Characterization and Application of Non-Formaldehyde Binder Based Citric Acid, Maleic Acid, and Molasses Adhesive for Plywood Composite
Abstract
1. Introduction
2. Material and Methods
2.1. Material
2.2. Characterization of Adhesive
2.2.1. Solids Content
2.2.2. Gelation Time
2.2.3. Viscosity
2.2.4. pH Value
2.2.5. Curing Behaviors
2.3. Manufacture of Plywood
2.4. Determination of Plywood Performance
2.4.1. Density
- M is the weight of plywood (g)
- V is the volume of plywood (cm3)
2.4.2. Moisture Content (MC)
- BB is the weight of the sample before drying (g)
- BKT is the weight of the sample after drying (g)
2.4.3. Water Absorption (WA)
- B1 is the weight of the sample before soaking (g)
- B2 is the weight of the sample after soaking (g)
2.4.4. Thickness Swelling (TS)
- T1 is the thickness of the sample before soaking (mm)
- T2 is the thickness of the sample after soaking (mm)
2.4.5. Modulus of Elasticity (MOE) and Modulus of Rupture (MOR)
- P max is the maximum load (N)
- P is the load below the limit of proportion (N)
- Y is the deflection at load P (mm)
- L is the pacing distance (mm)
- b is the width of the test sample (mm)
- h is the thickness of the test sample (mm)
2.4.6. Tensile Shear Strength (TSS)
- P is the maximum load (N),
- b is the width of the specimen (mm)
- h is the distance between notches (mm)
2.5. Functional Groups Analysis
2.6. Statistical Analysis
3. Result and Discussion
3.1. Characteristics of Adhesive
3.2. Variation in Type of Non-Formaldehyde Adhesive
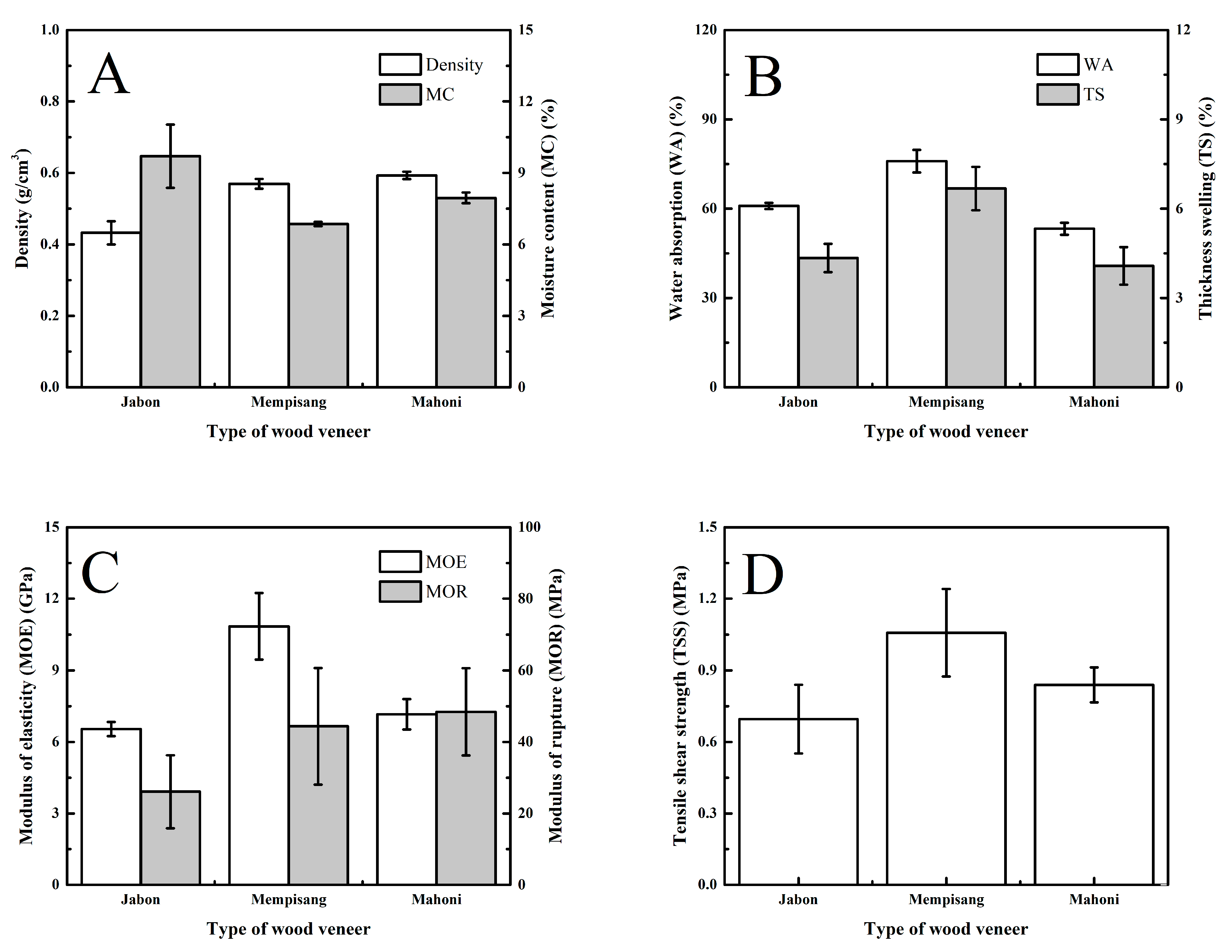
3.3. Variation of Wood Veneer
3.4. Functional Groups Analysis
4. Conclusions
Author Contributions
Funding
Institutional Review Board Statement
Informed Consent Statement
Data Availability Statement
Acknowledgments
Conflicts of Interest
References
- FAO. Forest Products Annual Market Review, 2018–2019; Food and Agriculture Organization: Rome, Italy, 2019. [Google Scholar]
- BPS. Statistics of Forestry Production; The Central Bureau of Statistics: Jakarta, Indonesia, 2019.
- Bekhta, P.; Salca, E.A. Influence of veneer densification on the shear strength and temperature behavior inside the plywood during hot press. Constr. Build. Mater. 2018, 162, 20–26. [Google Scholar] [CrossRef]
- Mangurai, S.U.N.M.; Massijaya, M.Y.; Hadi, Y.S.; Hermawan, D. The physical characteristics of oil palm trunk and fast growing species veneer for composite-plywood. IOP Conf. Ser. Earth Environ. Sci. 2018, 196, 012025. [Google Scholar] [CrossRef]
- Dunky, M. Urea–formaldehyde (UF) adhesive resins for wood. Int. J. Adhes. Adhes. 1998, 18, 95–107. [Google Scholar] [CrossRef]
- Jiang, J.; Lu, X. Improving characteristics of melamine–urea–formaldehyde resin by addition of blocked polyurethane prepolymer. Eur. J. Wood Wood Prod. 2017, 75, 185–191. [Google Scholar] [CrossRef]
- Bekhta, P.; Ortynska, G.; Sedliacik, J. Svojstva modificiranoga fenol-formaldehidnog ljepila za furnirske ploče proizvedene od furnira s visokim sadržajem vode. Drv. Ind. 2015, 65, 293–301. [Google Scholar] [CrossRef]
- Kristak, L.; Antov, P.; Bekhta, P.; Lubis, M.A.R.; Iswanto, A.H.; Reh, R.; Sedliacik, J.; Savov, V.; Taghiyari, H.R.; Papadopoulos, A.N.; et al. Recent progress in ultra-low formaldehyde emitting adhesive systems and formaldehyde scavengers in wood-based panels: A review. Wood Mater. Sci. Eng. 2022, 18, 763–782. [Google Scholar] [CrossRef]
- Böhm, M.; Salem, M.Z.M.; Srba, J. Formaldehyde emission monitoring from a variety of solid wood, plywood, blockboard and flooring products manufactured for building and furnishing materials. J. Hazard. Mater. 2012, 221–222, 68–79. [Google Scholar] [CrossRef]
- Meyer, B. Formaldehyde exposure from building products. Environ. Int. 1986, 12, 283–288. [Google Scholar] [CrossRef]
- Myers, G. Resin Hydrolysis and Mechanisms of Formaldehyde Release from Bonded Wood Products; Forest Products Laboratory: Madison, WI, USA, 1987; pp. 119–156.
- Roffael, E.; Behn, C.; Dix, B. On the formaldehyde release of wood particles. Eur. J. Wood Wood Prod. 2012, 70, 911–912. [Google Scholar] [CrossRef][Green Version]
- Réh, R.; Igaz, R.; Krišt’ák, L.; Ružiak, I.; Gajtanska, M.; Božíková, M.; Kučerka, M. Functionality of beech bark in adhesive mixtures used in plywood and its effect on the stability associated with material systems. Materials 2019, 12, 1298. [Google Scholar] [CrossRef]
- Mao, A.; Hassan, E.B.; Kim, M.G. Investigation of low mole ratio UF and UMF resins aimed at lowering the formaldehyde emission potential of wood composite boards. BioResources 2013, 8, 2453–2469. [Google Scholar] [CrossRef][Green Version]
- Barry, A.; Corneau, D. Effectiveness of barriers to minimize VOC emissions including formaldehyde. For. Prod. J. 2006, 56, 38–42. [Google Scholar]
- Wang, Z.; Zhao, S.; Kang, H.; Zhang, W.; Li, J.; Zhang, S.; Huang, A. Reduction of energy consumption of green plywood production by implementing high-efficiency thermal conductive bio-adhesive: Assessment from pilot-scaled application. J. Clean. Prod. 2019, 210, 1366–1375. [Google Scholar] [CrossRef]
- Faria, D.L.; Scatolino, M.V.; de Oliveira, J.E.; Gonçalves, F.G.; Soriano, J.; de Paula Protásio, T.; Lelis, R.C.C.; de Carvalho, L.M.H.; Mendes, L.M.; Junior, J.B.G. Cardanol-based adhesive with reduced formaldehyde emission to produce particleboards with waste from bean crops. Environ. Sci. Pollut. Res. 2023, 30, 48270–48287. [Google Scholar] [CrossRef]
- Yadav, S.M.; Lubis, M.A.R.; Wibowo, E.S.; Park, B.D. Effects of nanoclay modification with transition metal ion on the performance of urea–formaldehyde resin adhesives. Polym. Bull. 2020, 78, 2375–2388. [Google Scholar] [CrossRef]
- Nakanishi, E.Y.; Cabral, M.R.; de Souza Gonçalves, P.; dos Santos, V.; Savastano Junior, H. Formaldehyde-free particleboards using natural latex as the polymeric binder. J. Clean. Prod. 2018, 195, 1259–1269. [Google Scholar] [CrossRef]
- He, Z. Bio-Based Wood Adhesives; CRC Press: Boca Raton, FL, USA, 2017. [Google Scholar]
- Ghaffar, S.H.; Fan, M. Lignin in straw and its applications as an adhesive. Int. J. Adhes. Adhes. 2014, 48, 92–101. [Google Scholar] [CrossRef]
- Mati-Baouche, N.; Elchinger, P.H.; De Baynast, H.; Pierre, G.; Delattre, C.; Michaud, P. Chitosan as an adhesive. Eur. Polym. J. 2014, 60, 198–213. [Google Scholar] [CrossRef]
- Norström, E.; Fogelström, L.; Nordqvist, P.; Khabbaz, F.; Malmström, E. Xylan—A green binder for wood adhesives. Eur. Polym. J. 2015, 67, 483–493. [Google Scholar] [CrossRef]
- Umemura, K.; Sugihara, O.; Kawai, S. Investigation of a new natural adhesive composed of citric acid and sucrose for particleboard II: Effects of board density and pressing temperature. J. Wood Sci. 2014, 61, 40–44. [Google Scholar] [CrossRef]
- Yi, Z.; Wang, W.; Zhang, W.; Li, J. Preparation of tannin-formaldehyde-furfural resin with pretreatment of depolymerization of condensed tannin and ring opening of furfural. J. Adhes. Sci. Technol. 2016, 30, 947–959. [Google Scholar] [CrossRef]
- Zhang, H.; Liu, P.; Musa, S.M.; Mai, C.; Zhang, K. Dialdehyde cellulose as a bio-based robust adhesive for wood bonding. ACS Sustain. Chem. Eng. 2019, 7, 10452–10459. [Google Scholar] [CrossRef]
- Gumowska, A.; Robles, E.; Kowaluk, G. Evaluation of functional features of lignocellulosic particle composites containing biopolymer binders. Materials 2021, 14, 7718. [Google Scholar] [CrossRef]
- Ando, D.; Umemura, K. Chemical structures of adhesive and interphase parts in sucrose/citric acid type adhesive wood-based molding derived from japanese cedar (Cryptomeria japonica). Polymers 2021, 13, 4224. [Google Scholar] [CrossRef] [PubMed]
- Li, J.; Lei, H.; Xi, X.; Li, C.; Hou, D.; Song, J.; Du, G. A sustainable tannin-citric acid wood adhesive with favorable bonding properties and water resistance. Ind. Crops Prod. 2023, 201, 116933. [Google Scholar] [CrossRef]
- Widyorini, R.; Umemura, K.; Isnan, R.; Putra, D.R.; Awaludin, A.; Prayitno, T.A. Manufacture and Properties of Citric Acid-Bonded Particleboard Made from Bamboo Materials. Eur. J. Wood Wood Prod. 2016, 74, 57–65. [Google Scholar] [CrossRef]
- Ando, D.; Umemura, K. Bond structures between wood components and citric acid in wood-based molding. Polymers 2021, 13, 58. [Google Scholar] [CrossRef]
- Umemura, K.; Ueda, T.; Kawai, S. Characterization of wood-based molding bonded with citric acid. J. Wood Sci. 2012, 58, 38–45. [Google Scholar] [CrossRef]
- Widodo, E.; Kusumah, S.S.; Subyakto; Umemura, K. Development of moulding using sweet sorghum bagasse and citric acid: Effects of application method and citric acid content. For. Prod. J. 2020, 70, 151–157. [Google Scholar] [CrossRef]
- Sun, S.; Zhao, Z.; Umemura, K. Further exploration of sucrose-citric acid adhesive: Synthesis and application on plywood. Polymers 2019, 11, 1875. [Google Scholar] [CrossRef]
- Zhao, Z.; Sakai, S.; Wu, D.; Chen, Z.; Zhu, N.; Huang, C.; Sun, S.; Zhang, M.; Umemura, K.; Yong, Q. Further exploration of sucrose-citric acid adhesive: Investigation of optimal hot-pressing conditions for plywood and curing behavior. Polymers 2019, 11, 1996. [Google Scholar] [CrossRef]
- Li, C.; Lei, H.; Wu, Z.; Xi, X.; Du, G.; Pizzi, A. Fully Biobased Adhesive from Glucose and Citric Acid for Plywood with High Performance. ACS Appl. Mater. Interfaces 2022, 14, 23859–23867. [Google Scholar] [CrossRef] [PubMed]
- Sutiawan, J.; Hermawan, D.; Massijaya, M.Y.; Kusumah, S.S.; Lubis, M.A.R.; Marlina, R.; Purnomo, D.; Sulastiningsih, I.M. Influence of different hot-pressing conditions on the performance of eco-friendly jabon plywood bonded with citric acid adhesive. Wood Mater. Sci. Eng. 2021, 17, 400–409. [Google Scholar] [CrossRef]
- Del Menezzi, C.; Amirou, S.; Pizzi, A.; Xi, X.; Delmotte, L. Reactions with wood carbohydrates and lignin of citric acid as a bond promoter of wood veneer panels. Polymers 2018, 10, 833. [Google Scholar] [CrossRef]
- Hakim, L.; Widyorini, R.; Nugroho, W.D.; Prayitno, T.A. Performance of citric acid-bonded oriented board from modified fibrovascular bundle of salacca (Salacca zalacca (gaertn.) voss) frond. Polymers 2021, 13, 4090. [Google Scholar] [CrossRef]
- Choowang, R.; Luengchavanon, M. Oil palm trunk powder blended with citric acid directly used as wood adhesive by one step liquefaction reaction. Ind. Crops Prod. 2021, 170, 113809. [Google Scholar] [CrossRef]
- Umemura, K.; Sugihara, O.; Kawai, S. Investigation of a new natural adhesive composed of citric acid and sucrose for particleboard. J. Wood Sci. 2013, 59, 203–208. [Google Scholar] [CrossRef]
- Widyorini, R.; Yudha, A.P.; Adifandi, Y.; Umemura, K.; Kawai, S. Characteristic of bamboo particleboard bonded with citric acid. Wood Res. J. 2013, 4, 31–35. [Google Scholar] [CrossRef]
- Widyorini, R.; Nugraha, P.A.; Rahman, M.Z.A.; Prayitno, T.A. Bonding ability of a new adhesive composed of citric acid-sucrose for particleboard. BioResources 2016, 11, 4526–4535. [Google Scholar] [CrossRef]
- Widyorini, R.; Prayitno, T.A.; Puspa Yudha, A.; Setiawan, B.A.; Wicaksono, B.H. Pengaruh konsentrasi asam sitrat dan suhu pengempaan terhadap kualitas papan partikel dari pelepah nipah. Has. Penelit. J. Ilmu Kehutan. 2012, 6, 61–70. [Google Scholar] [CrossRef]
- Widyorini, R.; Umemura, K.; Soraya, D.K.; Dewi, G.K.; Nugroho, W.D. Effect of citric acid content and extractives treatment on the manufacturing process and properties of citric acid-bonded Salacca frond particleboard. BioResources 2019, 14, 4171–4180. [Google Scholar] [CrossRef]
- Syamani, F.A.; Kusumah, S.S.; Astari, L.; Prasetiyo, K.W.; Wibowo, E.S.; Subyakto. Effect of pre-drying time and citric acid content on Imperata cylindrica particleboards properties. IOP Conf. Ser. Earth Environ. Sci. 2018, 209, 012034. [Google Scholar] [CrossRef]
- Sejati, P.S.; Kusumah, S.S.; Dwianto, W.; Surjasa, D. Modification of rice biomass wastes for eco-friendly particleboard. IOP Conf. Ser. Earth Environ. Sci. 2020, 572, 012005. [Google Scholar] [CrossRef]
- Ferrandez-Garcia, M.T.; Ferrandez-Garcia, A.; Garcia-Ortuño, T.; Ferrandez-Garcia, C.E.; Ferrandez-Villena, M. Influence of particle size on the properties of boards made from Washingtonia palm rachis with citric acid. Sustainability 2020, 12, 4841. [Google Scholar] [CrossRef]
- Ferrandez-Garcia, M.T.; Ferrandez-Garcia, C.E.; Garcia-Ortuño, T.; Ferrandez-Garcia, A.; Ferrandez-Villena, M. Experimental evaluation of a new giant reed (Arundo donax L.) composite using citric acid as a natural binder. Agronomy 2019, 9, 882. [Google Scholar] [CrossRef]
- Santos, J.; Pereira, J.; Ferra, J.; Magalhães, F.D.; Martins, J.M.; Carvalho, L.H. New cardoon (Cynara cardunculus L.) particleboards using cardoon leaf extract and citric acid as bio-adhesive. Mater. Circ. Econ. 2021, 3, 1–7. [Google Scholar] [CrossRef]
- Huaxu, Z.; Hua, L.S.; Tahir, P.M.; Ashaari, Z.; Al-Edrus, S.S.O.; Ibrahim, N.A.; Abdullah, L.C.; Mohamad, S.F. Physico-mechanical and biological durability of citric acid-bonded rubberwood particleboard. Polymers 2021, 13, 98. [Google Scholar] [CrossRef]
- Sutiawan, J.; Hadi, Y.S.; Nawawi, D.S.; Abdillah, I.B.; Zulfiana, D.; Lubis, M.A.R.; Nugroho, S.; Astuti, D.; Zhao, Z.; Handayani, M.; et al. The properties of particleboard composites made from three sorghum (Sorghum bicolor) accessions using maleic acid adhesive. Chemosphere 2022, 290, 133163. [Google Scholar] [CrossRef]
- JIS A 5908-2003; Particleboards. Japanese Standards Association (JSA): Tokyo, Japan, 2003.
- Sutiawan, J.; Hermawan, D.; Hadi, Y.S.; Nawawi, D.S.; Kusumah, S.S.; Ningrum, R.S.; Amanda, P.; Ismayati, M.; Abdillah, I.B. Properties of sorghum (Sorghum bicolor) biomass particleboard at different maleic acid content and particle size as potential materials for table tennis blade. Biomass Convers. Biorefinery 2022, in press. [Google Scholar] [CrossRef]
- Sutiawan, J.; Hartono, R.; Hermawan, D.; Hadi, Y.S.; Nawawi, D.S.; Abdillah, I.B.; Syahfitri, A.; Kusumah, S.S.; Adi, D.S.; Kusumaningrum, W.B.; et al. Properties of Table Tennis Blade from Sorghum Bagasse Particleboard Bonded with Maleic Acid Adhesive at Different Pressing Temperatures and Times. Polymers 2023, 15, 166. [Google Scholar] [CrossRef]
- Syahfitri, A.; Hermawan, D.; Kusumah, S.S.; Ismadi; Lubis, M.A.R.; Widyaningrum, B.A.; Ismayati, M.; Amanda, P.; Ningrum, R.S.; Sutiawan, J. Conversion of agro-industrial wastes of sorghum bagasse and molasses into lightweight roof tile composite. Biomass Convers. Biorefinery 2022, in press. [Google Scholar] [CrossRef]
- JAS. Japanese Agricultural Standard for Plywood; JAS No. 233; Japanese Agricultural Standard Association: Tokyo, Japan, 2003.
- JAS 234-2003; Japanese Agricultural Standard for Glued Laminated Timber. Japan Plywood Inspection Corporation: Tokyo, Japan, 2003.
- Lubis, M.A.R.; Park, B.D. Modification of urea-formaldehyde resin adhesives with oxidized starch using blocked pMDI for plywood. J. Adhes. Sci. Technol. 2018, 32, 2667–2681. [Google Scholar] [CrossRef]
- Karliati, T.; Sumardi, I.; Darwis, A.; Rumidatul, A. Incorporation of phenol-formaldehyde-based black liquor as an adhesive on the performance of plywood. J. Biol. Sci. 2018, 18, 346–353. [Google Scholar] [CrossRef][Green Version]
- Supriadi, A.; Abdurachman, A. Sifat pemesinan lima jenis kayu asal riau. J. Penelit. Has. Hutan 2018, 36, 85–100. [Google Scholar] [CrossRef]
- Sulastiningsih, I.M.; Anggraini Indrawan, D.; Balfas, J. Karakteristik papan sandwich dengan inti papan partikel. J. Penelit. Has. Hutan 2020, 38, 161–172. [Google Scholar] [CrossRef]
- Liao, R.; Xu, J.; Umemura, K. Low Density Sugarcane Bagasse Particleboard Bonded and additive content. BioResources 2016, 11, 2174–2185. [Google Scholar] [CrossRef]
- Sutrisno; Alamsyah, E.M.; Sulistyawati, E.; Suheri, A. The potential use of wood waste ash nanofiller for improvement of laminated veneer lumber production made from Jabon (Anthocephalus cadamba). J. Indian Acad. Wood Sci. 2018, 15, 126–131. [Google Scholar] [CrossRef]
- Amini, M.H.M.; Hashim, R.; Sulaiman, N.S.; Mohamed, M.; Sulaiman, O. Citric acid-modified starch as an environmentally friendly binder for wood composite making. BioResources 2020, 15, 4234–4248. [Google Scholar] [CrossRef]





| Steps | Type of Adhesive | Type of Wood Veneer |
|---|---|---|
| 1 | CA | Jabon |
| MA | Jabon | |
| MO | Jabon | |
| 2 | CA | Jabon |
| CA | Mempisang | |
| CA | Mahogany |
| Type of Adhesive | Solids Content (%) | Gel Time (min) | pH | Viscosity (mPa·s) |
|---|---|---|---|---|
| CA | 56.20 | 4.6 | 2.3 | 7.3 |
| MA | 44.23 | 10.3 | 1.17 | 6.5 |
| MO | 58.8 | 5.9 | 4.79 | 152 |
| Parameter | ANOVA |
|---|---|
| MOE | 0.015 ** |
| MOR | 0.497 ns |
| TSS | 0.001 ** |
| Density | 0.084 ns |
| MC | 0.003 ** |
| WA | 0.000 ** |
| TS | 0.005 ** |
| Type of Adhesive | Density | MC | WA | TS | MOE | MOR | TSS |
|---|---|---|---|---|---|---|---|
| CA | 0.43 a | 9.70 c | 60.93 a | 4.35 a | 6.54 b | 26.06 a | 0.70 b |
| MA | 0.47 ab | 5.92 a | 93.08 b | 6.94 b | 4.66 a | 17.74 a | 0.24 a |
| MO | 0.50 b | 6.76 b | 95.39 b | 7.74 b | 4.72 a | 22.26 a | 0.15 a |
| Parameter | ANOVA |
|---|---|
| MOE | 0.002 ** |
| MOR | 0.166 ns |
| TSS | 0.051 ns |
| Density | 0.000 ** |
| MC | 0.012 ** |
| WA | 0.000 ** |
| TS | 0.004 ** |
| Type of Wood Veneer | Density | MC | WA | TS | MOE | MOR | TSS |
|---|---|---|---|---|---|---|---|
| Jabon | 0.43 a | 9.70 b | 60.93 b | 4.35 a | 6.54 a | 26.06 a | 0.70 a |
| Mempisang | 0.57 b | 6.85 a | 75.97 c | 6.68 b | 10.85 b | 44.37 a | 1.06 b |
| Mahogany | 0.59 b | 7.95 a | 53.27 a | 4.08 a | 7.16 a | 48.42 a | 0.84 ab |
Disclaimer/Publisher’s Note: The statements, opinions and data contained in all publications are solely those of the individual author(s) and contributor(s) and not of MDPI and/or the editor(s). MDPI and/or the editor(s) disclaim responsibility for any injury to people or property resulting from any ideas, methods, instructions or products referred to in the content. |
© 2023 by the authors. Licensee MDPI, Basel, Switzerland. This article is an open access article distributed under the terms and conditions of the Creative Commons Attribution (CC BY) license (https://creativecommons.org/licenses/by/4.0/).
Share and Cite
Sutiawan, J.; Syahfitri, A.; Purnomo, D.; Sudarmanto; Narto; Akbar, F.; Triwibowo, D.; Ismadi; Amanda, P.; Kusumah, S.S.; et al. Characterization and Application of Non-Formaldehyde Binder Based Citric Acid, Maleic Acid, and Molasses Adhesive for Plywood Composite. Polymers 2023, 15, 3897. https://doi.org/10.3390/polym15193897
Sutiawan J, Syahfitri A, Purnomo D, Sudarmanto, Narto, Akbar F, Triwibowo D, Ismadi, Amanda P, Kusumah SS, et al. Characterization and Application of Non-Formaldehyde Binder Based Citric Acid, Maleic Acid, and Molasses Adhesive for Plywood Composite. Polymers. 2023; 15(19):3897. https://doi.org/10.3390/polym15193897
Chicago/Turabian StyleSutiawan, Jajang, Alifah Syahfitri, Deni Purnomo, Sudarmanto, Narto, Fazhar Akbar, Dimas Triwibowo, Ismadi, Putri Amanda, Sukma Surya Kusumah, and et al. 2023. "Characterization and Application of Non-Formaldehyde Binder Based Citric Acid, Maleic Acid, and Molasses Adhesive for Plywood Composite" Polymers 15, no. 19: 3897. https://doi.org/10.3390/polym15193897
APA StyleSutiawan, J., Syahfitri, A., Purnomo, D., Sudarmanto, Narto, Akbar, F., Triwibowo, D., Ismadi, Amanda, P., Kusumah, S. S., Lubis, M. A. R., Hermawan, D., Sulastiningsih, I. M., Nuryawan, A., & Hakim, L. (2023). Characterization and Application of Non-Formaldehyde Binder Based Citric Acid, Maleic Acid, and Molasses Adhesive for Plywood Composite. Polymers, 15(19), 3897. https://doi.org/10.3390/polym15193897

