Non-Conjugated Poly(Diphenylene Phthalide)—New Electroactive Material
Abstract
1. Introduction
2. Materials and Methods
2.1. Polydiphenylenephthalide
2.2. Samples
2.2.1. Preparation of the Multilayer Structure
2.2.2. Selection of Metals for Electrodes
2.2.3. Characterization of Thin Films Using the AFM Method
2.3. Methods of Measurement and Analysis of the Results Obtained
2.3.1. Current-Voltage Measurement
2.3.2. Humidity Measurements
3. Results
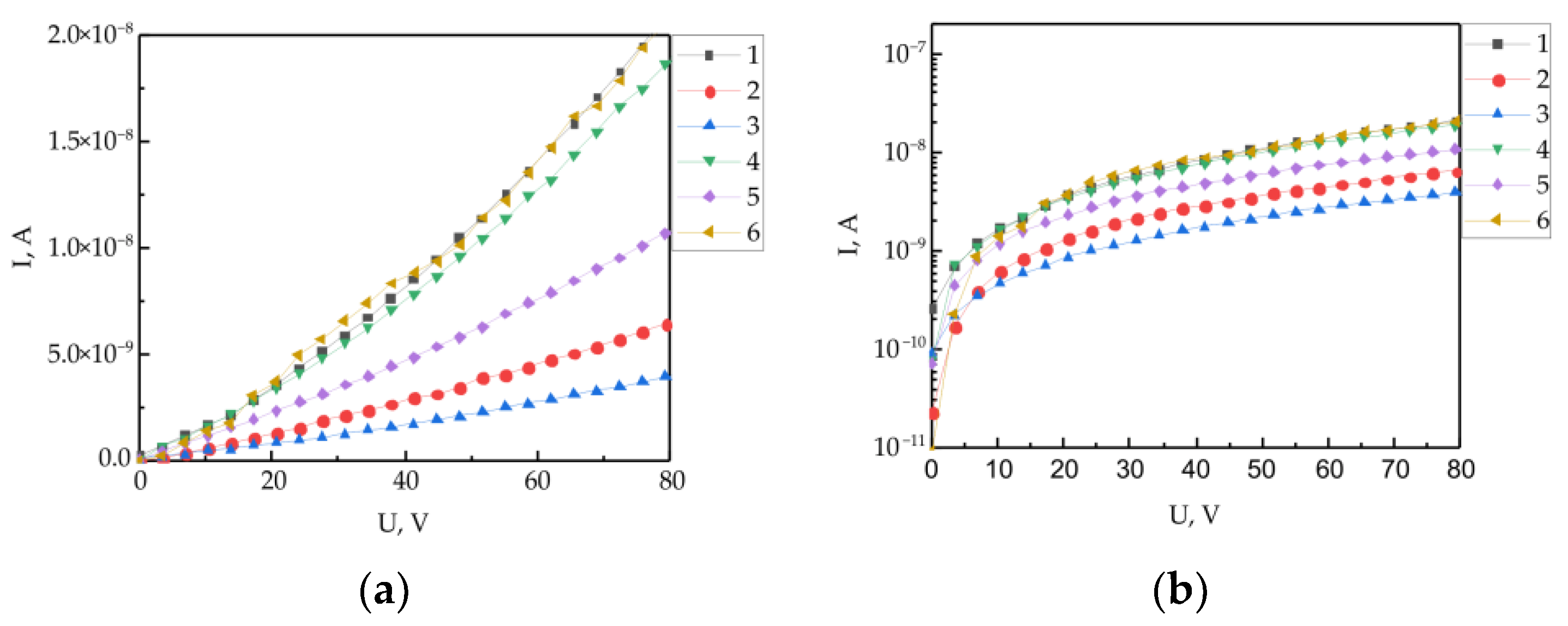
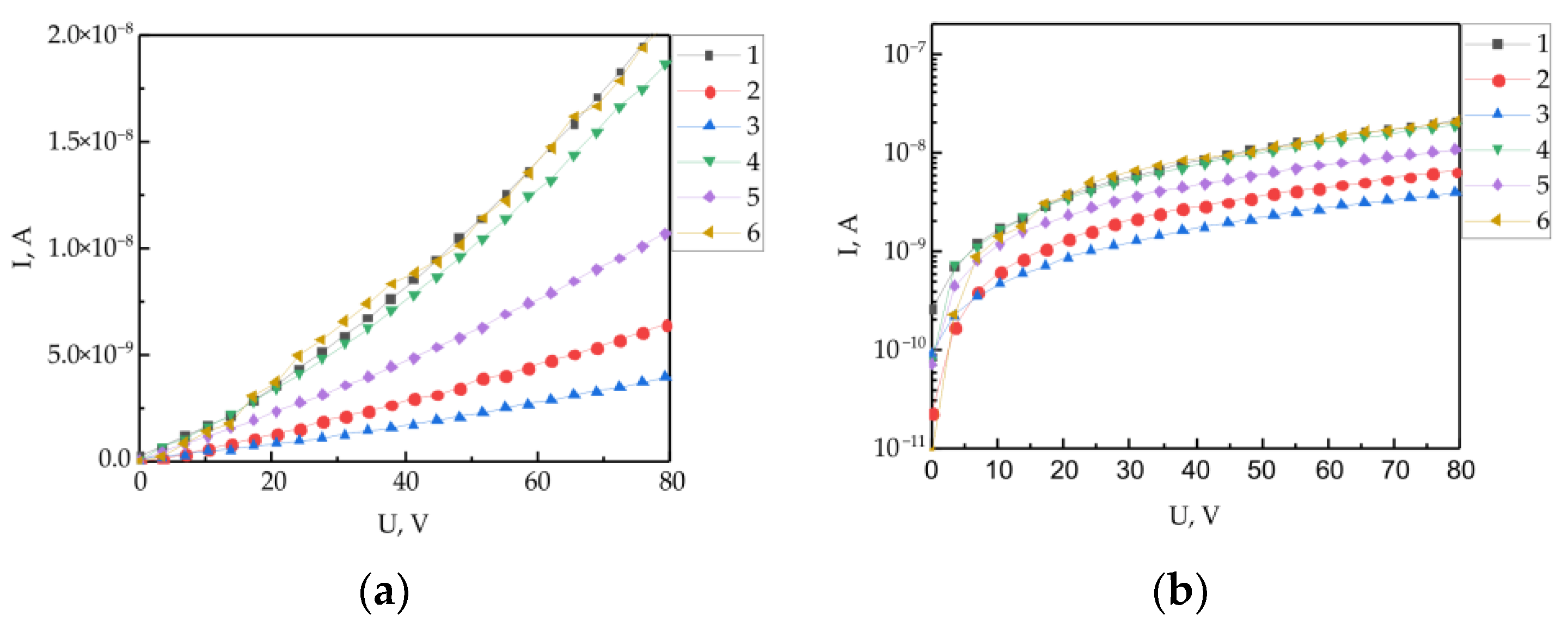
3.1. Polymer/Polymer Interface Properties
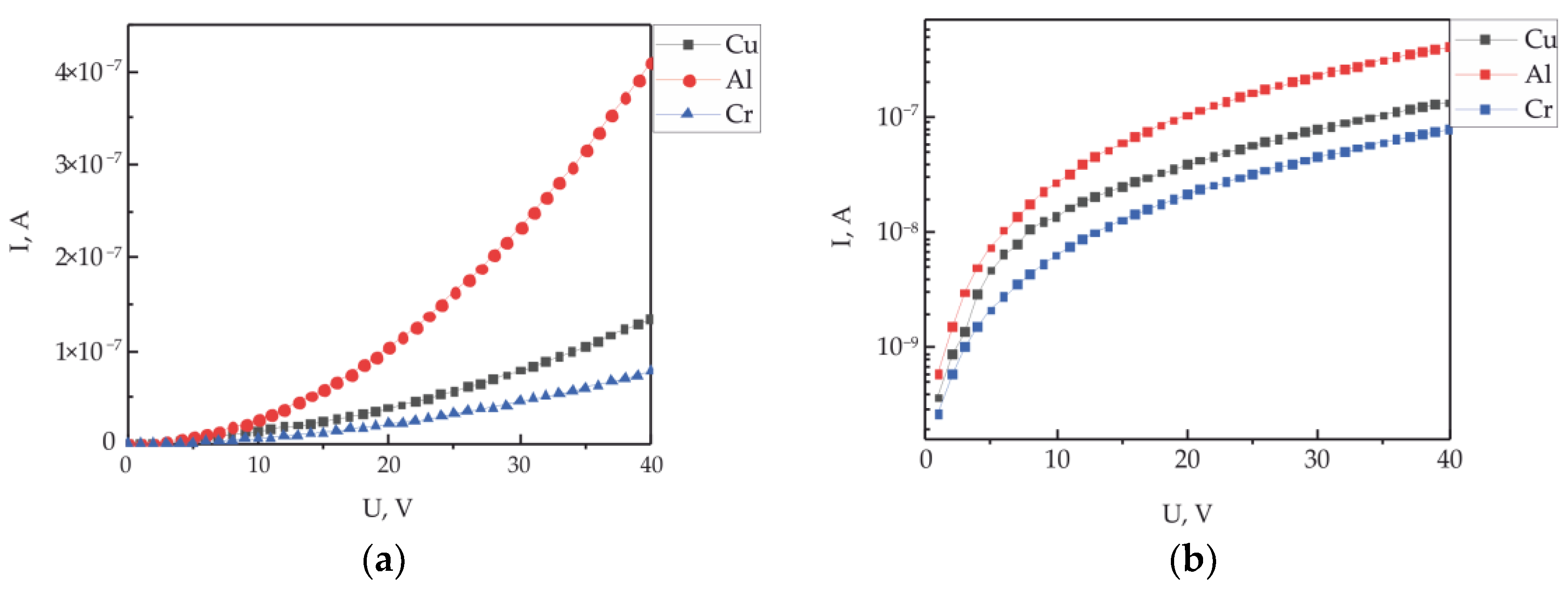
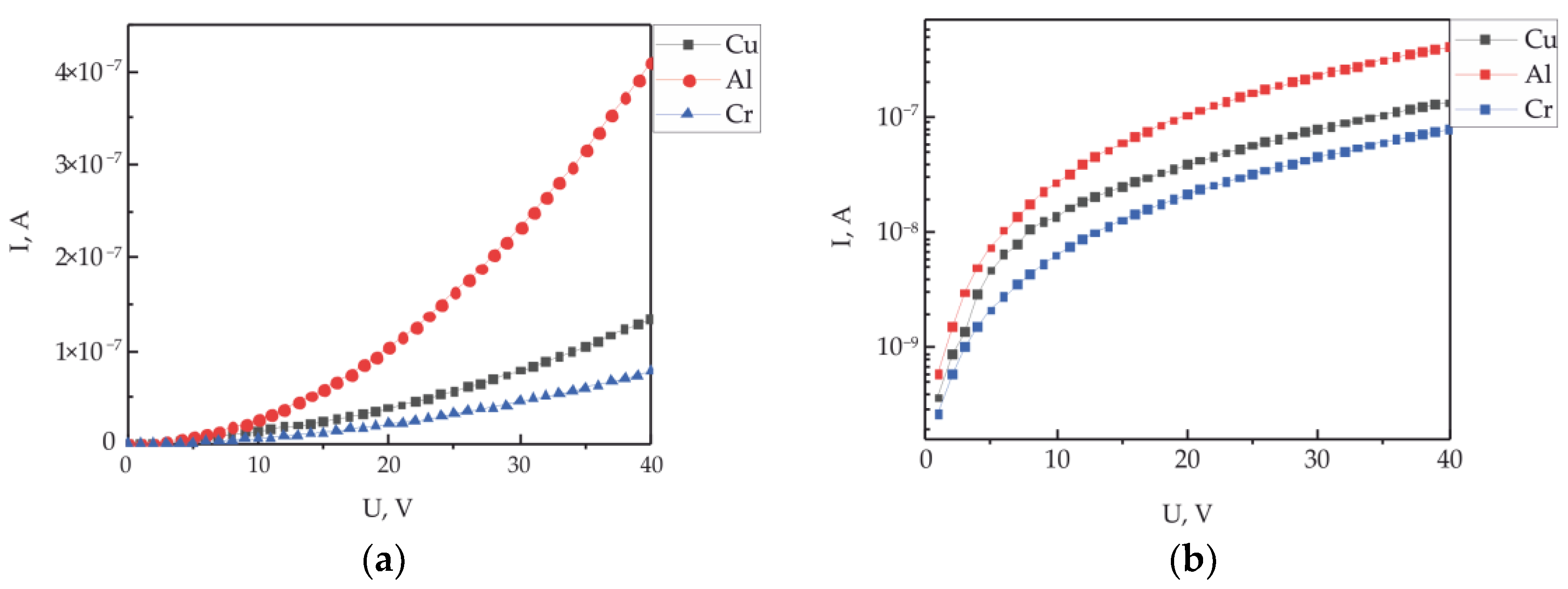
3.2. Influence of the Electrode Material
3.3. Influence of Humidity on the Conductivity and Electronic Parameters of an Experimental Structure
3.4. The Effect of the Electrode Material Work Function on the Sensitivity of Electronic Parameters along the Polymer/Polymer Interface at Different Humidities
4. Conclusions
Author Contributions
Funding
Institutional Review Board Statement
Data Availability Statement
Acknowledgments
Conflicts of Interest
References
- Lüth, H. Solid Surfaces, Interfaces and Thin Films, 6th ed.; Springer: Cham, Switzerland, 2015; 589p. [Google Scholar] [CrossRef]
- Shockley, W. On the surface states associated with a periodic potential. Phys. Rev. 1939, 56, 317–323. [Google Scholar] [CrossRef]
- Roccaforte, F.; Giannazzo, F.; Iucolano, F.; Eriksson, J.; Weng, M.H.; Raineri, V. Surface and interface issues in wide band gap semiconductor electronics. Appl. Surf. Sci. 2010, 256, 5727–5735. [Google Scholar] [CrossRef]
- Schmidt, H.; Giustiniano, F.; Eda, G. Electronic transport properties of transition metal dichalcogenide field-effect devices: Surface and interface effects. Chem. Soc. Rev. 2015, 44, 7715–7736. [Google Scholar] [CrossRef]
- Mönch, W. Semiconductor Surfaces and Interfaces; Springer: Berlin/Heidelberg, Germany, 2013; Volume 26, 548p. [Google Scholar] [CrossRef]
- Fahlman, M.; Fabiano, S.; Gueskine, V.; Simon, D.; Berggren, M.; Crispin, X. Interfaces in organic electronics. Nat. Rev. Mater. 2019, 4, 627–650. [Google Scholar] [CrossRef]
- Chen, H.; Zhang, W.; Li, M.; He, G.; Guo, X. Interface engineering in organic field-effect transistors: Principles, applications, and perspectives. Chem. Rev. 2020, 120, 2879–2949. [Google Scholar] [CrossRef]
- Wang, Q.; Yang, J.; Gerlach, A.; Schreiber, F.; Duhm, S. Advanced characterization of organic–metal and organic–organic interfaces: From photoelectron spectroscopy data to energy-level diagrams. J. Phys. Mater. 2022, 5, 044010. [Google Scholar] [CrossRef]
- Li, P.; Lu, Z.H. Interface Engineering in Organic Electronics: Energy-Level Alignment and Charge Transport. Small Sci. 2021, 1, 2000015. [Google Scholar] [CrossRef]
- Zou, S.J.; Shen, Y.; Xie, F.M.; Chen, J.D.; Li, Y.Q.; Tang, J.X. Recent advances in organic light-emitting diodes: Toward smart lighting and displays. Mater. Chem. Front. 2020, 4, 788–820. [Google Scholar] [CrossRef]
- Siouda, M.; Dujardin, A.D.; Barbollat-Boutrand, L.; Mendoza-Parra, M.A.; Gibert, B.; Ouzounova, M.; Bouaoud, J.; Tonon, L.; Robert, M.; Foy, J.-P. CDYL2 epigenetically regulates MIR124 to control NF-κB/STAT3-dependent breast cancer cell plasticity. iScience 2020, 23, 101141. [Google Scholar] [CrossRef]
- Varley, J.B.; Shen, B.; Higashiwaki, M. Wide bandgap semiconductor materials and devices. J. Appl. Phys. 2022, 131, 230401. [Google Scholar] [CrossRef]
- Ohtomo, A.; Hwang, H. A high-mobility electron gas at the LaAlO3/SrTiO3 heterointerface. Nature 2004, 427, 423–426. [Google Scholar] [CrossRef]
- Pavlov, D.P.; Garif’yanov, N.N.; Leontyev, A.V.; Zharkov, D.K.; Kabanov, V.V.; Mamin, R.F. Quasi-two-dimensional electron system at the interface between antiferromagnet LaMnO3 and ferroelectric Ba0.8Sr0.2TiO3. Ferroelectrics 2019, 542, 1–6. [Google Scholar] [CrossRef]
- Mamin, R.F.; Piyanzina, I.I.; Pavlov, D.P.; Kabanov, V.V. Fabrication quasi-two-dimensional conducting area and superconductivity at the ferroelectric/dielectric interfaces. Ferroelectrics 2020, 567, 113–120. [Google Scholar] [CrossRef]
- Alves, H.; Molinari, A.S.; Xie, H.; Morpurgo, A.F. Metallic conduction at organic charge-transfer interfaces. Nat. Mater. 2008, 7, 574–580. [Google Scholar] [CrossRef]
- Gadiev, R.M.; Lachinov, A.; Kornilov, V.M.; Salikhov, R.B.; Rakhmeev, R.G.; Yusupov, A.R. Anomalously high conductivity along the interface of two dielectric polymers. JETP Lett. 2010, 90, 726–730. [Google Scholar] [CrossRef]
- Xue, J.; Wang, R.; Yang, Y. The surface of halide perovskites from nano to bulk. Nat. Rev. Mater. 2020, 5, 809–827. [Google Scholar] [CrossRef]
- Waas, D.; Rückerl, F.; Knupfer, M. Charge transfer at the interface between MnPC and F6TCNNQ. Phys. Status Solidi B 2019, 256, 1800245. [Google Scholar] [CrossRef]
- Filip, M.R.; Qiu, D.Y.; Del Ben, M.; Neaton, J.B. Screening of excitons by organic cations in quasi-two-dimensional organic–inorganic lead-halide perovskites. Nano Lett. 2022, 22, 4870–4878. [Google Scholar] [CrossRef] [PubMed]
- Yusupov, A.R.; Gadiev, R.M.; Lachinov, A.N.; Kornilov, V.M.; Kalimullina, L.R.; Galiev, A.F.; Kian, M.; Salazkin, S.N. Effect of polymer structure on the transport properties along the polymer/polymer interface. Synth. Met. 2021, 274, 116733. [Google Scholar] [CrossRef]
- Lachinov, A.N.; Karamov, D.D.; Galiev, A.F.; Lachinov, A.A.; Yusupov, A.R.; Shaposhnikova, V.V.; Salazkin, S.N.; Chebotareva, A.B. The Effect of Local Doping of the Polymer–Polymer Interface Using Cu2O Particles. Appl. Sci. 2023, 13, 3684. [Google Scholar] [CrossRef]
- Naito, T. Modern History of Organic Conductors: An Overview. Crystals 2021, 11, 838. [Google Scholar] [CrossRef]
- Xu, K.; Sun, H.; Ruoko, T.-P.; Wang, G.; Kroon, R.; Kolhe, N.B.; Puttisong, Y.; Liu, X.; Fazzi, D.; Shibata, K.; et al. Ground-state electron transfer in all-polymer donor–acceptor heterojunctions. Nat. Mater. 2020, 19, 738–744. [Google Scholar] [CrossRef] [PubMed]
- Kasuya, N.; Tsurumi, J.; Okamoto, T.; Watanabe, S.; Takeya, J. Two-dimensional hole gas in organic semiconductors. Nat. Mater. 2021, 20, 1401–1406. [Google Scholar] [CrossRef] [PubMed]
- Ren, S.; Yassar, A. Recent Research Progress in Indophenine-Based-Functional Materials: Design, Synthesis, and Optoelectronic Applications. Materials 2023, 16, 2474. [Google Scholar] [CrossRef]
- Al-Azzawi, A.G.S.; Aziz, S.B.; Dannoun, E.M.A.; Iraqi, A.; Nofal, M.M.; Murad, A.R.; Hussein, A. A Mini Review on the Development of Conjugated Polymers: Steps towards the Commercialization of Organic Solar Cells. Polymers 2023, 15, 164. [Google Scholar] [CrossRef]
- Wang, P.; Yang, J.; Zhang, Y.; Hu, W.; Dong, H. Near-Amorphous Conjugated Polymers: An Emerging Class of Semiconductors for Flexible Electronics. ACS Mater. Lett. 2022, 4, 1112–1123. [Google Scholar] [CrossRef]
- Tran, V.V. Conjugated Polymers-Based Biosensors for Virus Detection: Lessons from COVID-19. Biosensors 2022, 12, 748. [Google Scholar] [CrossRef]
- Liu, C.; Shao, L.; Chen, S.; Hu, Z.; Cai, H.; Huang, F. Recent Progress in π-Conjugated Polymers for Organic Photovoltaics: Solar Cells and Photodetectors. Prog. Polym. Sci. 2023, 143, 101711. [Google Scholar] [CrossRef]
- Gross, S.; Camozzo, D.; Di Noto, V.; Armelao, L.; Tondello, E. PMMA: A key macromolecular component for dielectric low-κ hybrid inorganic–organic polymer films. Eur. Polym. J. 2007, 43, 673–696. [Google Scholar] [CrossRef]
- Wu, X.; Chen, X.; Zhang, Q.M.; Tan, D.Q. Advanced dielectric polymers for energy storage. Energy Storage Mater. 2022, 44, 29–47. [Google Scholar] [CrossRef]
- Kausar, A.; Ahmad, I.; Maaza, M.; Eisa, M.H.; Bocchetta, P. Cutting-edge green polymer/nanocarbon nanocomposite for supercapacitor—State-of-the-Art. J. Compos. Sci. 2022, 6, 376. [Google Scholar] [CrossRef]
- Garlapati, S.K.; Faraji, S.; Tate, D.; Rahmanudin, A.; Valliappan, P.; Patti, A.; Persaud, K.; Turner, M. Detection of Volatile Organic Compounds Using Solution Processed Organic Field-Effect Transistors; Pandey, A.K., Pal, P., Nagahanumaiah, Zentner, L., Eds.; Microactuators, Microsensors and Micromechanisms MAMM 2022 Mechanisms and Machine Science; Springer: Cham, Switzerland, 2023; Volume 126, pp. 310–322. [Google Scholar] [CrossRef]
- Fernandes, E.G.R.; Faria, H.A.M.; Vieira, N.C.S. Field-Effect Transistors for Biomedical Applications; Crespilho, F.N., Ed.; Advances in Bioelectrochemistry; Springer: Cham, Switzerland, 2022; Volume 3, pp. 1–30. [Google Scholar] [CrossRef]
- Salazkin, S.N. Aromatic polymers based on pseudoacid chlorides. Polym. Sci. Ser. B 2004, 46, 203–223. [Google Scholar]
- Salazkin, S.N.; Shaposhnikova, V.V. Synthesis and Behavior of Phthalide-Containing Polymers; Zaikov, G.E., Bazylyak, L.I., Aneli, J.N., Eds.; Polymers for Advanced Technologies; Apple Academic Press, Inc.: Burlington, ON, Canada, 2013; pp. 155–174. [Google Scholar]
- Zykov, B.G.; Vasil’ev, Y.V.; Fal’ko, V.S.; Lachinov, A.N.; Khvostenko, V.I.; Gileva, N.G. Resonant capture of low-energy electrons by molecules of phthalide derivatives. JETP Lett. 1996, 64, 439–443. [Google Scholar] [CrossRef]
- Wu, C.R.; Lachinov, A.; Johansson, N.; Stafström, S.; Kugler, T.; Rasmusson, J.; Salaneck, W.R. Some chemical and electronic structures of the non-conjugated polymer poly (3, 3′-phthalidylidene-4, 4′-biphenylene). Synth. Met. 1994, 67, 125–128. [Google Scholar] [CrossRef]
- Kukhta, A.; Kukhta, I.; Salazkin, S. Polydiphenylenephthalide: Optical spectroscopy and DFT calculations. Mater. Sci. 2011, 17, 266–270. [Google Scholar] [CrossRef]
- Shishlov, N.M.; Khursan, S.L. Electron traps in poly (diphenylene phthalide) and poly (diphenylene sulfophthalide). Experimental manifestations and quantum chemical analysis. Russ. Chem. Bull. 2015, 64, 766–790. [Google Scholar] [CrossRef]
- Lachinov, A.N.; Kornilov, V.M.; Zagurenko, T.G.; Zherebov, A.Y. On the high conductivity of nonconjugated polymers. J. Exp. Theor. Phys. 2006, 102, 640–645. [Google Scholar] [CrossRef]
- Nakaryakov, A.S.; Lachinov, A.N.; Ponomarev, A.F.; Tseplin, E.E.; Antipin, V.A. Evaluation of the energy distribution of trap states in polymer films. Phys. Solid State 2011, 53, 2525–2531. [Google Scholar] [CrossRef]
- Lutsyk, P.; Janus, K.; Sworakowski, J.; Kochalska, A.; Nešpůrek, S. Kinetic study of light-driven processes in photochromic dye-doped polymers used as gate insulators in photoswitchable organic field effect transistors. Chem. Phys. 2012, 404, 22–27. [Google Scholar] [CrossRef]
- Nakaryakov, A.S.; Antipin, V.A.; Lachinov, A.N.; Mamykin, D.A.; Ponomarev, A.F. Estimation of trap depth in poly(diphenylene phthalide) films by thermally stimulated luminescence. High Energy Chem. 2012, 46, 381–382. [Google Scholar] [CrossRef]
- Lachinov, A.N.; Ilyasov, V.H.; Ponomarev, A.F. The mechanisms of thermally stimulated depolarization in poly (diphenylene phthalide). Russ. J. Phys. Chem. B 2009, 3, 667–671. [Google Scholar] [CrossRef]
- Nikitenko, V.R. Non-Stationary Processes of Transfer and Recombination of Charge Carriers in Thin Layers of Organic Materials; NIYaU MIFI: Moscow, Russia, 2011; Chapter 7; p. 316. (In Russian) [Google Scholar]
- Sworakowski, J.; Lipiński, J.; Janus, K. On the reliability of determination of energies of HOMO and LUMO levels in organic semiconductors from electrochemical measurements. A simple picture based on the electrostatic model. Org. Electron. 2016, 33, 300–310. [Google Scholar] [CrossRef]
- Galiev, A.F.; Lachinov, A.A.; Karamov, D.D.; Lachinov, A.N.; Yusupov, A.R.; Kian, M.F. Effect of the Electrode Material on Electronic Switching in a Metal–Polymer–Metal Structure. J. Surf. Investig. X-ray Synchrotron Neutron Tech. 2021, 15, 601–606. [Google Scholar] [CrossRef]
- Fomenko, V.S. Emission Properties of Materials, 3rd ed.; Naukova Dumka: Kiev, Ukraine, 1970; 145p. (In Russian) [Google Scholar]
- Hölzl, J.; Schulte, F.K. Work Function of Metals; Hölzl, J., Schulte, F.K., Wagner, H., Eds.; Solid Surface Physics Springer Tracts in Modern Physics; Springer: Berlin/Heidelberg, Germany, 1979; Volume 85, pp. 1–150. [Google Scholar] [CrossRef]
- Lampert, M.A.; Mark, P. Current Injection in Solids (Electrical Science); Academic Press Inc.: Cambridge, MA, USA, 1970; 351p. [Google Scholar]
- Sze, S.M.; Li, Y.; Ng, K.K. Physics of Semiconductor Devices; John Wiley & Sons: New York, NY, USA, 2021; 932p. [Google Scholar]
- Nikitenko, V.R.; Heil, H.; Von Seggern, H. Space-charge limited current in regioregular poly-3-hexyl-thiophene. J. Appl. Phys. 2003, 94, 2480–2485. [Google Scholar] [CrossRef]
- Lampert, M.A. Simplified theory of space-charge-limited currents in an insulator with traps. Phys. Rev. 1956, 103, 1648–1656. [Google Scholar] [CrossRef]
- Belova, V.A.; Borodzyulya, V.F.; Ivanova, T.F.; Kapralova, V.M.; Sudar’, N.T. Peculiar dielectric properties of poly (diphenylene phthalide) at elevated temperatures. Tech. Phys. 2015, 60, 588–591. [Google Scholar] [CrossRef]
- Jhamba, L.; Wamwangi, D.; Chiguvare, Z. Dark and illuminated J (V) characteristics of thin layered bulk heterojunction P3HT: PCBM sandwich solar cells after thermal treatment. Opt. Quantum. Electron. 2020, 52, 403. [Google Scholar] [CrossRef]
- Tameev, A.R.; Vannikov, A.V.; Lachinov, A.N.; Salikhov, R.B.; Bunakov, A.A. Mobility of charge carriers in thin poly(diphenylene phthalide) films. Rus. J. Phys. Chem. A 2005, 79, 2025–2028. [Google Scholar]
- Miao, J.; Zhang, X.; Tian, Y.; Zhao, Y. Recent Progress in Contact Engineering of Field-Effect Transistor Based on Two-Dimensional Materials. Nanomaterials 2022, 12, 3845. [Google Scholar] [CrossRef]
- Zhu, L.; Zou, F.; Gao, J.H.; Fu, Y.S.; Gao, G.Y.; Fu, H.H.; Wu, M.H.; Lü, J.T.; Yao, K.L. The integrated spintronic functionalities of an individual high-spin state spin-crossover molecule between graphene nanoribbon electrodes. Nanotechnology 2015, 26, 315201. [Google Scholar] [CrossRef]
- Yusupov, A.R.; Rakhmeev, R.G.; Lachinov, A.N.; Kalimullina, L.R.; Nakaryakov, A.S.; Bunakov, A.A. Study of the charge carrier transport through a metal-poly(arylenephthalide)-class polymer interface. Phys. Solid State 2013, 55, 1494–1497. [Google Scholar] [CrossRef]
- Musa, I.; Eccleston, W. Electrical properties of polymer/Si heterojunctions. Thin Solid Films 1999, 343–344, 469–475. [Google Scholar] [CrossRef]
- Saxena, P.; Shukla, P.; Gaur, M.S. Air-gap thermally stimulated discharge currents in PVDF-PMMA double-layered samples. J. Therm. Anal. Calorim. 2022, 147, 2957–2968. [Google Scholar] [CrossRef]
- Hu, L.; Wang, W.; Yu, S.; Ma, D.; Lv, J.; Zhong, Y.; Li, S.; Tanaka, Y.; Takada, T. Interface Charge Characteristics in Polymer Dielectric Contacts: Analysis of Acoustic Approach and Probe Microscopy. Adv. Mater. Interfaces 2023, 10, 2300087. [Google Scholar] [CrossRef]
- Teyssedre, G.; Zheng, F.; Boudou, L.; Laurent, C. Charge trap spectroscopy in polymer dielectrics: A critical review. J. Phys. D Appl. Phys. 2021, 54, 263001. [Google Scholar] [CrossRef]
- Dai, C.; Liu, Y.; Wei, D. Two-Dimensional Field-Effect Transistor Sensors: The Road toward Commercialization. Chem. Rev. 2022, 122, 10319–10392. [Google Scholar] [CrossRef] [PubMed]
- Paghi, A.; Mariani, S.; Barillaro, G. 1D and 2D field effect transistors in gas sensing: A comprehensive review. Small 2023, 19, e2206100. [Google Scholar] [CrossRef]








| Electrode Material | Electrical Conductivity G, 10−9 S | Charge Carriers Concentration , 1011 cm−3 | Charge Carriers Mobility | Potential Barrier , eV | Metal Work Function [50,51] EWF, eV |
|---|---|---|---|---|---|
| Aluminum | 10.3 | 1.56 | 120 | 0.50 | 4.20 |
| Copper | 3.5 | 7.26 | 95 | 0.52 | 4.36 |
| Chrome | 2.0 | 2.36 | 55 | 0.54 | 4.50 |
Disclaimer/Publisher’s Note: The statements, opinions and data contained in all publications are solely those of the individual author(s) and contributor(s) and not of MDPI and/or the editor(s). MDPI and/or the editor(s) disclaim responsibility for any injury to people or property resulting from any ideas, methods, instructions or products referred to in the content. |
© 2023 by the authors. Licensee MDPI, Basel, Switzerland. This article is an open access article distributed under the terms and conditions of the Creative Commons Attribution (CC BY) license (https://creativecommons.org/licenses/by/4.0/).
Share and Cite
Karamov, D.D.; Galiev, A.F.; Lachinov, A.A.; Davlyatgareev, K.I.; Salazkin, S.N.; Yakhin, A.R.; Lachinov, A.N. Non-Conjugated Poly(Diphenylene Phthalide)—New Electroactive Material. Polymers 2023, 15, 3366. https://doi.org/10.3390/polym15163366
Karamov DD, Galiev AF, Lachinov AA, Davlyatgareev KI, Salazkin SN, Yakhin AR, Lachinov AN. Non-Conjugated Poly(Diphenylene Phthalide)—New Electroactive Material. Polymers. 2023; 15(16):3366. https://doi.org/10.3390/polym15163366
Chicago/Turabian StyleKaramov, Danfis D., Azat F. Galiev, Alexey A. Lachinov, Khalim I. Davlyatgareev, Sergey N. Salazkin, Artur R. Yakhin, and Alexey N. Lachinov. 2023. "Non-Conjugated Poly(Diphenylene Phthalide)—New Electroactive Material" Polymers 15, no. 16: 3366. https://doi.org/10.3390/polym15163366
APA StyleKaramov, D. D., Galiev, A. F., Lachinov, A. A., Davlyatgareev, K. I., Salazkin, S. N., Yakhin, A. R., & Lachinov, A. N. (2023). Non-Conjugated Poly(Diphenylene Phthalide)—New Electroactive Material. Polymers, 15(16), 3366. https://doi.org/10.3390/polym15163366

