Poly(3-hydroxybutyrate-co-3-hydroxyhexanoate) Bionanocomposites with Crystalline Nanocellulose and Graphene Oxide: Experimental Results and Support Vector Machine Modeling
Abstract
:1. Introduction
2. Methodology
3. Experimental Section
3.1. Materials
3.2. Nanocomposite Preparation
3.3. Characterization
4. Results and Discussion
4.1. Surface Topography of PHBHHx/CNC/GO Nanocomposites
4.2. FTIR Analysis
4.3. XRD Spectra of PHBHHx/CNC/GO Nanocomposites
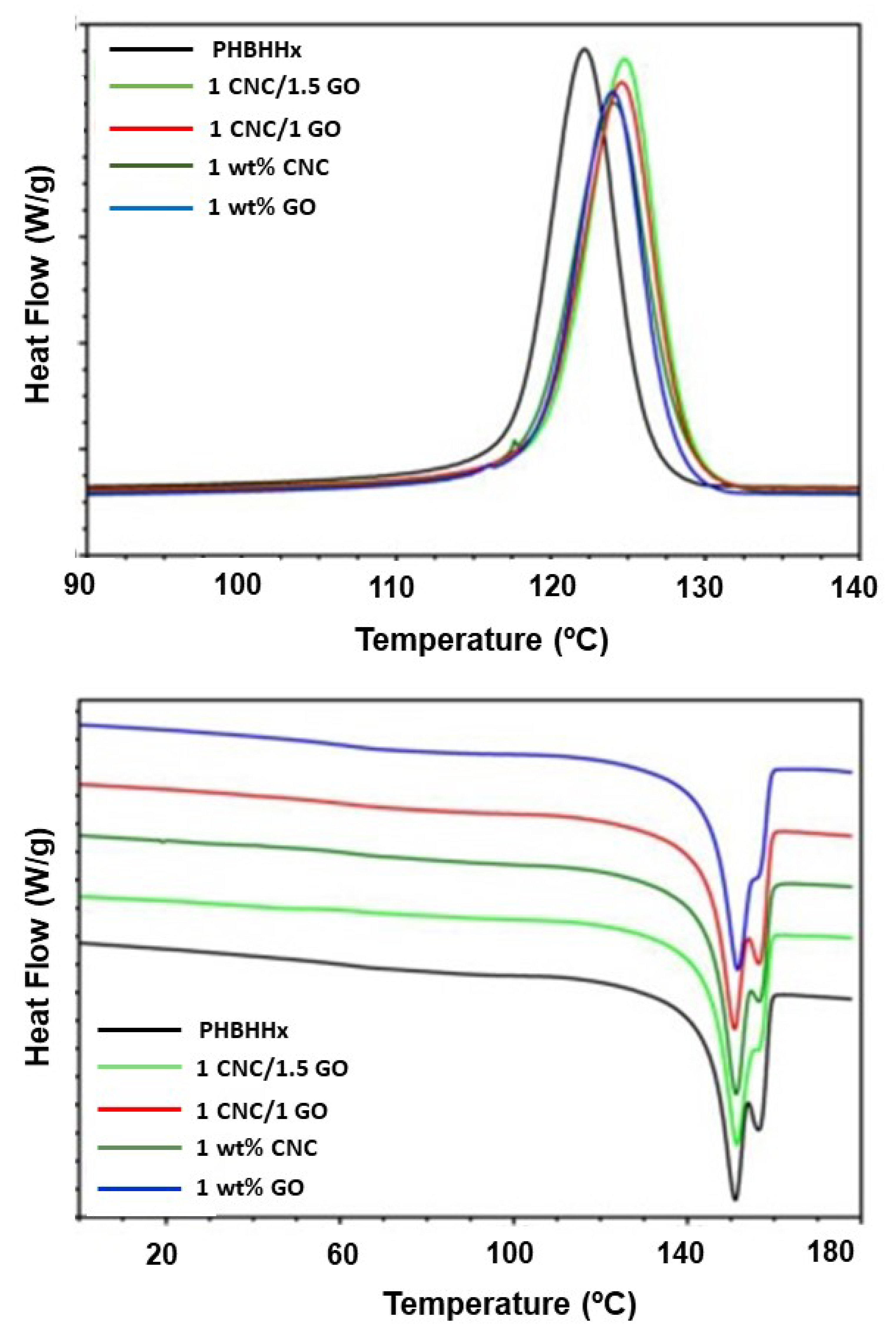
4.4. DSC Analysis of the Nanocomposites
4.5. TGA Analysis of the Nanocomposites
4.6. Tensile Properties: Experimental Results
4.7. Prediction of Mechanical Properties Using the SVM Model
5. Conclusions
Supplementary Materials
Author Contributions
Funding
Institutional Review Board Statement
Data Availability Statement
Conflicts of Interest
References
- Laycock, B.; Halley, P.; Pratt, S.; Werker, A.; Lant, P. The chemomechanical properties of microbial polyhydroxyalkanoates. Progr. Polym. Sci. 2013, 38, 536–583. [Google Scholar] [CrossRef]
- Kumar Kalita, N.; Hakkarainen, M. Integrating biodegradable polyesters in a circular economy. Curr. Opin. Green Sust. Chem. 2023, 40, 100751. [Google Scholar] [CrossRef]
- Qu, X.H.; Wu, Q.; Zhang, K.Y.; Chen, G.Q. In vivo studies of poly(3-hydroxybutyrate-co-3-hydroxyhexanoate) based polymers: Biodegradation and tissue reactions. Biomaterials 2006, 27, 3540–3548. [Google Scholar] [CrossRef] [PubMed]
- Yang, H.X.; Sun, M.; Zhang, Y.; Zhou, P. Degradable PHBHHx modified by the silk fibroin for the applications of cardiovascular tissue engineering. Mater. Sci. 2011, 2011, 389872. [Google Scholar] [CrossRef]
- You, M.; Peng, G.; Li, J.; Ma, P.; Wang, Z.; Shu, W.; Peng, S.; Chen, G.-Q. Chondrogenic differentiation of human bone marrow mesenchymal stem cells on polyhydroxyalkanoate (PHA) scaffolds coated with PHA granule binding protein PhaP fused with RGD peptide. Biomaterials 2011, 32, 2305–2313. [Google Scholar] [CrossRef]
- Vanheusden, C.; Samyn, P.; Goderis, B.; Hamid, M.; Reddy, N.; Ethirajan, A.; Peeters, R.; Buntinx, M. Extrusion and Injection Molding of Poly(3-Hydroxybutyrate-Co-3-Hydroxyhexanoate) (PHBHHx): Influence of Processing Conditions on Mechanical Properties and Microstructure. Polymers 2021, 13, 4012. [Google Scholar] [CrossRef]
- Díez-Pascual, A.M. Effect of Graphene Oxide on the Properties of Poly(3-Hydroxybutyrate-co-3-Hydroxyhexanoate). Polymers 2021, 13, 2233. [Google Scholar] [CrossRef]
- Puppi, D.; Morelli, A.; Chiellini, F. Additive Manufacturing of Poly(3-hydroxybutyrate-co-3-hydroxyhexanoate)/poly(ε-caprolactone) Blend Scaffolds for Tissue Engineering. Bioengineering 2017, 4, 49. [Google Scholar] [CrossRef]
- Zhao, Q.; Wang, S.; Kong, M.; Geng, W.; Li, R.K.; Song, C.; Kong, D. Phase Morphology, Physical Properties, and Biodegradation Behavior of Novel PLA/PHBHHx Blends. J. Biomed. Mater. Res. Part B Appl. Biomater. 2011, 100, 23–31. [Google Scholar] [CrossRef]
- Sánchez, J.A.L.; Capilla, R.P.; Díez-Pascual, A.M. High-Performance PEDOT: PSS/Hexamethylene Diisocyanate-Functionalized Graphene Oxide Nanocomposites: Preparation and Properties. Polymers 2018, 10, 1169. [Google Scholar] [CrossRef]
- Diez-Pascual, A.M.; Sainz-Urruela, C.; Vallés, C.; Vera-López, S.; San Andrés, M.P. Tailorable Synthesis of Highly Oxidized Graphene Oxides via an Environmentally-Friendly Electrochemical Process. Nanomaterials 2020, 10, 239. [Google Scholar] [CrossRef] [PubMed]
- George, J.; Sabapathi, S.N. Cellulose nanocrystals: Synthesis, functional properties, and applications. Nanotechnol. Sci. Appl. 2015, 8, 45–54. [Google Scholar] [CrossRef] [PubMed]
- Jung, B.N.; Jung, H.W.; Kang, D.; Kim, G.H.; Shim, J.K. Synergistic Effect of Cellulose Nanofiber and Nanoclay as Distributed Phase in a Polypropylene Based Nanocomposite System. Polymers 2020, 12, 2399. [Google Scholar] [CrossRef]
- Santillo, C.; Wang, Y.; Buonocore, G.G.; Gentile, G.; Verdolotti, L.; Kaciulis, S.; Xia, H.; Lavorgna, M. Hybrid Graphenene Oxide/Cellulose Nanofillers to Enhance Mechanical and Barrier Properties of Chitosan-Based Composites. Front. Chem. 2022, 10, 926364. [Google Scholar] [CrossRef]
- Kuhn, M.; Johnson, K. Applied Predictive Modeling; Springer: New York, NY, USA, 2013; pp. 141–171. [Google Scholar]
- Mammone, A.; Turchi, M.; Cristianini, N. Support vector machines. Wiley Interdiscip. Rev. Comput. Stat. 2009, 1, 283–289. [Google Scholar] [CrossRef]
- Champa-Bujaico, E.; García-Díaz, P.; Díez-Pascual, A.M. Machine Learning for Property Prediction and Optimization of Polymeric Nanocomposites: A State-of-the-Art. Int. J. Mol. Sci. 2022, 23, 10712. [Google Scholar] [CrossRef]
- Zhang, F.; O’Donnell, L.J. Chapter 7—Support vector regression. In Machine Learning; Elsevier Inc.: Amsterdam, The Netherlands, 2020; pp. 123–140. [Google Scholar]
- Noble, W.S. What is a support vector machine? Nat. Biotechnol. 2006, 24, 1565–1567. [Google Scholar] [CrossRef]
- Che, J.; Wang, J. Short-term load forecasting using a kernel-based support vector regression combination model. Appl. Energy 2014, 132, 602–609. [Google Scholar] [CrossRef]
- Rashidi, S.; Vafakhah, M.; Lafdani, E.K.; Javadi, M.R. Evaluating the support vector machine for suspended sediment load forecasting based on gamma test. Arab. J. Geosci. 2016, 9, 583. [Google Scholar] [CrossRef]
- Yu, H.; Abdalkarim, S.Y.H.; Zhang, H.; Wang, C.; Tam, K.C. Simple process to Produce High-Yield Cellulose Nanocrystals Using Recyclable Citric/Hydrochloric Acids. ACS Sustain. Chem. Eng. 2019, 7, 4912–4923. [Google Scholar] [CrossRef]
- Park, Y.; Jin, S.; Park, Y.; Kim, S.M.; Noda, I.; Chae, B.; Jung, Y.M. Studies on Chemical IR Images of Poly(hydroxybutyrate–co–hydroxyhexanoate)/Poly(ethylene glycol) Blends and Two-Dimensional Correlation Spectroscopy. Polymers 2019, 11, 507. [Google Scholar] [CrossRef] [PubMed]
- Misra, A.K.; Thakur, M.S.; Srinivas, P.; Karanth, N.G. Screening of poly-β-hydroxybutyrate-producing microorganisms using Fourier transform infrared spectroscopy. Biotechnol. Lett. 2000, 22, 1217–1219. [Google Scholar] [CrossRef]
- Kim, J.; Gupta, N.S.; Bezek, L.B.; Linn, J.; Bejagam, K.K.; Banerjee, S.; Dumont, J.H.; Nam, S.Y.; Kang, H.W.; Park, C.H.; et al. Biodegradation Studies of Polyhydroxybutyrate and Polyhydroxybutyrate-co-Polyhydroxyvalerate Films in Soil. Int. J. Mol. Sci. 2023, 24, 7638. [Google Scholar] [CrossRef] [PubMed]
- Abdalkarim, S.Y.H.; Yu, H.Y.; Wang, C. Sheet-like cellulose nanocrystal-ZnO nanohybrids as multifunctional reinforcing agents in biopolyester composite nanofibers with ultrahigh UV-Shielding and antibacterial performances. ACS Appl. Bio Mater. 2018, 1, 714–727. [Google Scholar] [CrossRef]
- Zhang, C.; Dabbs, D.M.; Liu, L.-M.; Aksay, I.A.; Car, R.; Selloni, A. Combined Effects of Functional Groups, Lattice Defects, and Edges in the Infrared Spectra of Graphene Oxide. J. Phys. Chem. C 2015, 119, 18167–18176. [Google Scholar] [CrossRef]
- Lim, J.S.; Noda, I.; Im, S.S. Effect of Hydrogen Bonding on the Crystallization Behavior of poly(3-hydroxybutyrate-co-3-hydroxyhexanoate)/Silica Hybrid Composites. Polymer 2007, 48, 2745–2754. [Google Scholar] [CrossRef]
- Liu, C.; Jia, M.; Qu, J.; Noda, I.; Chase, D.B.; Street, R.; Rabolt, J.F. Intermolecular Hydrogen Bonding Between Poly[(R)-3-Hydroxybutyrate] (PHB) and Pseudoboehmite and Its Effect on Crystallization of PHB. ACS Appl. Polym. Mater. 2020, 2, 4762–4769. [Google Scholar] [CrossRef]
- Pan, P.; Liang, Z.; Nakamura, N.; Miyagawa, T.; Inoue, Y. Uracil as Nucleating Agent for Bacterial Poly[(3-Hydroxybutyrate)-Co-(3-hydroxyhexanoate)] Copolymers. Macromol. Biosci. 2009, 9, 585–595. [Google Scholar] [CrossRef]
- Park, S.; Baker, J.O.; Himmel, M.E.; Parilla, P.A.; Johnson, D.K. Cellulose crystallinity index: Measurement techniques and their impact on interpreting cellulose performance, Biotechnol. Biofuels 2010, 3, 10. [Google Scholar] [CrossRef]
- Terinte, N.; Ibbett, R.; Schuster, K.C. Overview on native cellulose and microcrystalline cellulose I structure studied by X-ray diffraction (WAXD): Comparison between measurement techniques. Lenzing. Berichte 2011, 89, 118–131. [Google Scholar]
- Alexander, L.E. X-ray Diffraction Methods in Polymer Science, 1st ed.; Wiley-Interscience: New York, NY, USA, 1969. [Google Scholar]
- Vidhate, S.; Innocentini-Mei, L.; D’Souza, N.A. Mechanical and Electrical Multifunctional Poly(3-hydroxybutyrate-co-3-hydroxyvalerate)-Multiwall Carbon Nanotube Nanocomposites. Polym. Eng. Sci. 2012, 52, 367–1374. [Google Scholar] [CrossRef]
- Ma, P.M.; Wang, R.Y.; Wang, S.F.; Zhang, Y.; Zhang, Y.X.; Hristova, D. Effects of Fumed Silica on the Crystallization Behavior and Thermal Properties of Poly(hydroxybutyrate-co-hydroxyvalerate). J. Appl. Polym. Sci. 2008, 108, 1770–1777. [Google Scholar] [CrossRef]
- Hema, R.; Ng, P.N.; Amirul, A.A. Green Nanobiocomposite: Reinforcement Effect of Montmorillonite Clays on Physical and Biological Advancement of Various Polyhydroxyalkanoates. Polym. Bull. 2013, 70, 755–771. [Google Scholar] [CrossRef]
- Srithep, Y.; Ellingham, T.; Peng, J.; Sabo, R.; Clemons, C.; Turng, L.-S.; Pilla, S. Melt Compounding of Poly(3-hydroxybutyrate-co-3-hydroxyvalerate)/Nanofibrillated Cellulose Nanocomposites. Polym. Degrad. Stab. 2013, 98, 1439–1449. [Google Scholar] [CrossRef]
- Yu, W.; Lan, C.-H.; Wang, S.-J.; Fang, P.-F.; Sun, Y.-M. Influence of Zinc Oxide Nanoparticles on the Crystallization Behaviour of Electrospun Poly(3-hydroxybutyrate-co-3-hydroxyvalerate) Nanofibers. Polymer 2010, 51, 2403–2409. [Google Scholar] [CrossRef]
- Cheng, M.L.; Sun, Y.M.; Chen, H.; Jean, Y.C. Change of Structure and Free Volume Properties of Semi-crystalline Poly(3-hydroxybutyrate-co-3-hydroxyvalerate) During Thermal Treatments by Positron Annihilation Lifetime. Polymer 2009, 50, 1957–1964. [Google Scholar] [CrossRef]
- El Miri, N.; El Achaby, M.; Fihri, A.; Larzek, M.; Zahouily, M.; Abdelouahdi, K.; Barakat, A.; Solhy, A. Synergistic effect of cellulose nanocrystals/graphene oxide nanosheets as functional hybrid nanofiller for enhancing properties of PVA nanocomposites. Carbohydr. Polym. 2016, 137, 239–248. [Google Scholar] [CrossRef]
- Malmir, S.; Montero, B.; Rico, M. Morphology, thermal and barrier properties of biodegradable films of poly (3-hydroxybutyrate-co-3-hydroxyvalerate) containing cellulose nanocrystals. Compos. Part A 2017, 93, 41–48. [Google Scholar] [CrossRef]
- Larsson, M.; Hetherington, C.J.D.; Wallenberg, R.; Jannasch, P. Effect of hydrophobically modified graphene oxide on the properties of poly (3-hydroxybutyrate-co-4-hydroxybutyrate). Polymer 2017, 108, 66–77. [Google Scholar] [CrossRef]
- Sonebi, M.; Cevik, A.; Grünewald, S.; Walraven, J. Modelling the fresh properties of self-compacting concrete using support vector machine approach. Construct. Build. Mat. 2016, 106, 55–64. [Google Scholar] [CrossRef]
- Sanchez, V.D. Advanced support vector machines and kernel methods. Neurocomputing 2003, 55, 5–20. [Google Scholar] [CrossRef]
- Amor, N.; Noman, M.T.; Ismail, A.; Petru, M.; Sebastian, N. Use of an Artificial Neural Network for Tensile Strength Prediction of Nano Titanium Dioxide Coated Cotton. Polymers 2022, 14, 937. [Google Scholar] [CrossRef] [PubMed]
- Nazar, S.; Yang, J.; Amin, M.N.; Khan, K.; Javed, M.F.; Althoey, F. Formulation of estimation models for the compressive strength of concrete mixed with nanosilica and carbon nanotubes. Dev. Built Environ. 2023, 13, 100113. [Google Scholar] [CrossRef]









| Nanofiller Loading | Tm1/Tm2 °C | ΔHm1/ΔHm2 J/g | Tc °C | ΔHc J/g |
|---|---|---|---|---|
| 0 | 153.8/160.3 | 57.8/18.3 | 121.8 | 73.9 |
| 0.5 wt% CNC | 153.9/160.5 | 56.5/17.2 | 122.7 | 73.7 |
| 1.0 wt% CNC | 153.6/161.2 | 56.8/16.9 | 123.8 | 73.5 |
| 1.5 wt% CNC | 154.2/161.6 | 56.3/17.1 | 124.6 | 74.2 |
| 2.0 wt% CNC | 154.7/161.5 | 56.9/16.5 | 125.7 | 74.0 |
| 0.5 wt% GO | 153.6/159.7 | 56.2/18.2 | 122.9 | 73.9 |
| 1.0 wt% GO | 154.4/159.0 | 60.3/10.9 | 124.1 | 69.8 |
| 1.5 wt% GO | 154.7/161.8 | 56.5/18.3 | 124.8 | 74.5 |
| 2.0 wt% GO | 154.6/161.3 | 56.2/17.9 | 125.5 | 74.2 |
| 0.5 wt% CNC/0.5 wt% GO | 154.5/159.1 | 60.4/10.7 | 124.2 | 69.7 |
| 1 wt% CNC/1 wt% GO | 153.6/160.5 | 61.3/14.5 | 124.5 | 73.8 |
| 1 wt% CNC/1.5 wt% GO | 154.2/159.2 | 63.1/12.1 | 125.4 | 75.1 |
| 1.5 wt% CNC/1.0 wt% GO | 154.7/159.9 | 63.4/12.3 | 125.1 | 75.2 |
| 2.0 wt% CNC/0.5 wt% GO | 154.5/160.2 | 63.2/12.5 | 125.3 | 74.9 |
| 0.5 wt% CNC/2.0 wt% GO | 154.9/160.1 | 63.4/12.7 | 124.9 | 74.7 |
| Nanofiller Loading | T5% (°C) | Tonset (°C) | Tmax (°C) | R300 (%) |
|---|---|---|---|---|
| 0 | 141.9 | 204.1 | 216.3 | 2.25 |
| 0.5 wt% CNC | 148.5 | 206.5 | 220.6 | 2.28 |
| 1.0 wt% CNC | 151.2 | 208.7 | 221.5 | 2.34 |
| 1.5 wt% CNC | 154.9 | 209.7 | 222.3 | 2.54 |
| 2.0 wt% CNC | 156.7 | 209.8 | 222.9 | 2.76 |
| 0.5 wt% GO | 142.6 | 199.6 | 211.6 | 2.40 |
| 1.0 wt% GO | 146.7 | 201.7 | 218.7 | 2.52 |
| 1.5 wt% GO | 147.6 | 203.4 | 219.6 | 2.59 |
| 2.0 wt% GO | 150.0 | 205.6 | 220.5 | 2.66 |
| 0.5 wt% CNC/0.5 wt% GO | 153.5 | 209.0 | 222.1 | 2.56 |
| 1 wt% CNC/1 wt% GO | 162.5 | 211.5 | 224.0 | 2.64 |
| 1 wt% CNC/1.5 wt% GO | 168.2 | 213.7 | 226.7 | 2.82 |
| 1.5 wt% CNC/1.0 wt% GO | 165.4 | 212.4 | 225.9 | 2.68 |
| 2.0 wt% CNC/0.5 wt% GO | 169.9 | 214.5 | 228.9 | 2.95 |
| 0.5 wt% CNC/2.0 wt% GO | 166.4 | 212.9 | 226.0 | 2.88 |
| Nanofiller Loading | Tensile Modulus (GPa) | Tensile Strength (MPa) | Strain at Break (%) |
|---|---|---|---|
| 0 | 1.19 | 18.18 | 5.12 |
| 0.5 wt% CNC | 1.94 | 21.46 | 4.98 |
| 1.0 wt% CNC | 2.48 | 25.27 | 4.52 |
| 1.5 wt% CNC | 2.89 | 27.79 | 4.39 |
| 2.0 wt% CNC | 3.15 | 26.94 | 3.21 |
| 2.5 wt% CNC | 3.09 | 23.75 | 2.52 |
| 0.5 wt% GO | 2.05 | 23.48 | 3.67 |
| 1.0 wt% GO | 2.71 | 28.23 | 3.25 |
| 1.5 wt% GO | 3.26 | 31.58 | 3.07 |
| 2.0 wt% GO | 3.69 | 34.97 | 2.87 |
| 2.5 wt% GO | 3.95 | 24.78 | 2.16 |
| 0.5 wt% CNC/0.5 wt% GO | 2.33 | 26.15 | 4.14 |
| 0.5 wt% CNC/1.0 wt% GO | 3.02 | 29.61 | 3.73 |
| 0.5 wt% CNC/1.5 wt% GO | 3.42 | 35.00 | 3.44 |
| 0.5 wt% CNC/2.0 wt% GO | 4.05 | 23.12 | 2.47 |
| 1.0 wt% CNC/0.5 wt% GO | 2.67 | 28.48 | 3.03 |
| 1.0 wt% CNC/1.0 wt% GO | 4.79 | 41.12 | 3.19 |
| 1.0 wt% CNC/1.5 wt% GO | 4.98 | 43.57 | 3.26 |
| 1.0 wt% CNC/2.0 wt% GO | 3.30 | 36.63 | 2.67 |
| 1.5 wt% CNC/0.5 wt% GO | 4.23 | 32.36 | 2.59 |
| 2.0 wt% CNC/0.5 wt% GO | 3.51 | 25.47 | 2.23 |
| 1.5 wt% CNC/1.0 wt% GO | 4.25 | 35.74 | 3.56 |
| Property | C | Epsilon | R2 Training | R2 Test |
|---|---|---|---|---|
| Tensile modulus | 6 | 0.03 | 0.922 | 0.742 |
| Tensile modulus | 8 | 0.03 | 0.935 | 0.723 |
| Tensile modulus | 10 | 0.05 | 0.938 | 0.709 |
| Tensile modulus | 10 | 0.08 | 0.941 | 0.703 |
| Tensile strength | 40 | 0.4 | 0.881 | 0.792 |
| Tensile strength | 40 | 0.7 | 0.881 | 0.786 |
| Tensile strength | 30 | 0.6 | 0.706 | 0.938 |
| Tensile strength | 50 | 0.6 | 0.909 | 0.751 |
| Elongation at break | 300 | 0.1 | 0.982 | 0.818 |
| Elongation at break | 400 | 0.1 | 0.982 | 0.818 |
| Elongation at break | 100 | 0.06 | 0.993 | 0.812 |
| Elongation at break | 100 | 0.08 | 0.988 | 0.821 |
| Property | R2 Training | R2 Test | MSE | MAE |
|---|---|---|---|---|
| Tensile modulus | 0.935 | 0.723 | 0.1932 | 0.3677 |
| Tensile strength | 0.881 | 0.792 | 0.8149 | 1.2001 |
| Elongation at break | 0.982 | 0.818 | 0.1568 | 0.2781 |
Disclaimer/Publisher’s Note: The statements, opinions and data contained in all publications are solely those of the individual author(s) and contributor(s) and not of MDPI and/or the editor(s). MDPI and/or the editor(s) disclaim responsibility for any injury to people or property resulting from any ideas, methods, instructions or products referred to in the content. |
© 2023 by the authors. Licensee MDPI, Basel, Switzerland. This article is an open access article distributed under the terms and conditions of the Creative Commons Attribution (CC BY) license (https://creativecommons.org/licenses/by/4.0/).
Share and Cite
Champa-Bujaico, E.; Díez-Pascual, A.M.; Garcia-Diaz, P. Poly(3-hydroxybutyrate-co-3-hydroxyhexanoate) Bionanocomposites with Crystalline Nanocellulose and Graphene Oxide: Experimental Results and Support Vector Machine Modeling. Polymers 2023, 15, 3746. https://doi.org/10.3390/polym15183746
Champa-Bujaico E, Díez-Pascual AM, Garcia-Diaz P. Poly(3-hydroxybutyrate-co-3-hydroxyhexanoate) Bionanocomposites with Crystalline Nanocellulose and Graphene Oxide: Experimental Results and Support Vector Machine Modeling. Polymers. 2023; 15(18):3746. https://doi.org/10.3390/polym15183746
Chicago/Turabian StyleChampa-Bujaico, Elizabeth, Ana M. Díez-Pascual, and Pilar Garcia-Diaz. 2023. "Poly(3-hydroxybutyrate-co-3-hydroxyhexanoate) Bionanocomposites with Crystalline Nanocellulose and Graphene Oxide: Experimental Results and Support Vector Machine Modeling" Polymers 15, no. 18: 3746. https://doi.org/10.3390/polym15183746
APA StyleChampa-Bujaico, E., Díez-Pascual, A. M., & Garcia-Diaz, P. (2023). Poly(3-hydroxybutyrate-co-3-hydroxyhexanoate) Bionanocomposites with Crystalline Nanocellulose and Graphene Oxide: Experimental Results and Support Vector Machine Modeling. Polymers, 15(18), 3746. https://doi.org/10.3390/polym15183746

