Enhancing Hydrophobicity and Oxygen Barrier of Xylan/PVOH Composite Film by 1,2,3,4-Butane Tetracarboxylic Acid Crosslinking
Abstract
1. Introduction
2. Materials and Methods
2.1. Materials
2.2. Preparation of BTCA-Crosslinked Xylan/PVOH Composite Films
2.3. Analytical Methods
3. Results and Discussion
3.1. Structural Analysis
3.2. Surface Morphology Analysis
3.3. XRD Analysis
3.4. Surface Wettability
3.5. Mechanical Properties
3.6. Oxygen Barrier Properties
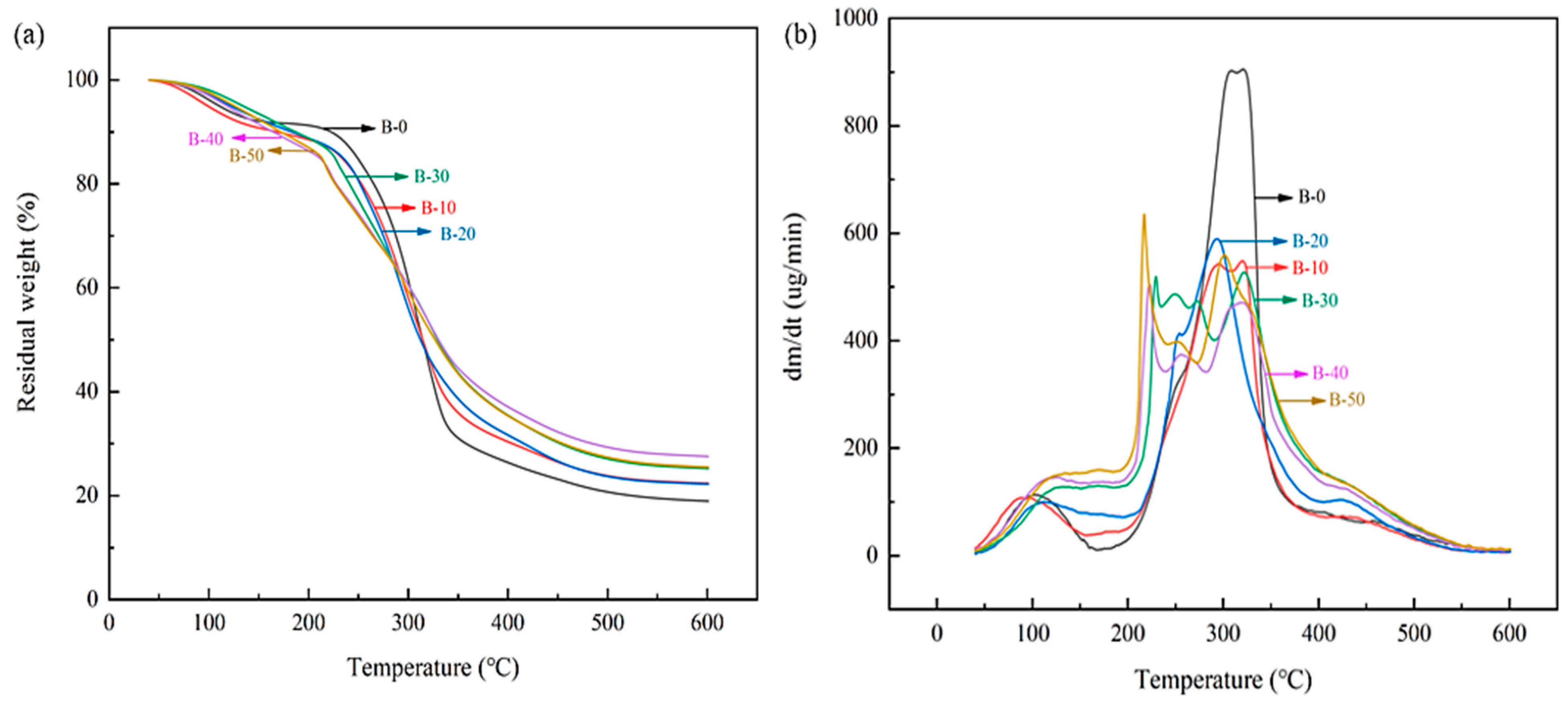
3.7. Thermal Stability
4. Conclusions
Author Contributions
Funding
Institutional Review Board Statement
Data Availability Statement
Conflicts of Interest
References
- Lebreton, L.; Slat, B.; Ferrari, F.; Sainte-Rose, B.; Aitken, J.; Marthouse, R.; Hajbane, S.; Cunsolo, S.; Schwarz, A.; Levivier, A.; et al. Evidence that the Great Pacific Garbage Patch is rapidly accumulating plastic. Sci. Rep. 2018, 8, 4666. [Google Scholar] [CrossRef] [PubMed]
- Nesic, A.; Cabrera-Barjas, G.; Dimitrijevic-Brankovic, S.; Davidovic, S.; Radovanovic, N.; Delattre, C. Prospect of Polysaccharide-Based Materials as Advanced Food Packaging. Molecules 2020, 25, 135. [Google Scholar] [CrossRef]
- Chopin, N.; Guillory, X.; Weiss, P.; Le Bideau, J.; Colliec-Jouault, S. Design Polysaccharides of Marine Origin: Chemical Modifications to Reach Advanced Versatile Compounds. Curr. Org. Chem. 2014, 18, 867–895. [Google Scholar] [CrossRef]
- Lisuzzo, L.; Wicklein, B.; Lo Dico, G.; Lazzara, G.; del Real, G.; Aranda, P.; Ruiz-Hitzky, E. Functional biohybrid materials based on halloysite, sepiolite and cellulose nanofibers for health applications. Dalton Trans. 2020, 49, 3830–3840. [Google Scholar] [CrossRef] [PubMed]
- Madian, N.G.; El-Ashmanty, B.A.; Abdel-Rahim, H.K. Improvement of Chitosan Films Properties by Blending with Cellulose, Honey and Curcumin. Polymers 2023, 15, 2587. [Google Scholar] [CrossRef]
- Saxena, A.; Foston, M.; Kassaee, M.; Elder, T.J.; Ragauskas, A.J. Biopolymer Nanocomposite Films Reinforced with Nanocellulose Whiskers. J. Nanosci. Nanotechnol. 2012, 12, 218–226. [Google Scholar] [CrossRef]
- Pauly, M.; Keegstra, K. Cell-wall carbohydrates and their modification as a resource for biofuels. Plant. J. 2008, 54, 559–568. [Google Scholar] [CrossRef]
- Liu, G.; Shi, K.; Sun, H. Research Progress in Hemicellulose-Based Nanocomposite Film as Food Packaging. Polymers 2023, 15, 979. [Google Scholar] [CrossRef]
- Sarkar, P.; Bosneaga, E.; Auer, M. Plant cell walls throughout evolution: Towards a molecular understanding of their design principles. J. Exp. Bot. 2009, 60, 3615–3635. [Google Scholar] [CrossRef]
- Keppler, B.D.; Showalter, A.M. IRX14 and IRX14-LIKE, Two Glycosyl Transferases Involved in Glucuronoxylan Biosynthesis and Drought Tolerance in Arabidopsis. Mol. Plant 2010, 3, 834–841. [Google Scholar] [CrossRef]
- Nechita, P.; Mirela, R.; Ciolacu, F. Xylan Hemicellulose: A Renewable Material with Potential Properties for Food Packaging Applications. Sustainability 2021, 13, 13504. [Google Scholar] [CrossRef]
- Liu, X.; Chen, X.; Ren, J.; Zhang, C. TiO2-KH550 Nanoparticle-Reinforced PVA/xylan Composite Films with Multifunctional Properties. Materials 2018, 11, 1589. [Google Scholar] [CrossRef]
- Solier, Y.N.; Mocchiutti, P.; Inalbon, M.C.; Zanuttini, M.A. Thermoplastic Films Based on Polyelectrolyte Complexes of Arabino Glucurono-Xylan and Polyethylenimine. Macromol. Mater. Eng. 2022, 307, 2200108. [Google Scholar] [CrossRef]
- Vadivel, M.; Sankarganesh, M.; Raja, J.D.; Rajesh, J.; Mohanasundaram, D.; Alagar, M. Bioactive constituents and bio-waste derived chitosan/xylan based biodegradable hybrid nanocomposite for sensitive detection of fish freshness. Food Packaging and Shelf Life 2019, 22, 100384. [Google Scholar] [CrossRef]
- Chughtai, F.R.S.; Zaman, M.; Khan, A.H.; Amjad, M.W.; Aman, W.; Khan, S.M.; Raja, M.A.G.; Alvi, M.N.; Afridi, M.; Hanif, M. Formulation and evaluation of sustained release ocular inserts of betaxolol hydrochloride using arabinoxylan from Plantago ovata. Pak. J. Pharm. Sci. 2021, 34, 1069–1074. [Google Scholar] [CrossRef]
- Al-Ajlouni, K.; Fleming, P.D.; Pekarovicova, A. Glucomannan-xylan blend biofilms for food packaging: Preparation and evaluation of filmogenic solutions and biofilms. J. Print Media Technol. Res. 2021, 10, 247–259. [Google Scholar] [CrossRef]
- Wang, H.; Xue, T.; Wang, S.; Jia, X.; Cao, S.; Niu, B.; Guo, R.; Yan, H. Preparation, characterization and food packaging application of nano ZnO@Xylan/quaternized xylan/polyvinyl alcohol composite films. Int. J. Biol. Macromol. 2022, 215, 635–645. [Google Scholar] [CrossRef]
- Frohlich, A.C.; Bazzo, G.C.; Stulzer, H.K.; Parize, A.L. Synthesis and physico-chemical characterization of quaternized and sulfated xylan-derivates with enhanced microbiological and antioxidant properties. Biocatal. Agric. Biotechnol. 2022, 43, 102416. [Google Scholar] [CrossRef]
- Chiellini, E.; Cinelli, P.; Fernandes, E.G.; Kenawy, E.R.S.; Lazzeri, A. Gelatin-based blends and composites. Morphological and thermal mechanical characterization. Biomacromolecules 2001, 2, 806–811. [Google Scholar] [CrossRef]
- Tang, X.Z.; Alavi, S. Recent advances in starch, polyvinyl alcohol-based polymer blends, nanocomposites and their biodegradability. Carbohyd. Polym. 2011, 85, 7–16. [Google Scholar] [CrossRef]
- Pan, H.; Zheng, B.; Yang, H.; Guan, Y.; Zhang, L.; Xu, X.; Wu, A.; Li, H. Effect of Loblolly Pine (Pinus taeda L.) Hemicellulose Structure on the Properties of Hemicellulose-Polyvinyl Alcohol Composite Film. Molecules 2023, 28, 46. [Google Scholar] [CrossRef] [PubMed]
- Lisuzzo, L.; Caruso, M.R.; Cavallaro, G.; Milioto, S.; Lazzara, G. Hydroxypropyl Cellulose Films Filled with Halloysite Nanotubes/Wax Hybrid Microspheres. Ind. Eng. Chem. Res. 2021, 60, 1656–1665. [Google Scholar] [CrossRef]
- Gao, C.-d.; Ren, J.-l.; Wang, S.-y.; Sun, R.-c.; Zhao, L.-h. Preparation of Polyvinyl Alcohol/Xylan Blending Films with 1,2,3,4-Butane Tetracarboxylic Acid as a New Plasticizer. J. Nanomater. 2014, 2014, 764031. [Google Scholar] [CrossRef]
- Arrieta, M.P.; Lopez, J.; Lopez, D.; Kenny, J.M.; Peponi, L. Development of flexible materials based on plasticized electrospun PLA-PHB blends: Structural, thermal, mechanical and disintegration properties. Eur. Polym. J. 2015, 73, 433–446. [Google Scholar] [CrossRef]
- Nesa, S.H.S.; Tarangini, K. A review on augmentation of natural fabric materials with novel bio/nanomaterials and their multifunctional perspectives. Hybrid Adv. 2023, 2, 100020. [Google Scholar] [CrossRef]
- Lei, T.; Zhang, R.; Liu, Y.; Zhu, X.; Li, K.; Li, G.; Zheng, H. Effect of the high barrier and hydrophobic hemicellulose/montmorillonite film on postharvest quality of fresh green asparagus. Ind. Crop. Prod. 2022, 187, 115509. [Google Scholar] [CrossRef]
- Zhao, Y.; Sun, H.; Yang, B.; Weng, Y. Hemicellulose-Based Film: Potential Green Films for Food Packaging. Polymers 2020, 12, 1775. [Google Scholar] [CrossRef]
- Zhao, Y.; Sun, H.; Yang, B.; Fan, B.; Zhang, H.; Weng, Y. Enhancement of Mechanical and Barrier Property of Hemicellulose Film via Crosslinking with Sodium Trimetaphosphate. Polymers 2021, 13, 927. [Google Scholar] [CrossRef]
- Hu, H.; Li, F.; Cai, T.; Xu, J.; Meng, C.; Dong, X.; Zhao, Q.; Wu, R.; He, J. Synthesis of novel poly-carboxylic acids via click reaction and their application for easy-care treatment of cotton fabrics. Cellulose 2022, 29, 9437–9452. [Google Scholar] [CrossRef]
- Madivoli, E.S.; Schwarte, J.V.; Kareru, P.G.; Gachanja, A.N.; Fromm, K.M.M. Stimuli-Responsive and Antibacterial Cellulose-Chitosan Hydrogels Containing Polydiacetylene Nanosheets. Polymers 2023, 15, 1062. [Google Scholar] [CrossRef]
- Zare, A.; Payvandy, P. The prediction of optimal conditions for the surface grafting of beta-cyclodextrin onto silk fabrics by an artificial neural network (ANN). Pigm. Resin. Technol. 2023, 52, 183–191. [Google Scholar] [CrossRef]
- Gu, X.H.; Yang, C.Q. FTIR spectroscopy study of the formation of cyclic anhydride intermediates of polycarboxylic acids catalyzed by sodium hypophosphite. Text Res. J. 2000, 70, 64–70. [Google Scholar] [CrossRef]
- Patil, N.V.; Netravali, A.N. Nonedible Starch Based “Green” Thermoset Resin Obtained via Esterification Using a Green Catalyst. ACS Sustain. Chem. Eng. 2016, 4, 1756–1764. [Google Scholar] [CrossRef]
- Boondaeng, A.; Suwanruji, P.; Vaithanomsat, P.; Apiwatanapiwat, W.; Trakunjae, C.; Janchai, P.; Apipatpapha, T.; Chanka, N.; Chollakup, R. Bio-synthesis of itaconic acid as an anti-crease finish for cellulosic fiber fabric. RSC Adv. 2021, 11, 25943–25950. [Google Scholar] [CrossRef]
- Lund, K.; Brelid, H. 1,2,3,4-Butanetetracarboxylic Acid Cross-Linked Softwood Kraft Pulp Fibers for Use in Fluff Pulp Applications. J. Eng. Fiber Fabr. 2014, 9, 142–150. [Google Scholar] [CrossRef]
- Harifi, T.; Montazer, M. Past, present and future prospects of cotton cross-linking: New insight into nano particles. Carbohyd. Polym. 2012, 88, 1125–1140. [Google Scholar] [CrossRef]
- Jimenez Bartolome, M.; Padhi, S.S.P.; Fichtberger, O.G.; Schwaiger, N.; Seidl, B.; Kozich, M.; Nyanhongo, G.S.; Guebitz, G.M. Improving Properties of Starch-Based Adhesives with Carboxylic Acids and Enzymatically Polymerized Lignosulfonates. Int. J. Mol. Sci. 2022, 23, 13547. [Google Scholar] [CrossRef] [PubMed]
- Zhao, T.Y.; Jiang, L. Contact angle measurement of natural materials. Colloid Surf. B 2018, 161, 324–330. [Google Scholar] [CrossRef] [PubMed]
- Yang, Y.-C.; Mei, X.-W.; Hu, Y.-J.; Su, L.-Y.; Bian, J.; Li, M.-F.; Peng, F.; Sun, R.-C. Fabrication of antimicrobial composite films based on xylan from pulping process for food packaging. Int. J. Biol. Macromol. 2019, 134, 122–130. [Google Scholar] [CrossRef]
- Seo, J.; Oh, S.; Choi, G.; Lee, H.S. Anti-dryable, anti-freezable, and self-healable conductive hydrogel for adhesive electrodes. Compos. Interface 2022, 29, 1561–1571. [Google Scholar] [CrossRef]
- Sawant, N.; Salam, A. Chemically Functionalized Polysaccharide-Based Chelating Agent for Heavy Metals and Nitrogen Compound Remediation from Contaminated Water. Ind. Eng. Chem. Res. 2022, 61, 1250–1257. [Google Scholar] [CrossRef]
- Tao, F.; Shi, C.; Cui, Y. Preparation and physicochemistry properties of smart edible films based on gelatin-starch nanoparticles. J. Sci. Food Agric. 2018, 98, 5470–5478. [Google Scholar] [CrossRef] [PubMed]
- Liu, Z.; Liu, R.; Yi, Y.; Han, W.; Kong, F.; Wang, S. Photocatalytic degradation of dyes over a xylan/PVA/TiO2 composite under visible light irradiation. Carbohyd. Polym. 2019, 223, 115081. [Google Scholar] [CrossRef] [PubMed]
- Liu, X.X.; Chen, X.F.; Ren, J.L.; Chang, M.M.; He, B.; Zhang, C.H. Effects of nano-ZnO and nano-SiO2 particles on properties of PVA/xylan composite films. Int. J. Biol. Macromol. 2019, 132, 978–986. [Google Scholar] [CrossRef] [PubMed]
- Shi, C.; Zhuang, C.; Cui, Y.; Tao, F. Preparation and characterization of gelatin film modified by cellulose active ester. Polym. Bull. 2017, 74, 3505–3525. [Google Scholar] [CrossRef]
- Fombuena, V.; Balart, J.; Boronat, T.; Sanchez-Nacher, L.; Garcia-Sanoguera, D. Improving mechanical performance of thermoplastic adhesion joints by atmospheric plasma. Mater. Design 2013, 47, 49–56. [Google Scholar] [CrossRef]
- Shao, H.; Sun, H.; Yang, B.; Zhang, H.; Hu, Y. Facile and green preparation of hemicellulose-based film with elevated hydrophobicity via cross-linking with citric acid. RSC Adv. 2019, 9, 2395–2401. [Google Scholar] [CrossRef]
- Fu, D.; Netravali, A.N. Green composites based on avocado seed starch and nano- and micro-scale cellulose. Polym. Compos. 2020, 41, 4631–4648. [Google Scholar] [CrossRef]
- Fu, D.; Netravali, A.N. ‘Green’ composites based on liquid crystalline cellulose fibers and avocado seed starch. J. Mater. Sci. 2021, 56, 6204–6216. [Google Scholar] [CrossRef]
- Peter, Z.; Kenyo, C.; Renner, K.; Krohnke, C.; Pukanszky, B. Decreased oxygen permeability of EVOH through molecular interactions. Express Polym. Lett. 2014, 8, 756–766. [Google Scholar] [CrossRef]
- Shalom, T.B.; Belsey, S.; Chasnitsky, M.; Shoseyov, O. Cellulose nanocrystals and corn zein oxygen and water vapor barrier biocomposite films. Nanomaterials 2021, 11, 247. [Google Scholar] [CrossRef] [PubMed]
- Borrega, M.; Orelma, H. Cellulose Nanofibril (CNF) Films and Xylan from Hot Water Extracted Birch Kraft Pulps. Appl. Sci. 2019, 9, 3436. [Google Scholar] [CrossRef]
- Zhong, Y.; Janes, D.; Zheng, Y.; Hetzer, M.; de Kee, D. Mechanical and oxygen barrier properties of organoclay-polyethylene nanocomposite films. Polym. Eng. Sci. 2007, 47, 1101–1107. [Google Scholar] [CrossRef]
- Argelia Peraza-Ku, S.; Manuel Cervantes-Uc, J.; Escobar-Morales, B.; Alonso Uribe-Calderon, J. Modification of Ceiba pentandra cellulose for drug release applications. E-Polymers 2020, 20, 194–202. [Google Scholar] [CrossRef]







| Sample | BTCA Mass Fraction (%) | Mass of Xylan (g) | Mass of PVOH (g) | Mass of Sorbitol (g) |
|---|---|---|---|---|
| B-0 | 0 | 1.8 | 0.6 | 0.6 |
| B-10 | 10 | 1.8 | 0.6 | 0.6 |
| B-20 | 20 | 1.8 | 0.6 | 0.6 |
| B-30 | 30 | 1.8 | 0.6 | 0.6 |
| B-40 | 40 | 1.8 | 0.6 | 0.6 |
| B-50 | 50 | 1.8 | 0.6 | 0.6 |
| Sample | Thickness (µm) | Tensile Strength (MPa) | Elongation at Break (%) | Young’s Modulus (MPa) |
|---|---|---|---|---|
| B-0 | 126 ± 5 | 11.19 ± 0.85 | 5.24 ± 0.99 | 823 ± 69 |
| B-10 | 129 ± 3 | 13.99 ± 0.53 | 4.86 ± 1.16 | 1014 ± 112 |
| B-20 | 133 ± 6 | 10.02 ± 0.79 | 17.62 ± 1.73 | 551 ± 19 |
| B-30 | 137 ± 5 | 7.78 ± 0.72 | 37.1 ± 1.59 | 189 ± 23 |
| B-40 | 144 ± 7 | 4.23 ± 0.36 | 227.28 ± 6.73 | 109 ± 18 |
| B-50 | 145 ± 6 | 3.89 ± 0.41 | 314.28 ± 4.12 | 96 ± 6 |
| Sample | Oxygen Permeability [(cm3·µm)/(m2·d·kPa)] | Reference Citation |
|---|---|---|
| B-0 | 2.11 1 | - |
| B-10 | 0.57 1 | - |
| B-20 | 0.43 1 | - |
| B-30 | 0.78 1 | - |
| B-40 | 1.52 1 | - |
| B-50 | 1.98 1 | - |
| TiO2-KH550 nanoparticle-reinforced PVA/xylan composite films | 4.01 | [12] |
| Citric acid crosslinked hemicellulose films | 5.4 | [47] |
| Sodium trimetaphosphate crosslinked hemicellulose films | 3.98 | [28] |
| Cellulose nanofibril (CNF) films | 72 | [52] |
| Low-density polyethylene (LDPE) | 772 | [53] |
| High-density polyethylene (HDPE) | 237 | [53] |
| Ethylene vinyl acetate (EVA) | 1431 | [53] |
Disclaimer/Publisher’s Note: The statements, opinions and data contained in all publications are solely those of the individual author(s) and contributor(s) and not of MDPI and/or the editor(s). MDPI and/or the editor(s) disclaim responsibility for any injury to people or property resulting from any ideas, methods, instructions or products referred to in the content. |
© 2023 by the authors. Licensee MDPI, Basel, Switzerland. This article is an open access article distributed under the terms and conditions of the Creative Commons Attribution (CC BY) license (https://creativecommons.org/licenses/by/4.0/).
Share and Cite
Liu, G.; Shi, K.; Sun, H.; Yang, B.; Weng, Y. Enhancing Hydrophobicity and Oxygen Barrier of Xylan/PVOH Composite Film by 1,2,3,4-Butane Tetracarboxylic Acid Crosslinking. Polymers 2023, 15, 2811. https://doi.org/10.3390/polym15132811
Liu G, Shi K, Sun H, Yang B, Weng Y. Enhancing Hydrophobicity and Oxygen Barrier of Xylan/PVOH Composite Film by 1,2,3,4-Butane Tetracarboxylic Acid Crosslinking. Polymers. 2023; 15(13):2811. https://doi.org/10.3390/polym15132811
Chicago/Turabian StyleLiu, Guoshuai, Kang Shi, Hui Sun, Biao Yang, and Yunxuan Weng. 2023. "Enhancing Hydrophobicity and Oxygen Barrier of Xylan/PVOH Composite Film by 1,2,3,4-Butane Tetracarboxylic Acid Crosslinking" Polymers 15, no. 13: 2811. https://doi.org/10.3390/polym15132811
APA StyleLiu, G., Shi, K., Sun, H., Yang, B., & Weng, Y. (2023). Enhancing Hydrophobicity and Oxygen Barrier of Xylan/PVOH Composite Film by 1,2,3,4-Butane Tetracarboxylic Acid Crosslinking. Polymers, 15(13), 2811. https://doi.org/10.3390/polym15132811

