Latest Advancements in the Development of High-Performance Lignin- and Tannin-Based Non-Isocyanate Polyurethane Adhesive for Wood Composites
Abstract
:1. Introduction
2. Preparation of NIPU Resins for Wood Adhesive
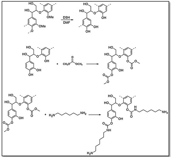
2.1. Lignin-Based NIPU Adhesives
2.2. Tannin-Based NIPU Adhesives
3. Characterization of Bio-Based NIPU Adhesive for Wood-Based Composites
- (a)
- Interaction between HDMA and the hydroxyl group of the tannin. In this chemical process, two amine groups (–NH2) of HDMA undergo a direct interaction with the hydroxyl groups (–OH) present in the tannin molecule, creating amide linkages.
- (b)
- The hydroxyl groups (–OH) of the tannin undergo chemical modification with DMC, creating carbonate groups (–C=O) on the tannin molecule. The reaction is commonly referred to as a “carbonate formation” reaction. Subsequently, the carbonated tannin can react with HDMA, resulting in the creation of urethane linkages.
4. Future Perspective
5. Conclusions
- Urethane Formation: Urethane linkages are produced in NIPU adhesives by the reaction of the polyol’s hydroxyl groups and the diamine’s amino groups. Residual hydroxyl groups in the NIPU adhesive may react further with amino groups or other functional groups present in the adhesive under heat and pressure in the hot press, resulting in an increase in molecular weight and potentially increasing the adhesive’s strength.
- Crosslinking: The development of chemical links between distinct polymer chains is referred to as crosslinking. The NIPU adhesive can undergo crosslinking reactions during the hot press cycle, either through the reaction of remaining reactive urethane groups or through secondary reactions involving additional functional groups present in the adhesive formulation, such as epoxy. Crosslinking helps to increase mechanical qualities including toughness and resistance to water and heat.
Author Contributions
Funding
Institutional Review Board Statement
Data Availability Statement
Acknowledgments
Conflicts of Interest
References
- FAO. FAO Yearbook Forest Products 2020; FAO: Rome, Italy, 2022; ISBN 978-92-5-137395-8. [Google Scholar]
- Arias, A.; Entrena-Barbero, E.; Feijoo, G.; Moreira, M.T. Sustainable Non-Isocyanate Polyurethanes Bio-Adhesives for Engineered Wood Panels Are Revealed as Promising Candidates to Move from Formaldehyde-Based Alternatives. J. Environ. Chem. Eng. 2022, 10, 107053. [Google Scholar] [CrossRef]
- Aristri, M.A.; Lubis, M.A.R.; Yadav, S.M.; Antov, P.; Papadopoulos, A.N.; Pizzi, A.; Fatriasari, W.; Ismayati, M.; Iswanto, A.H. Recent Developments in Lignin- and Tannin-Based Non-Isocyanate Polyurethane Resins for Wood Adhesives—A Review. Appl. Sci. 2021, 11, 4242. [Google Scholar] [CrossRef]
- Lubis, M.A.R.; Jeong, B.; Park, B.-D.; Lee, S.-M.; Kang, E.-C. Effect of Synthesis Method and Melamine Content of Melamine-Urea-Formaldehyde Resins on Bond-Line Features in Plywood. J. Korean Wood Sci. Technol. 2019, 47, 579–586. [Google Scholar] [CrossRef]
- Hua, L.S.; Chen, L.W.; Geng, B.J.; Kristak, L.; Antov, P.; Pędzik, M.; Rogoziński, T.; Taghiyari, H.R.; Rahandi Lubis, M.A.; Fatriasari, W.; et al. Particleboard from Agricultural Biomass and Recycled Wood Waste: A Review. J. Mater. Res. Technol. 2022, 20, 4630–4658. [Google Scholar] [CrossRef]
- Kristak, L.; Antov, P.; Bekhta, P.; Lubis, M.A.R.; Iswanto, A.H.; Reh, R.; Sedliacik, J.; Savov, V.; Taghiyari, H.R.; Papadopoulos, A.N.; et al. Recent Progress in Ultra-Low Formaldehyde Emitting Adhesive Systems and Formaldehyde Scavengers in Wood-Based Panels: A Review. Wood Mater. Sci. Eng. 2023, 18, 763–782. [Google Scholar] [CrossRef]
- Błażek, K.; Datta, J. Renewable Natural Resources as Green Alternative Substrates to Obtain Bio-Based Non-Isocyanate Polyurethanes-Review. Crit. Rev. Environ. Sci. Technol. 2019, 49, 173–211. [Google Scholar] [CrossRef]
- Sigma-Aldrich. Safety Data Sheet of Formaldehyde Solution; Sigma-Aldrich: St. Louis, MO, USA, 2023. [Google Scholar]
- Fache, M.; Darroman, E.; Besse, V.; Auvergne, R.; Caillol, S.; Boutevin, B. Vanillin, a Promising Biobased Building-Block for Monomer Synthesis. Green Chem. 2014, 16, 1987–1998. [Google Scholar] [CrossRef]
- Vieira, F.R.; Magina, S.; Evtuguin, D.V.; Barros-Timmons, A. Lignin as a Renewable Building Block for Sustainable Polyurethanes. Materials 2022, 15, 6182. [Google Scholar] [CrossRef]
- Arias, A.; González-Rodríguez, S.; Vetroni Barros, M.; Salvador, R.; De Francisco, A.C.; Moro Piekarski, C.; Moreira, M.T. Recent Developments in Bio-Based Adhesives from Renewable Natural Resources. J. Clean. Prod. 2021, 314, 127892. [Google Scholar] [CrossRef]
- Delebecq, E.; Pascault, J.-P.; Boutevin, B.; Ganachaud, F. On the Versatility of Urethane/Urea Bonds: Reversibility, Blocked Isocyanate, and Non-Isocyanate Polyurethane. Chem. Rev. 2013, 113, 80–118. [Google Scholar] [CrossRef]
- Hogör, Z.; Kayaman-Apohan, N.; Karata, S.; Mencelolu, Y.; Güngör, A. Preparation and Characterization of Phosphine Oxide Based Polyurethane/Silica Nanocomposite via Non-Isocyanate Route. Prog. Org. Coat. 2010, 69, 366–375. [Google Scholar] [CrossRef]
- Bähr, M.; Bitto, A.; Mülhaupt, R. Cyclic Limonene Dicarbonate as a New Monomer for Non-Isocyanate Oligo- and Polyurethanes (NIPU) Based upon Terpenes. Green Chem. 2012, 14, 1447–1454. [Google Scholar] [CrossRef]
- Kathalewar, M.; Sabnis, A.; Waghoo, G. Effect of Incorporation of Surface Treated Zinc Oxide on Non-Isocyanate Polyurethane Based Nano-Composite Coatings. Prog. Org. Coat. 2013, 76, 1215–1229. [Google Scholar] [CrossRef]
- Fleischer, M.; Blattmann, H.; Mülhaupt, R. Glycerol-, Pentaerythritol- and Trimethylolpropane-Based Polyurethanes and Their Cellulose Carbonate Composites Prepared via the Non-Isocyanate Route with Catalytic Carbon Dioxide Fixation. Green Chem. 2013, 15, 934–942. [Google Scholar] [CrossRef]
- Calle, M.; Lligadas, G.; Ronda, J.C.; Galià, M.; Cádiz, V. An Efficient Nonisocyanate Route to Polyurethanes via Thiol-Ene Self-Addition. J. Polym. Sci. Part A Polym. Chem. 2014, 52, 3017–3025. [Google Scholar] [CrossRef]
- Ren, G.; Sheng, X.; Qin, Y.; Chen, X.; Wang, X.; Wang, F. Toughening of Poly(Propylene Carbonate) Using Rubbery Non-Isocyanate Polyurethane: Transition from Brittle to Marginally Tough. Polymer 2014, 55, 5460–5468. [Google Scholar] [CrossRef]
- Pérez-Sena, W.Y.; Cai, X.; Kebir, N.; Vernières-Hassimi, L.; Serra, C.; Salmi, T.; Leveneur, S. Aminolysis of Cyclic-Carbonate Vegetable Oils as a Non-Isocyanate Route for the Synthesis of Polyurethane: A Kinetic and Thermal Study. Chem. Eng. J. 2018, 346, 271–280. [Google Scholar] [CrossRef]
- Desroches, M.; Benyahya, S.; Besse, V.; Auvergne, R.; Boutevin, B.; Caillol, S. Synthesis of Bio-Based Building Blocks from Vegetable Oils: A Platform Chemicals Approach. Lipid Technol. 2014, 26, 35–38. [Google Scholar] [CrossRef]
- Yang, Y.; Wang, Y.; Zhu, M.; Zhao, J.; Cai, D.; Cao, H. Valorization of Lignin for Renewable Non-Isocyanate Polyurethanes: A State-of-the-Art Review. Mater. Today Sustain. 2023, 22, 100367. [Google Scholar] [CrossRef]
- Saražin, J.; Pizzi, A.; Amirou, S.; Schmiedl, D.; Šernek, M. Organosolv Lignin for Non-Isocyanate Based Polyurethanes (Nipu) as Wood Adhesive. J. Renew. Mater. 2021, 9, 881–907. [Google Scholar] [CrossRef]
- Lee, A.; Deng, Y. Green Polyurethane from Lignin and Soybean Oil through Non-Isocyanate Reactions. Eur. Polym. J. 2015, 63, 67–73. [Google Scholar] [CrossRef]
- Saražin, J.; Poljanšek, I.; Pizzi, A.; Šernek, M. Curing Kinetics of Tannin and Lignin Biobased Adhesives Determined by DSC and ABES. J. Renew. Mater. 2022, 10, 2117–2131. [Google Scholar] [CrossRef]
- Sternberg, J.; Pilla, S. Materials for the Biorefinery: High Bio-Content, Shape Memory Kraft Lignin-Derived Non-Isocyanate Polyurethane Foams Using a Non-Toxic Protocol. Green Chem. 2020, 22, 6922–6935. [Google Scholar] [CrossRef]
- Sternberg, J.; Pilla, S.; Brandner, D.G.; Dreiling, R.J.; Ringsby, A.; Kruger, J.S.; Beckham, G.T. From Petroleum to Biobased Crude: A Thermoplastic Polyurethane from Lignin-Oil without Isocyanates. In Proceedings of the SPE ANTEC 2022 Conference, Society of Plastics Engineers: Clemson Composites Center, Greenville, SC, USA, 14–16 June 2022; Volume 2022. [Google Scholar]
- Sternberg, J.; Pilla, S. Chemical Recycling of a Lignin-Based Non-Isocyanate Polyurethane Foam. Nat. Sustain. 2023, 6, 316–324. [Google Scholar] [CrossRef]
- Najafi, S.K.; Najafi, F.; Pizzi, A.; Khorshidi, F.H.; Behrooz, R. Effect of Amine Type on Lignin Modification to Evaluate Its Reactivity in Polyol Construction for Non-Isocyanate Polyurethanes (NIPU). J. Renew. Mater. 2023, 11, 2171–2189. [Google Scholar] [CrossRef]
- Chen, X.; Xi, X.; Pizzi, A.; Fredon, E.; Zhou, X.; Li, J.; Gerardin, C.; Du, G. Preparation and Characterization of Condensed Tannin Non-Isocyanate Polyurethane (NIPU) Rigid Foams by Ambient Temperature Blowing. Polymers 2020, 12, 750. [Google Scholar] [CrossRef]
- Pizzi, A. Tannin-Based Biofoams-A Review. J. Renew. Mater. 2019, 7, 477–492. [Google Scholar] [CrossRef]
- Thébault, M.; Pizzi, A.; Santiago-Medina, F.J.J.; Al-Marzouki, F.M.M.; Abdalla, S. Isocyanate-Free Polyurethanes by Coreaction of Condensed Tannins with Aminated Tannins. J. Renew. Mater. 2017, 5, 21–29. [Google Scholar] [CrossRef]
- Aristri, M.A.; Sari, R.K.; Lubis, M.A.R.; Laksana, R.P.B.; Antov, P.; Iswanto, A.H.; Mardawati, E.; Lee, S.H.; Savov, V.; Kristak, L.; et al. Eco-Friendly Tannin-Based Non-Isocyanate Polyurethane Resins for the Modification of Ramie (Boehmeria nivea L.) Fibers. Polymers 2023, 15, 1492. [Google Scholar] [CrossRef]
- Chen, X.; Pizzi, A.; Fredon, E.; Gerardin, C.; Zhou, X.; Zhang, B.; Du, G. Low Curing Temperature Tannin-Based Non-Isocyanate Polyurethane (NIPU) Wood Adhesives: Preparation and Properties Evaluation. Int. J. Adhes. Adhes. 2022, 112, 103001. [Google Scholar] [CrossRef]
- Azadeh, E.; Chen, X.; Pizzi, A.; Gérardin, C.; Gérardin, P.; Essawy, H. Self-Blowing Non-Isocyanate Polyurethane Foams Based on Hydrolysable Tannins. J. Renew. Mater. 2022, 10, 3217–3227. [Google Scholar] [CrossRef]
- Chen, X.; Li, J.; Xi, X.; Pizzi, A.; Zhou, X.; Fredon, E.; Du, G.; Gerardin, C. Condensed Tannin-Glucose-Based NIPU Bio-Foams of Improved Fire Retardancy. Polym. Degrad. Stab. 2020, 175, 109121. [Google Scholar] [CrossRef]
- Gholami, M.; Shakeri, A.; Zolghadr, M.; Yamini, G. Non-Isocyanate Polyurethane from the Extracted Tannin of Sumac Leaves: Synthesis, Characterization, and Optimization of the Reaction Parameters. Ind. Crops Prod. 2021, 161, 113195. [Google Scholar] [CrossRef]
- Arias, A.; González-García, S.; Feijoo, G.; Moreira, M.T. Tannin-based Bio-adhesives for the Wood Panel Industry as Sustainable Alternatives to Petrochemical Resins. J. Ind. Ecol. 2022, 26, 627–642. [Google Scholar] [CrossRef]
- Tryznowski, M.; Świderska, A.; Gołofit, T.; Zołek-Tryznowska, Z. Wood Adhesive Application of Poly(Hydroxyurethane)s Synthesized with a Dimethyl Succinate-Based Amide Backbone. RSC Adv. 2017, 7, 30385–30391. [Google Scholar] [CrossRef]
- Tenorio-Alfonso, A.; Sánchez, M.C.; Franco, J.M. A Review of the Sustainable Approaches in the Production of Bio-Based Polyurethanes and Their Applications in the Adhesive Field. J. Polym. Environ. 2020, 28, 749–774. [Google Scholar] [CrossRef]
- Gomez-Lopez, A.; Grignard, B.; Calvo, I.; Detrembleur, C.; Sardon, H. Accelerating the Curing of Hybrid Poly(Hydroxy Urethane)-Epoxy Adhesives by the Thiol-Epoxy Chemistry. ACS Appl. Polym. Mater. 2022, 4, 8786–8794. [Google Scholar] [CrossRef] [PubMed]
- Hollande, L.; Allais, F. Ferulic Acid- and Sinapic Acid-Based Bisphenols: Promising Renewable and Safer Alternatives to Bisphenol a for the Production of Bio-Based Polymers and Resins. ACS Symp. Ser. 2018, 1310, 221–251. [Google Scholar]
- Xiang, J.; Yang, S.; Zhang, J.; Wu, J.; Shao, Y.; Wang, Z.; Yang, M. The Preparation of Sorbitol and Its Application in Polyurethane: A Review. Polym. Bull. 2022, 79, 2667–2684. [Google Scholar] [CrossRef]
- Tryznowski, M.; Gołofit, T.; Świderska, A. Poly(Hydroxyurethane)s with Diethyl Tartrate-Based Amide Backbone by an Isocyanate-Free Route: Use as Adhesives. Polymer 2018, 144, 1–6. [Google Scholar] [CrossRef]
- Carré, C.; Ecochard, Y.; Caillol, S.; Avérous, L. From the Synthesis of Biobased Cyclic Carbonate to Polyhydroxyurethanes: A Promising Route towards Renewable Non-Isocyanate Polyurethanes. ChemSusChem 2019, 12, 3410–3430. [Google Scholar] [CrossRef]
- Furtwengler, P.; Avérous, L. Renewable Polyols for Advanced Polyurethane Foams from Diverse Biomass Resources. Polym. Chem. 2018, 9, 4258–4287. [Google Scholar] [CrossRef]
- Gomez-Lopez, A.; Panchireddy, S.; Grignard, B.; Calvo, I.; Jerome, C.; Detrembleur, C.; Sardon, H. Poly(Hydroxyurethane) Adhesives and Coatings: State-of-the-Art and Future Directions. ACS Sustain. Chem. Eng. 2021, 9, 9541–9562. [Google Scholar] [CrossRef] [PubMed]
- Wu, Z.; Cai, W.; Chen, R.; Qu, J. Synthesis and Properties of Ambient-Curable Non-Isocyanate Polyurethanes. Prog. Org. Coatings 2018, 119, 116–122. [Google Scholar] [CrossRef]
- Nocito, F.; Bortoluzzi, M.; Aresta, M.; Dibenedetto, A. Ammonia versus Water Elimination in the Reaction of Diols with Urea under Metal Oxide Catalysis. ACS Catal. 2023, 13, 5643–5655. [Google Scholar] [CrossRef]
- Ghasemi, S.; Ghezelsofloo, M. Isocyanate-Free Urethane Vinyl Ester Resin: Preparation, Characterization and Thermal and Mechanical Properties Investigation. Chem. Pap. 2023, 77, 1165–1180. [Google Scholar] [CrossRef]
- Rodrigues, J.D.O.; Andrade, C.K.Z.; Quirino, R.L.; Sales, M.J.A. Non-Isocyanate Poly(Acyl-Urethane) Obtained from Urea and Castor (Ricinus communis L.) Oil. Prog. Org. Coat. 2022, 162, 106557. [Google Scholar] [CrossRef]
- Furtwengler, P.; Avérous, L. From D-Sorbitol to Five-Membered Bis(Cyclo-Carbonate) as a Platform Molecule for the Synthesis of Different Original Biobased Chemicals and Polymers. Sci. Rep. 2018, 8, 9134. [Google Scholar] [CrossRef]
- Bhakri, S.; Ghozali, M.; Cahyono, E.; Triwulandari, E.; Restu, W.K.; Solihat, N.N.; Iswanto, A.H.; Antov, P.; Savov, V.; Hua, L.S.; et al. Development and Characterization of Eco-Friendly Non-Isocyanate Urethane Monomer from Jatropha Curcas Oil for Wood Composite Applications. J. Renew. Mater. 2023, 11, 41–59. [Google Scholar] [CrossRef]
- Mahamat Ahmat, Y.; Kaliaguine, S. Epoxidation of Limonene and Pinenes by Dimethyldioxirane in Microemulsions. Catal. Today 2023, 407, 146–155. [Google Scholar] [CrossRef]
- Wołosz, D.; Parzuchowski, P.G. Biobased Non-Isocyanate Poly(Carbonate-Urethane)s of Exceptional Strength and Flexibility. Polymer 2022, 254, 125026. [Google Scholar] [CrossRef]
- Yu, A.Z.; Setien, R.A.; Sahouani, J.M.; Docken, J., Jr.; Webster, D.C.; Docken, J.; Webster, D.C. Catalyzed Non-Isocyanate Polyurethane (NIPU) Coatings from Bio-Based Poly(Cyclic Carbonates). J. Coatings Technol. Res. 2019, 16, 41–57. [Google Scholar] [CrossRef]
- Tryznowski, M.; Żołek-Tryznowska, Z. Surface Properties of Poly(Hydroxyurethane)s Based on Five-Membered BIS-Cyclic Carbonate of Diglycidyl Ether of Bisphenol A. Materials 2020, 13, 5184. [Google Scholar] [CrossRef] [PubMed]
- Kotanen, S.; Poikelispää, M.; Efimov, A.; Harjunalanen, T.; Mills, C.; Laaksonen, T.; Sarlin, E. Hydrolytic Stability of Polyurethane/Polyhydroxyurethane Hybrid Adhesives. Int. J. Adhes. Adhes. 2021, 110, 102950. [Google Scholar] [CrossRef]
- MacInnis, C.M.; Younes, G.R.; Marić, M. The Effect of Polyhedral Oligomeric Silsesquioxane Fillers in Non-Isocyanate Polyurethane Hybrid Resins. J. Appl. Polym. Sci. 2022, 139, e53225. [Google Scholar] [CrossRef]
- Ibarra, A.A.G.; Wrobel, K.; Escobosa, A.R.C.; Elguera, J.C.T.; Garay-Sevilla, M.E.; Wrobel, K. Determination of Putrescine, Cadaverine, Spermidine and Spermine in Different Chemical Matrices by High Performance Liquid Chromatography-Electrospray Ionization-Ion Trap Tandem Mass Spectrometry (HPLC-ESI-ITMS/MS). J. Chromatogr. B Anal. Technol. Biomed. Life Sci. 2015, 1002, 176–184. [Google Scholar] [CrossRef]
- Ghasemlou, M.; Daver, F.; Ivanova, E.P.; Adhikari, B. Bio-Based Routes to Synthesize Cyclic Carbonates and Polyamines Precursors of Non-Isocyanate Polyurethanes: A Review. Eur. Polym. J. 2019, 118, 668–684. [Google Scholar] [CrossRef]
- Zhang, T.; Xue, B.; Yan, Q.; Yuan, Y.; Tan, J.; Guan, Y.; Wen, J.; Li, X.; Zhao, W. New Kinds of Lignin/Non-Isocyanate Polyurethane Hybrid Polymers: Facile Synthesis, Smart Properties and Adhesive Applications. Ind. Crops Prod. 2023, 199, 116706. [Google Scholar] [CrossRef]
- Yang, Y.; Cao, H.; Liu, R.; Wang, Y.; Zhu, M.; Su, C.; Lv, X.; Zhao, J.; Qin, P.; Cai, D. Fabrication of Ultraviolet Resistant and Anti-Bacterial Non-Isocyanate Polyurethanes Using the Oligomers from the Reductive Catalytic Fractionated Lignin Oil. Ind. Crops Prod. 2023, 193, 116213. [Google Scholar] [CrossRef]
- Han, T.; Sophonrat, N.; Evangelopoulos, P.; Persson, H.; Yang, W.; Jönsson, P. Evolution of Sulfur during Fast Pyrolysis of Sulfonated Kraft Lignin. J. Anal. Appl. Pyrolysis 2018, 133, 162–168. [Google Scholar] [CrossRef]
- Włoch, M.; Błazek, K. Isocyanate-Free Polyurethanes. ACS Symp. Ser. 2021, 1380, 107–166. [Google Scholar]
- Sun, N.; Di, M.; Liu, Y. Lignin-Containing Polyurethane Elastomers with Enhanced Mechanical Properties via Hydrogen Bond Interactions. Int. J. Biol. Macromol. 2021, 184, 1–8. [Google Scholar] [CrossRef] [PubMed]
- Saito, T.; Perkins, J.H.; Jackson, D.C.; Trammel, N.E.; Hunt, M.A.; Naskar, A.K. Development of Lignin-Based Polyurethane. RSC Adv. 2013, 8, 21832–21840. [Google Scholar] [CrossRef]
- Santiago-Medina, F.J.; Basso, M.C.; Pizzi, A.; Delmotte, L. Polyurethanes from Kraft Lignin without Using Isocyanates. J. Renew. Mater. 2018, 6, 413–425. [Google Scholar] [CrossRef]
- El Khezraji, S.; Ben youcef, H.; Belachemi, L.; Lopez Manchado, M.A.; Verdejo, R.; Lahcini, M. Recent Progress of Non-Isocyanate Polyurethane Foam and Their Challenges. Polymers 2023, 15, 254. [Google Scholar] [CrossRef]
- Wang, Y.; Zheng, Z.; Pathak, J.L.; Feng, W.; Wu, W.; Yang, C.; Wu, L.; Zheng, H. Fabrication and Characterization of Photosensitive Non-Isocyanate Polyurethane Acrylate Resin for 3D Printing of Customized Biocompatible Orthopedic Surgical Guides. Int. J. Bioprinting 2023, 9, 80–93. [Google Scholar] [CrossRef]
- Marotta, A.; Ambrogi, V.; Mija, A. Biobased Thermosetting Materials. In Sustainability of Polymeric Materials; De Gruyter: Berlin, Germany, 2020; pp. 109–133, ISBN 9783110590586/9783110590692. [Google Scholar]
- Meng, X.; Zhang, S.; Scheidemantle, B.; Wang, Y.-Y.; Pu, Y.; Wyman, C.E.; Cai, C.M.; Ragauskas, A.J. Preparation and Characterization of Aminated Co-Solvent Enhanced Lignocellulosic Fractionation Lignin as a Renewable Building Block for the Synthesis of Non-Isocyanate Polyurethanes. Ind. Crops Prod. 2022, 178, 114579. [Google Scholar] [CrossRef]
- Mimini, V.; Amer, H.; Hettegger, H.; Bacher, M.; Gebauer, I.; Bischof, R.; Fackler, K.; Potthast, A.; Rosenau, T. Lignosulfonate-Based Polyurethane Materials via Cyclic Carbonates: Preparation and Characterization. Holzforschung 2020, 74, 203–211. [Google Scholar] [CrossRef]
- Chen, X.; Pizzi, A.; Xi, X.; Zhou, X.; Fredon, E.; Gerardin, C. Soy Protein Isolate Non-Isocyanates Polyurethanes (NIPU) Wood Adhesives. J. Renew. Mater. 2021, 9, 1045–1057. [Google Scholar] [CrossRef]
- Chen, X.; Xi, X.; Pizzi, A.; Fredon, E.; Du, G.; Gerardin, C.; Amirou, S. Oxidized Demethylated Lignin as a Bio-Based Adhesive for Wood Bonding. J. Adhes. 2020, 97, 873–890. [Google Scholar] [CrossRef]
- Pagliaro, M.; Albanese, L.; Scurria, A.; Zabini, F.; Meneguzzo, F.; Ciriminna, R. Tannin: A New Insight into a Key Product for the Bioeconomy in Forest Regions. Biofuels Bioprod. Biorefining 2021, 15, 973–979. [Google Scholar] [CrossRef]
- Aristri, M.A.; Lubis, M.A.R.; Iswanto, A.H.; Fatriasari, W.; Sari, R.K.; Antov, P.; Gajtanska, M.; Papadopoulos, A.N.; Pizzi, A. Bio-Based Polyurethane Resins Derived from Tannin: Source, Synthesis, Characterisation, and Application. Forests 2021, 12, 1516. [Google Scholar] [CrossRef]
- Chen, X.; Pizzi, A.; Essawy, H.; Fredon, E.; Gerardin, C.; Guigo, N.; Sbirrazzuoli, N. Non-Furanic Humins-Based Non-Isocyanate Polyurethane (NIPU) Thermoset Wood Adhesives. Polymers 2021, 13, 372. [Google Scholar] [CrossRef] [PubMed]
- Xi, X.; Wu, Z.; Pizzi, A.; Gerardin, C.; Lei, H.; Zhang, B.; Du, G. Non-Isocyanate Polyurethane Adhesive from Sucrose Used for Particleboard. Wood Sci. Technol. 2019, 53, 393–405. [Google Scholar] [CrossRef]
- Xi, X.; Pizzi, A.; Gerardin, C.; Lei, H.; Chen, X.; Amirou, S. Preparation and Evaluation of Glucose Based Non-Isocyanate Polyurethane Self-Blowing Rigid Foams. Polymers 2019, 11, 1802. [Google Scholar] [CrossRef]
- Xi, X.; Pizzi, A.; Delmotte, L. Isocyanate-Free Polyurethane Coatings and Adhesives from Mono- and Di-Saccharides. Polymers 2018, 10, 402. [Google Scholar] [CrossRef] [PubMed]
- Mohammadi, A.; Fatahi, A.; Abdolvand, H. Waterborne Polyurethanes/Acrylic Hybrids. In Waterborne Polyurethanes (WBPUs): Production, Chemistry and Applications; Nova Science Publishers, Inc.: Isfahan, Iran, 2023; pp. 91–114. ISBN 9798886976281. [Google Scholar]
- Brzeska, J.; Piotrowska-Kirschling, A. A Brief Introduction to the Polyurethanes According to the Principles of Green Chemistry. Processes 2021, 9, 1929. [Google Scholar] [CrossRef]
- Kollia, E.; Andreopoulou, K.; Kostopoulos, V. Development and Mechanical Characterization of a Non-Isocyanate Rigid Polyurethane Foam. In Proceedings of the 18th European Conference on Composite Materials, ECCM 2018; Applied Mechanics Laboratory: Applied Mechanics and Vibrations Laboratory, Department of Mechanical Engineering and Aeronautics. University of Patras, Patras University Campus: Patras, Greece, 2020. [Google Scholar]
- Esmaeili, N.; Zohuriaan, M.M.J.; Salimi, A.; Vafayan, M.; Meyer, W. Tannic Acid Derived Non-Isocyanate Polyurethane Networks: Synthesis, Curing Kinetics, Antioxidizing Activity and Cell Viability. Thermochim. Acta 2018, 664, 64–72. [Google Scholar] [CrossRef]
- He, X.; Xu, X.; Bo, G.; Yan, Y. Studies on the Effects of Different Multiwalled Carbon Nanotube Functionalization Techniques on the Properties of Bio-Based Hybrid Non-Isocyanate Polyurethane. RSC Adv. 2020, 10, 2180–2190. [Google Scholar] [CrossRef]
- Karami, Z.; Kabiri, K.; Zohuriaan-Mehr, M.J. Non-Isocyanate Polyurethane Thermoset Based on a Bio-Resourced Star-Shaped Epoxy Macromonomer in Comparison with a Cyclocarbonate Fossil-Based Epoxy Resin: A Preliminary Study on Thermo-Mechanical and Antibacterial Properties. J. CO2 Util. 2019, 34, 558–567. [Google Scholar] [CrossRef]
- Soni, D.K.; Maithani, A.; Kamani, P.K. Synthesis and Characterization of Non-Isocyanate Polyurethanes Using Diglycidyl Ether of Bisphenol Acetone (DGEBPA) Epoxy Resin. Asian J. Chem. 2022, 34, 2155–2160. [Google Scholar] [CrossRef]
- Pouladi, J.; Mirabedini, S.M.; Eivaz Mohammadloo, H.; Rad, N.G. Synthesis of Novel Plant Oil-Based Isocyanate-Free Urethane Coatings and Study of Their Anti-Corrosion Properties. Eur. Polym. J. 2021, 153, 110502. [Google Scholar] [CrossRef]
- Asemani, H.R.; Mannari, V. Synthesis and Evaluation of Non-Isocyanate Polyurethane Polyols for Heat-Cured Thermoset Coatings. Prog. Org. Coat. 2019, 131, 247–258. [Google Scholar] [CrossRef]
- Wang, C.; Wu, Z.; Tang, L.; Qu, J. Synthesis and Properties of Cyclic Carbonates and Non-Isocyanate Polyurethanes under Atmospheric Pressure. Prog. Org. Coatings 2019, 127, 359–365. [Google Scholar] [CrossRef]
- Bukowczan, A.; Stachak, P.; Łukaszewska, I.; Majka, T.M.; Hebda, E.; Pielichowski, K. Pyrolysis and Thermal Degradation Studies of Non-Isocyanate Polyurethanes Modified by Polyhedral Oligomeric Silsesquioxanes. Thermochim. Acta 2023, 723, 179484. [Google Scholar] [CrossRef]
- Sahmim, W.; Boer, F.D.; Chapuis, H.; Obounou-Akong, F.; Pizzi, A.; Gérardin, P.; Gérardin-Charbonnier, C. Feasibility Study of the Synthesis of Isocyanate-Free Polyurethanes from Catechin. J. Renew. Mater. 2022, 10, 1175–1184. [Google Scholar] [CrossRef]
- Babahan-Bircan, I.; Thomas, J.; Soucek, M.D. Environment-Friendly UV-Curable Alkyd-Based Non-Isocyanate Urethanes. J. Coatings Technol. Res. 2022, 19, 1507–1522. [Google Scholar] [CrossRef]
- Lubis, M.A.R.; Handika, S.O.; Sari, R.K.; Iswanto, A.H.; Antov, P.; Kristak, L.; Lee, S.H.; Pizzi, A. Modification of Ramie Fiber via Impregnation with Low Viscosity Bio-Polyurethane Resins Derived from Lignin. Polymers 2022, 14, 2165. [Google Scholar] [CrossRef]
- Handika, S.O.; Lubis, M.A.R.; Sari, R.K.; Laksana, R.P.B.; Antov, P.; Savov, V.; Gajtanska, M.; Iswanto, A.H. Enhancing Thermal and Mechanical Properties of Ramie Fiber via Impregnation by Lignin-Based Polyurethane Resin. Materials 2021, 14, 6850. [Google Scholar] [CrossRef]
- Da Silva, E.A.B.; Zabkova, M.; Araújo, J.D.; Cateto, C.A.; Barreiro, M.F.; Belgacem, M.N.; Rodrigues, A.E. An Integrated Process to Produce Vanillin and Lignin-Based Polyurethanes from Kraft Lignin. Chem. Eng. Res. Des. 2009, 87, 1276–1292. [Google Scholar] [CrossRef]
- Nacas, A.M.; Ito, N.M.; De Sousa, R.R.; Spinacé, M.A.; Dos Santos, D.J. Effects of NCO:OH Ratio on the Mechanical Properties and Chemical Structure of Kraft Lignin–Based Polyurethane Adhesive. J. Adhes. 2017, 93, 18–29. [Google Scholar] [CrossRef]
- Thébault, M.; Pizzi, A.; Essawy, H.A.; Barhoum, A.; Van Assche, G. Isocyanate Free Condensed Tannin-Based Polyurethanes. Eur. Polym. J. 2015, 67, 513–526. [Google Scholar] [CrossRef]
- Thébault, M.; Pizzi, A.; Dumarçay, S.; Gerardin, P.; Fredon, E.; Delmotte, L. Polyurethanes from Hydrolysable Tannins Obtained without Using Isocyanates. Ind. Crops Prod. 2014, 59, 329–336. [Google Scholar] [CrossRef]
- Wołosz, D. Non-Isocyanate Aliphatic–Aromatic Poly(Carbonate-Urethane)s—An Insight into Transurethanization Reactions and Structure–Property Relationships. Int. J. Mol. Sci. 2022, 23, 10999. [Google Scholar] [CrossRef]
- Wołosz, D.; Parzuchowski, P.G.; Rolińska, K. Environmentally Friendly Synthesis of Urea-Free Poly(Carbonate-Urethane) Elastomers. Macromolecules 2022, 55, 4995–5008. [Google Scholar] [CrossRef]
- Cornille, A.; Dworakowska, S.; Bogdal, D.; Boutevin, B.; Caillol, S. A New Way of Creating Cellular Polyurethane Materials: NIPU Foams. Eur. Polym. J. 2015, 66, 129–138. [Google Scholar] [CrossRef]
- Camara, F.; Benyahya, S.; Besse, V.; Boutevin, G.; Boutevin, B.; Caillol, S. Reactivity of Secondary Amines for the Synthesis of Non Isocyanate Polyurethanes. Eur. Polym. J. 2014, 55, 17–26. [Google Scholar] [CrossRef]
- Cornille, A.; Guillet, C.; Benyahia, S.; Negrell, C. Room Temperature Flexible Isocyanate-Free Polyurethane Foams. Eur. Polym. J. 2016, 84, 873–888. [Google Scholar] [CrossRef]
- Zhang, C.; Wang, H.; Zhou, Q. Waterborne Isocyanate-Free Polyurethane Epoxy Hybrid Coatings Synthesized from Sustainable Fatty Acid Diamine. Green Chem. 2020, 22, 1329–1337. [Google Scholar] [CrossRef]
- Parcheta, P.; Datta, J. Structure Analysis and Thermal Degradation Characteristics of Bio-Based Poly (propylene succinate) s Obtained by Using Different Catalyst Amounts. J. Therm. Anal. Calorim. 2017, 130, 197–206. [Google Scholar] [CrossRef]
- Schrock, A.K.; Hamilton, H.S.C.; Johnson, N.D.; Thompson, B.D.; Ulrich, K.; Coggio, W.D. Thermal Characterization and Crystallization Kinetics of Polyester Polyols Derived from Adipic Acid and Bio-Based Succinic Acid with 1, 4- Butanediol and 1, 6-Hexanediol. Polymer 2016, 101, 233–240. [Google Scholar] [CrossRef]
- Jacquel, N.; Saint-loup, R.; Pascault, J.; Rousseau, A.; Fenouillot, F. Bio-Based Alternatives in the Synthesis of Aliphatic-Aromatic Polyesters Dedicated to Biodegradable Film Applications. Polymer 2015, 59, 234–242. [Google Scholar] [CrossRef]
- Sousa, A.F.; Vilela, C.; Fonseca, A.C.; Matos, M.; Freire, C.S.R.; Gruter, G.-J.M.; Coelho, J.F.J.; Silvestre, A.J.D. Biobased Polyesters and Other Polymers from 2,5-Furandicarboxylic Acid: A Tribute to Furan Excellency. Polym. Chem. 2015, 6, 5961–5983. [Google Scholar] [CrossRef]
- Mou, Z.; Chen, E.Y. Polyesters and Poly (Ester-Urethane)s from Bio-Based Difuranic Polyols. ACS Sustain. Chem. Eng. 2016, 4, 7118–7129. [Google Scholar] [CrossRef]
- Mou, Z.; Feng, S.K.; Chen, E.Y.X. Polymer Chemistry Derived Linear and Cross-Linked Polyurethanes. Polym. Chem. 2016, 7, 1593–1602. [Google Scholar] [CrossRef]





| Properties | NIPU Adhesives | PU Adhesives |
|---|---|---|
| Physical | Lower water resistance and poor dimensional stability. | High water resistance. |
| Mechanical | High ratio of hardness to softness yields acceptable mechanical characteristics. | Superior mechanical properties. |
| Bonding | Low resistance to delamination, reduced tear resistance, low cohesion and adhesion strength. | High resistance to delamination, as well as strong adhesive and cohesion strength. |
| Chemical | Poor chemical resistance. | Greater chemical resistance. |
| Thermal | The thermal stability is improved due to the existence of aromatic bio-polyphenolic compounds. | Higher thermal stability, due to the isocyanate. |
| Renewability | Derived from renewable biomass. | Derived from non-renewable petroleum sources. |
| Toxicity | Less toxicity, due to being isocyanate free. | Carcinogenic, due to isocyanate. |
| Type of NIPU Resins | Wavenumber (cm−1) | Functional Groups | References |
|---|---|---|---|
| Lignin-based NIPU | 3400–3350 | N–H stretching | [39,91,92,93,94,95,96,97] |
| 2950–2900 | C–H stretching (CH3 and CH2) | ||
| 2860–2840 | C–H stretching (OCH3) | ||
| 1720–1600 | C=O of urethane | ||
| 1600–1595 | C=O of aromatic lignin | ||
| 1515–1500 | C–C aromatic ring | ||
| 1240–1220 | C–N of amine | ||
| 1115 | Aromatic C–H (syringol) | ||
| 1085–1030 | C–O–H aliphatic and C–O–C ether | ||
| 1030 | C-O in syringyl and guaiacyl | ||
| Tannin-based NIPU | 3500–3300 | O–H stretching vibration | [3,32,33,34,35,98] |
| 3340–3200 | N–H stretching | ||
| 2970–2850 | C–H stretching aliphatic groups | ||
| 1630–1590 | C=O of urethane | ||
| 1260–1240 | C–N of amine | ||
| 1090 | C–O–C of aliphatic |
Disclaimer/Publisher’s Note: The statements, opinions and data contained in all publications are solely those of the individual author(s) and contributor(s) and not of MDPI and/or the editor(s). MDPI and/or the editor(s) disclaim responsibility for any injury to people or property resulting from any ideas, methods, instructions or products referred to in the content. |
© 2023 by the authors. Licensee MDPI, Basel, Switzerland. This article is an open access article distributed under the terms and conditions of the Creative Commons Attribution (CC BY) license (https://creativecommons.org/licenses/by/4.0/).
Share and Cite
Iswanto, A.H.; Lubis, M.A.R.; Sutiawan, J.; Al-Edrus, S.S.O.; Lee, S.H.; Antov, P.; Kristak, L.; Reh, R.; Mardawati, E.; Santoso, A.; et al. Latest Advancements in the Development of High-Performance Lignin- and Tannin-Based Non-Isocyanate Polyurethane Adhesive for Wood Composites. Polymers 2023, 15, 3864. https://doi.org/10.3390/polym15193864
Iswanto AH, Lubis MAR, Sutiawan J, Al-Edrus SSO, Lee SH, Antov P, Kristak L, Reh R, Mardawati E, Santoso A, et al. Latest Advancements in the Development of High-Performance Lignin- and Tannin-Based Non-Isocyanate Polyurethane Adhesive for Wood Composites. Polymers. 2023; 15(19):3864. https://doi.org/10.3390/polym15193864
Chicago/Turabian StyleIswanto, Apri Heri, Muhammad Adly Rahandi Lubis, Jajang Sutiawan, Syeed Saifulazry Osman Al-Edrus, Seng Hua Lee, Petar Antov, Lubos Kristak, Roman Reh, Efri Mardawati, Adi Santoso, and et al. 2023. "Latest Advancements in the Development of High-Performance Lignin- and Tannin-Based Non-Isocyanate Polyurethane Adhesive for Wood Composites" Polymers 15, no. 19: 3864. https://doi.org/10.3390/polym15193864
APA StyleIswanto, A. H., Lubis, M. A. R., Sutiawan, J., Al-Edrus, S. S. O., Lee, S. H., Antov, P., Kristak, L., Reh, R., Mardawati, E., Santoso, A., & Kusumah, S. S. (2023). Latest Advancements in the Development of High-Performance Lignin- and Tannin-Based Non-Isocyanate Polyurethane Adhesive for Wood Composites. Polymers, 15(19), 3864. https://doi.org/10.3390/polym15193864

