---|---|
| Control | 40.9 ± 1.31 | 9.10 ± 0.41 | 9.10 ± 0.41 |
| Chitosan | 41.5 ± 1.64 | 10.3 ± 0.76 | 9.87 ± 0.39 |
| Pectin | 41.9 ± 1.89 | 9.60 ± 0.84 | 8.95 ± 0.56 |
Disclaimer/Publisher’s Note: The statements, opinions and data contained in all publications are solely those of the individual author(s) and contributor(s) and not of MDPI and/or the editor(s). MDPI and/or the editor(s) disclaim responsibility for any injury to people or property resulting from any ideas, methods, instructions or products referred to in the content. |
© 2023 by the authors. Licensee MDPI, Basel, Switzerland. This article is an open access article distributed under the terms and conditions of the Creative Commons Attribution (CC BY) license (https://creativecommons.org/licenses/by/4.0/).
Share and Cite
Du, H.; Huang, T.; Zeng, M.; Shen, Q.; Jiao, Y.; Quan, W. Inhibitory Effects of Some Hydrocolloids on the Formation of Advanced Glycation End Products and Heterocyclic Amines in Chemical Models and Grilled Beef Patties. Polymers 2023, 15, 3914. https://doi.org/10.3390/polym15193914
Du H, Huang T, Zeng M, Shen Q, Jiao Y, Quan W. Inhibitory Effects of Some Hydrocolloids on the Formation of Advanced Glycation End Products and Heterocyclic Amines in Chemical Models and Grilled Beef Patties. Polymers. 2023; 15(19):3914. https://doi.org/10.3390/polym15193914
Chicago/Turabian StyleDu, Hongfei, Tiantian Huang, Maomao Zeng, Qingwu Shen, Ye Jiao, and Wei Quan. 2023. "Inhibitory Effects of Some Hydrocolloids on the Formation of Advanced Glycation End Products and Heterocyclic Amines in Chemical Models and Grilled Beef Patties" Polymers 15, no. 19: 3914. https://doi.org/10.3390/polym15193914
APA StyleDu, H., Huang, T., Zeng, M., Shen, Q., Jiao, Y., & Quan, W. (2023). Inhibitory Effects of Some Hydrocolloids on the Formation of Advanced Glycation End Products and Heterocyclic Amines in Chemical Models and Grilled Beef Patties. Polymers, 15(19), 3914. https://doi.org/10.3390/polym15193914

