Influence of Varying Concentrations of Epoxy, Rice Husk, Al2O3, and Fe2O3 on the Properties of Brake Friction Materials Prepared Using Hand Layup Method
Abstract
1. Introduction
2. Materials and Methods
2.1. Materials
2.2. Specimen Fabrications
2.3. Testing and Characterizations
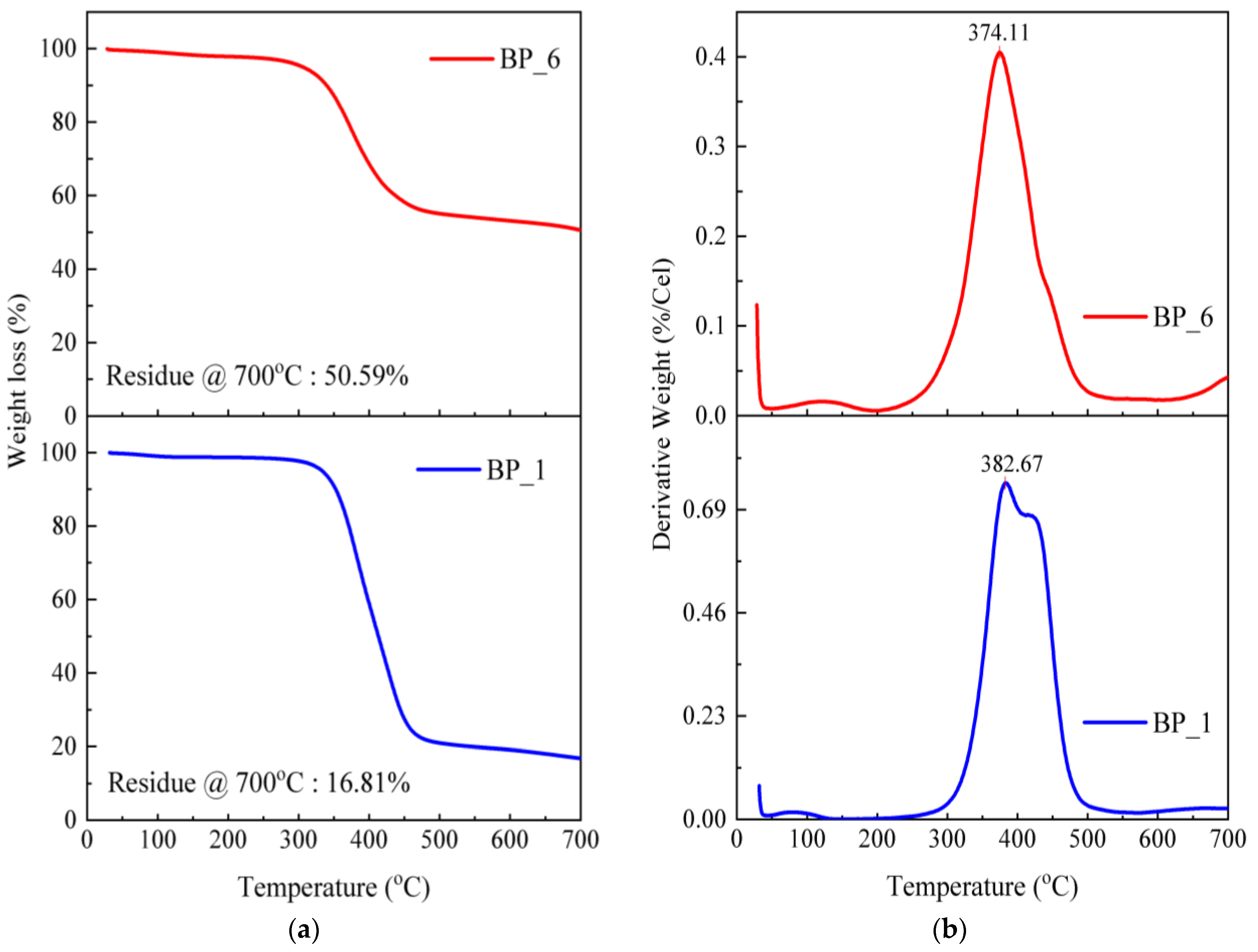
3. Results and Discussion
4. Conclusions
Author Contributions
Funding
Institutional Review Board Statement
Data Availability Statement
Acknowledgments
Conflicts of Interest
References
- Venkatesh, S.; Murugapoopathiraja, K. Scoping Review of Brake Friction Material for Automotive. Mater. Today Proc. 2019, 16, 927–933. [Google Scholar] [CrossRef]
- Berry, T.-A.; Belluso, E.; Vigliaturo, R.; Gieré, R.; Emmett, E.A.; Testa, J.R.; Steinhorn, G.; Wallis, S.L. Asbestos and Other Hazardous Fibrous Minerals: Potential Exposure Pathways and Associated Health Risks. Int. J. Environ. Res. Public Health 2022, 19, 4031. [Google Scholar] [CrossRef] [PubMed]
- Suraya, A.; Nowak, D.; Sulistomo, A.W.; Icksan, A.G.; Syahruddin, E.; Berger, U.; Bose-O’reilly, S. Asbestos-Related Lung Cancer: A Hospital-Based Case-Control Study in Indonesia. Int. J. Environ. Res. Public Health 2020, 17, 591. [Google Scholar] [CrossRef] [PubMed]
- Irawan, A.P.; Fitriyana, D.F.; Tezara, C.; Siregar, J.P.; Laksmidewi, D.; Baskara, G.D.; Abdullah, M.Z.; Junid, R.; Hadi, A.E.; Hamdan, M.H.M.; et al. Overview of the Important Factors Influencing the Performance of Eco-Friendly Brake Pads. Polymers 2022, 14, 1180. [Google Scholar] [CrossRef]
- Jang, H. Brake Friction Materials; Springer: Berlin/Heidelberg, Germany, 2013; ISBN 9780387928975. [Google Scholar]
- Kumar, K.N.; Suman, K.N. Review of Brake Friction Materials for Future Development. J. Mech. Mech. Eng. 2017, 3, 1–29. [Google Scholar]
- Balaji, M.A.S.; Jitendra, K.; Arumugam, E.; Sethupathi, B.P. State of the Art on Challenges for Friction Material Manufacturers–Raw Materials, Regulations, Environmental, and NVH Aspects. Proc. Inst. Mech. Eng. Part J J. Eng. Tribol. 2022, 237, 926–942. [Google Scholar] [CrossRef]
- Kannan, K.R.; Vignesh, R.V.; Kalyan, K.P.; Murugesan, J.; Megalingam, A.; Padmanaban, R.; Govindaraju, M. Tribological Performance of Heavy-Duty Functionally Gradient Friction Material (Cu-Sn-Fe-Cg-SiC-Al2O3) Synthesized by PM Route. AIP Conf. Proc. 2019, 2128, 20004. [Google Scholar] [CrossRef]
- Abdul Rahman, A.R. Friction Material (Metal Reinforcement) Analysis of Brake Pad for Light Rail Train System. Master’s Thesis, Universiti Tun Hussein Onn Malaysia, Johor, Malaysia, 2016. [Google Scholar]
- Harahap, D.A. Inilah 5 Provinsi Dengan Jumlah Sepeda Motor Terbanyak 2022-Otomotif Tempo.Co. Available online: https://otomotif.tempo.co/read/1687390/inilah-5-provinsi-dengan-jumlah-sepeda-motor-terbanyak-2022 (accessed on 8 March 2023).
- Jadhav, S.P.; Sawant, S.H. A Review Paper: Development of Novel Friction Material for Vehicle Brake Pad Application to Minimize Environmental and Health Issues. Mater. Today Proc. 2019, 19, 209–212. [Google Scholar] [CrossRef]
- Mulani, S.M.; Kumar, A.; Shaikh, H.N.E.A.; Saurabh, A.; Singh, P.K.; Verma, P.C. A Review on Recent Development and Challenges in Automotive Brake Pad-Disc System. Mater. Today Proc. 2022, 56, 447–454. [Google Scholar] [CrossRef]
- Ramli, S.N.R.; Fadzullah, S.H.S.; Mustafa, Z. The Effect of Alkaline Treatment and Fiber Length on Pineapple Leaf Fiber Reinforced Lactic Acid. J. Teknol. 2017, 79, 111–115. [Google Scholar] [CrossRef]
- Lyu, Y.; Ma, J.; Hedlund-Åström, A.; Wahlström, J.; Olofsson, U. Recycling of Worn out Brake Pads -Impact on Tribology and Environment. Sci. Rep. 2020, 10, 8369. [Google Scholar] [CrossRef] [PubMed]
- Borawski, A. Conventional and Unconventional Materials Used in the Production of Brake Pads-Review. Sci. Eng. Compos. Mater. 2020, 27, 374–396. [Google Scholar] [CrossRef]
- Rajaei, H.; Griso, M.; Menapace, C.; Dorigato, A.; Perricone, G.; Gialanella, S. Investigation on the Recyclability Potential of Vehicular Brake Pads. Results Mater. 2020, 8, 100161. [Google Scholar] [CrossRef]
- Paramasivam, K.; Jayaraj, J.J.; Ramar, K. Evaluation of Natural Fibers for the Production of Automotive Brake Pads Replacement for Asbestos Brake Pad Evaluation of Natural Fibers for the Production of Automotive Brake Pads Replacement for Asbestos Brake Pad. AIP Conf. Proc. 2020, 2311, 040005. [Google Scholar]
- Carlevaris, D.; Leonardi, M.; Straffelini, G.; Gialanella, S. Design of a Friction Material for Brake Pads Based on Rice Husk and Its Derivatives. Wear 2023, 526–527, 204893. [Google Scholar] [CrossRef]
- Daud, M.A.M.; Bayanuddin, N.F.; Selamat, M.Z. Effect of Coconut Shell Powder in Brake Friction Materials. In Proceedings of the 1st Colloquium Paper: Advanced Materials and Mechanical Engineering Research (CAMMER’18), Melaka, Malaysia, March 2018. [Google Scholar]
- Dan-asabe, B.; Madakson, P.; Manji, J. Material Selection and Production of a Cold-Worked Composite Brake Pad. World J. Eng. Pure Appl. Sci. 2012, 2, 92–97. [Google Scholar]
- Egeonu, D.; Oluah, C.; Okolo, P.N. Production of Eco-Friendly Brake Pad Using Raw Materials Sourced Locally in Production of Eco-Friendly Brake Pad Using Raw Materials Sourced Locally In Nsukka. J. Energy Technol. Policy 2015, 5, 1–8. [Google Scholar]
- Juan, R.S.; Kurniawan, C.; Marbun, J.; Simamora, P. Mechanical Properties of Brake Pad Composite Made from Candlenut Shell and Coconut Shell. J. Phys. Conf. Ser. 2020, 1428, 012018. [Google Scholar] [CrossRef]
- Kholil, A.; Dwiyati, S.T.; Siregar, J.P.; Riyadi, S. Development Brake Pad from Composites of Coconut Fiber, Wood Powder and Cow Bone for Electric Motorcycle. Int. J. Sci. Technol. Res. 2020, 9, 2938–2942. [Google Scholar]
- Rajmohan, B.; Arunachalam, K.; Sundarapandian, G. Predict the Tribological Properties on Brake Pad Using Coconut Shell / Sugarcane / Sic Powder Hybrid Composites. Int. J. Eng. Innov. Technol. 2017, 7, 43–49. [Google Scholar]
- Sutikno; Pramujati, B.; Safitri, S.D.; Razitania, A. Characteristics of Natural Fiber Reinforced Composite for Brake Pads Material. AIP Conf. Proc. 2018, 1983, 050009. [Google Scholar] [CrossRef]
- Pujari, S.; Srikiran, S. Experimental Investigations on Wear Properties of Palm Kernel Reinforced Composites for Brake Pad Applications. Def. Technol. 2019, 15, 295–299. [Google Scholar] [CrossRef]
- Madeswaran, A.; Natarajasundaram, B.; Ramamoorthy, B. Reformation of Eco-Friendly Automotive Brake Pad by Using Natural Fibre Composites. SAE Tech. Pap. 2016, 28, 0164. [Google Scholar] [CrossRef]
- Chandradass, J.; Amutha Surabhi, M.; Baskara Sethupathi, P.; Jawahar, P. Development of Low Cost Brake Pad Material Using Asbestos Free Sugarcane Bagasse Ash Hybrid Composites. Mater. Today Proc. 2021, 45, 7050–7057. [Google Scholar] [CrossRef]
- Nogueira, A.P.G.; da Silva Gehlen, G.; Neis, P.D.; Ferreira, N.F.; Gialanella, S.; Straffelini, G. Rice Husk as a Natural Ingredient for Brake Friction Material: A Pin-on-Disc Investigation. Wear 2022, 494–495, 204272. [Google Scholar] [CrossRef]
- Koto, N.; Soegijono, B. Effect of Rice Husk Ash Filler of Resistance Against of High-Speed Projectile Impact on Polyester-Fiberglass Double Panel Composites. J. Phys. Conf. Ser. 2019, 1191, 12058. [Google Scholar] [CrossRef]
- Senthil Kumar, P.; Jegadheesan, C.; Narasimmabharathi, S.; Nithiyarasan, R.; Manideep, B.; Pal Singh, A. Investigations on Tribological Behavior of Natural Fiber Hybrid Composites for Brake Friction. Mater. Today Proc. 2023, 4, 1–6. [Google Scholar] [CrossRef]
- Gehlen, G.S.; Nogueira, A.P.G.; Carlevaris, D.; Barros, L.Y.; Poletto, J.C.; Lasch, G.; Straffelini, G.; Ferreira, N.F.; Neis, P.D. Tribological Assessment of Rice Husk Ash in Eco-Friendly Brake Friction Materials. Wear 2023, 516–517, 204613. [Google Scholar] [CrossRef]
- Gehlen, G.S.; Neis, P.D.; Barros, L.Y.; Poletto, J.C.; Ferreira, N.F.; Amico, S.C. Tribological Performance of Eco-Friendly Friction Materials with Rice Husk. Wear 2022, 500–501, 204374. [Google Scholar] [CrossRef]
- Rout, A.K.; Satapathy, A. Study on Mechanical and Tribo-Performance of Rice-Husk Filled Glass–Epoxy Hybrid Composites. Mater. Des. 2012, 41, 131–141. [Google Scholar] [CrossRef]
- Hee, K.W.; Filip, P. Performance of Ceramic Enhanced Phenolic Matrix Brake Lining Materials for Automotive Brake Linings. Wear 2005, 259, 1088–1096. [Google Scholar] [CrossRef]
- Boz, M.; Kurt, A. The Effect of Al2O3 on the Friction Performance of Automotive Brake Friction Materials. Tribol. Int. 2007, 40, 1161–1169. [Google Scholar] [CrossRef]
- Jeganmohan, S.; Sugozu, B. Usage of Powder Pinus Brutia Cone and Colemanite Combination in Brake Friction Composites as Friction Modifier. Mater. Today Proc. 2020, 27, 2072–2075. [Google Scholar] [CrossRef]
- Zhang, P.; Zhang, L.; Fu, K.; Wu, P.; Cao, J.; Shijia, C.; Qu, X. The Effect of Al2O3 Fiber Additive on Braking Performance of Copper-Based Brake Pads Utilized in High-Speed Railway Train. Tribol. Int. 2019, 135, 444–456. [Google Scholar] [CrossRef]
- Veeresh Kumar, G.B.; Pramod, R.; Rao, C.S.P.; Gouda, P.S.S. Artificial Neural Network Prediction on Wear of Al6061 Alloy Metal Matrix Composites Reinforced with -Al2o3. Mater. Today Proc. 2018, 5, 11268–11276. [Google Scholar] [CrossRef]
- Talib, R.J.; Hisyam Basri, M.; Ismail, N.I.; Rabilah, R.; Selamat, M.A. Influence of Iron Oxide Powders on Braking Performance of Brake Friction Materials. J. Mech. Eng. 2017, SI 4, 129–142. [Google Scholar]
- Xu, W.; Fu, C.; Zhong, M.; Xie, G.; Xie, X. Effect of Type and Content of Iron Powder on the Formation of Oxidized Film and Tribological Properties of Cu-Matrix Composites. Mater. Des. 2022, 214, 110383. [Google Scholar] [CrossRef]
- Al2O3 Aluminum Oxide SAFETY DATA SHEET (SDS); No A1522; Sigma-Aldrich: Burlington, MA, USA, 2007.
- Fe2O3 Iron (III) Oxide SAFETY DATA SHEET (SDS); No 529311; Sigma-Aldrich: Burlington, MA, USA, 2023.
- Adi Yoga Saputra, G.; Astika, I.M.; Ary Subagia, I.D.G. Comparison of the Compressive Strength of Laminate and Prepreg Structures of a Jute-Epoxy Composite. J. Mater. Eng. Manuf. Energy 2022, 14, 1–5. [Google Scholar] [CrossRef]
- Setyabudi, S.A.; Choiron, M.A.; Purnowidodo, A. Effect of Angle Orientation Layup on Uniaxial Tensile Test Specimen of Fiber Carbon Composite Manufactured by Using Resin Transfer Moulding with Vacuum Bagging. IOP Conf. Ser. Mater. Sci. Eng. 2019, 494, 012020. [Google Scholar] [CrossRef]
- Arwanto. Synthesis Composite Hybrid (Glass/Epoxy-MWNT) and Analysis with Micromechanic Model. Master’s Thesis, Universitas Indonesia, Depok, Indonesia, 2012. [Google Scholar]
- Hadi, A.E.; Siregar, J.P.; Cionita, T.; Norlaila, M.B.; Badari, M.A.M.; Irawan, A.P.; Jaafar, J.; Rihayat, T.; Junid, R.; Fitriyana, D.F. Potentiality of Utilizing Woven Pineapple Leaf Fibre for Polymer Composites. Polymers 2022, 14, 2744. [Google Scholar] [CrossRef]
- Ismail, R.; Cionita, T.; Lai, Y.L.; Fitriyana, D.F.; Siregar, J.P.; Bayuseno, A.P.; Nugraha, F.W.; Muhamadin, R.C.; Irawan, A.P.; Hadi, A.E. Characterization of PLA/PCL/Green Mussel Shells Hydroxyapatite (HA) Biocomposites Prepared by Chemical Blending Methods. Materials 2022, 15, 8641. [Google Scholar] [CrossRef] [PubMed]
- Fitriyana, D.F.; Nugraha, F.W.; Laroybafih, M.B.; Ismail, R.; Bayuseno, A.P.; Muhamadin, R.C.; Ramadan, M.B.; Qudus, A.R.A.; Siregar, J.P. The Effect of Hydroxyapatite Concentration on the Mechanical Properties and Degradation Rate of Biocomposite for Biomedical Applications. IOP Conf. Ser. Earth Environ. Sci. 2022, 969, 12045. [Google Scholar] [CrossRef]
- Sahoo, P.; Das, S.K.; Paulo Davim, J. Surface Finish Coatings. In Comprehensive Materials Finishing; Hashmi, M.S.J., Ed.; Elsevier: Oxford, UK, 2017; pp. 38–55. ISBN 978-0-12-803249-7. [Google Scholar]
- Nugroho, S.; Nugroho, S.; Fitriyana, D.F.; Ismail, R.; Nurcholis, T.A.; Cionita, T.; Siregar, J.P. The Effect of Surface Hardening on The HQ 705 Steel Camshaft Using Static Induction Hardening and Tempering Method. Automot. Exp. 2022, 5, 343–354. [Google Scholar] [CrossRef]
- Irawan, A.P.; Anggarina, P.T.; Utama, D.W.; Najid, N.; Abdullah, M.Z.; Siregar, J.P.; Cionita, T.; Fitriyana, D.F.; Jaafar, J.; Hadi, A.E.; et al. An Experimental Investigation into Mechanical and Thermal Properties of Hybrid Woven Rattan/Glass-Fiber-Reinforced Epoxy Composites. Polymers 2022, 14, 5562. [Google Scholar] [CrossRef] [PubMed]
- Abutu, J.; Lawal, S.A.; Ndaliman, M.B.; Lafia-Araga, R.A.; Adedipe, O.; Choudhury, I.A. Production and Characterization of Brake Pad Developed from Coconut Shell Reinforcement Material Using Central Composite Design. SN Appl. Sci. 2019, 1, 1–16. [Google Scholar] [CrossRef]
- Ergün, Y.A. Mechanical Properties of Epoxy Composite Materials Produced with Different Ceramic Powders. J. Mater. Sci. Chem. Eng. 2019, 7, 1–8. [Google Scholar] [CrossRef]
- Shivakumar, H.; Renukappa, N.M.; Shivakumar, K.N.; Suresha, B. The Reinforcing Effect of Graphene on the Mechanical Properties of Carbon-Epoxy Composites. Open J. Compos. Mater. 2020, 10, 27–44. [Google Scholar] [CrossRef]
- Suhot, M.A.; Hassan, M.Z.; Aziz, S.A.; Md Daud, M.Y. Recent Progress of Rice Husk Reinforced Polymer Composites: A Review. Polymers 2021, 13, 2391. [Google Scholar] [CrossRef]
- Ighalo, J.O.; Adeniyi, A.G.; Owolabi, O.O.; Abdulkareem, S.A. Moisture Absorption, Thermal and Microstructural Properties of Polymer Composites Developed from Rice Husk and Polystyrene Wastes. Int. J. Sustain. Eng. 2021, 14, 1049–1058. [Google Scholar] [CrossRef]
- Laftah, W.A.; Wan Abdul Rahman, W.A. Rice Waste–Based Polymer Composites for Packaging Applications: A Review. Polym. Polym. Compos. 2021, 29, S1621–S1629. [Google Scholar] [CrossRef]
- Wang, Z.; Barford, J.P.; Hui, C.W.; McKay, G. Kinetic and Equilibrium Studies of Hydrophilic and Hydrophobic Rice Husk Cellulosic Fibers Used as Oil Spill Sorbents. Chem. Eng. J. 2015, 281, 961–969. [Google Scholar] [CrossRef]
- Cigasova, J.; Stevulova, N.; Schwarzova, I.; Junak, J. Innovative Use of Biomass Based on Technical Hemp in Building Industry. Chem. Eng. Trans. 2014, 37, 685–690. [Google Scholar] [CrossRef]
- Jiang, Z.; Yuan, Y. Effects of Particle Size Distribution of Silica on Properties of PTFE/SiO2 Composites. Mater. Res. Express 2018, 5, 066306. [Google Scholar] [CrossRef]
- Bisht, N.; Gope, P.C.; Rani, N. Rice Husk as a Fibre in Composites: A Review. J. Mech. Behav. Mater. 2020, 29, 147–162. [Google Scholar] [CrossRef]
- Dahham, O.S.; Noriman, N.Z.; Hamzah, R.; Syed Idrus, S.Z.; Shayfull, Z.; Adam, T.; Munirah, N.R. The Effects of Different Rice Husk Loading and Size on the Properties of Standard Malaysian Rubber / Rice Husk Composites. J. Phys. Conf. Ser. 2018, 1019, 012091. [Google Scholar] [CrossRef]
- Ahmad Fuad, M.Y.; Yaakob, I.; Mohd Ishak, Z.A.; Mohd Omar, A.K. Density Measurement of Rice Husk Ash Filler Particles in Polypropylene Composites. Polym. Test. 1993, 12, 107–112. [Google Scholar] [CrossRef]
- Zhang, Y.; Feng, K.; Shui, Y.; Chen, S.; Liu, Y. Influence of Phosphorus on Iron-Based Friction Material Prepared Directly from Vanadium-Bearing Titanomagnetite Concentrates. J. Iron Steel Res. Int. 2021, 28, 669–678. [Google Scholar] [CrossRef]
- Nandiyanto, A.B.D.; Hofifah, S.N.; Girsang, G.C.S.; Putri, S.R.; Budiman, B.A.; Triawan, F.; Al-Obaidi, A.S.M. The Effects of Rice Husk Particles Size as a Reinforcement Component on Resin-Based Brake Pad Performance: From Literature Review on the Use of Agricultural Waste as a Reinforcement Material, Chemical Polymerization Reaction of Epoxy Resin, to Experiments. Automot. Exp. 2021, 4, 68–82. [Google Scholar] [CrossRef]
- Crǎciun, A.L.; Pinca-Bretotean, C.; Birtok-Bǎneasǎ, C.; Josan, A. Composites Materials for Friction and Braking Application. IOP Conf. Ser. Mater. Sci. Eng. 2017, 200, 012009. [Google Scholar] [CrossRef]
- Manjulaiah, H.; Dhanraj, S.; Basavegowda, Y.; Naik, L. A Novel Study on the Development of Sisal-Jute Fiber Epoxy Filler–Based Composites for Brake Pad Application. Biomass Convers. Biorefinery 2023, 4, 1–13. [Google Scholar] [CrossRef]
- Veerapaneni, A.K.; Kuppan, C.; Chavali, M. Effect of Nano-α-Al2o3 Particles on Mechanical Properties of Glass-Fibre Reinforced Epoxy Hybrid Composites. ASEAN J. Chem. Eng. 2021, 21, 73–82. [Google Scholar] [CrossRef]
- Hossain, M.K.; Chowdhury, M.M.R.; Salam, M.B.A.; Jahan, N.; Malone, J.; Hosur, M.V.; Jeelani, S.; Bolden, N.W. Enhanced Mechanical Properties of Carbon Fiber/Epoxy Composites by Incorporating XD-Grade Carbon Nanotube. J. Compos. Mater. 2015, 49, 2251–2263. [Google Scholar] [CrossRef]
- Islam, M.R.; Rivai, M.; Gupta, A.; Beg, M.D.H. Characterization of Ultrasound-Treated Oil Palm Empty Fruit Bunch-Glass Fiber-Recycled Polypropylene Hybrid Composites. J. Polym. Eng. 2015, 35, 135–143. [Google Scholar] [CrossRef]
- Maulana, I.T.; Rusdja, A.P.; Surojo, E.; Muhayat, N.; Raharjo, W.W. Effect of the Cantala Fiber on Flexural Strength of Composite Friction Brake. AIP Conf. Proc. 2018, 1977, 030031. [Google Scholar] [CrossRef]
- Wypych, G. The effect of fillers on the mechanical properties of filled materials. In Handbook of Fillers, 4th ed.; Wypych, G., Ed.; ChemTec Publishing: Toronto, ON, Canada, 2016; pp. 467–531. ISBN 978-1-895198-91-1. [Google Scholar]
- Rahman, M.M.; Mondol, M.; Hasan, M. Mechanical Properties of Chemically Treated Coir and Betel Nut Fiber Reinforced Hybrid Polypropylene Composites. IOP Conf. Ser. Mater. Sci. Eng. 2018, 438, 012025. [Google Scholar] [CrossRef]
- Li, D.; Jiang, Y.; Lv, S.; Liu, X.; Gu, J.; Chen, Q.; Zhang, Y. Preparation of Plasticized Poly (Lactic Acid) and Its Influence on the Properties of Composite Materials. PLoS ONE 2018, 13, e0193520. [Google Scholar] [CrossRef]
- Shivakumar, K.N.; Brown, W.H.; Imran, K.A. Fly Ash Composites, A Step toward Pond Ash Composites. Coal Combust. Gasif. Prod. 2019, 11, 66–74. [Google Scholar]
- Wu, R.R.; Wang, R.F.; Li, Q.S.; Zhao, H. Le Microstructure and Mechanical Properties of Al2O3/7075. Zhuzao/Foundry 2018, 67, 695–698. [Google Scholar]
- Wasilewski, P.; Kuciej, M. Comparative Study on the Effect of Fibre Substitution on the Properties of Composite Railway Brake Shoe. In Proceedings of the IX International Scientific Conference, Aleksandras Stulginskis University, Kaunas, Lithuania, 16–17 November 2017; pp. 172–177. [Google Scholar] [CrossRef]
- Jeyanthi, S.; Janci Rani, J. Development of Natural Long Fiber Thermoplastic Composites for Automotive Frontal Beams. Indian J. Eng. Mater. Sci. 2014, 21, 580–584. [Google Scholar]
- Singh, T.; Gangil, B.; Patnaik, A.; Biswas, D.; Fekete, G. Agriculture Waste Reinforced Corn Starch-Based Biocomposites: Effect of Rice Husk/Walnut Shell on Physicomechanical, Biodegradable and Thermal Properties. Mater. Res. Express 2019, 6, 045702. [Google Scholar] [CrossRef]
- Rusdja, A.P.; Surojo, E.; Muhayat, N.; Raharjo, W.W. Effect of Gas Release in Hot Molding on Flexural Strength of Composite Friction Brake. AIP Conf. Proc. 2018, 1931, 030062. [Google Scholar] [CrossRef]
- Manoharan, S.; Shihab, A.I.; Alemdar, A.S.A.; Babu, L.G.; Vijay, R.; Lenin Singaravelu, D. Influence of Recycled Basalt-Aramid Fibres Integration on the Mechanical and Thermal Properties of Brake Friction Composites. Mater. Res. Express 2019, 6, 115310. [Google Scholar] [CrossRef]
- Mathur, R.B.; Thiyagarajan, P.; Dhami, T.L. Controlling the Hardness and Tribological Behaviour of Non-Asbestos Brake Lining Materials for Automobiles Controlling the Hardness and Tribological Behaviour of Non-Asbestos Brake Lining Materials for Automobiles. Carbon Lett. 2015, 5, 6–11. [Google Scholar]
- Simsek, D.; Simsek, I.; Ozyurek, D. Relationship between Al2O3 Content and Wear Behavior of Al+2% Graphite Matrix Composites. Sci. Eng. Compos. Mater. 2020, 27, 177–185. [Google Scholar] [CrossRef]
- Zhou, Z.; Li, Y.; Xiang, R.; Li, S.; Luo, H.; Wang, H. Fabrication of Basalt Cotton/Polytetrafluoroethylene (BC/PTFE) Composite Fiberboards with Excellent Dielectric Properties over a Wide Frequency Range. J. Mater. Sci. Mater. Electron. 2021, 32, 12275–12282. [Google Scholar] [CrossRef]
- Zalani, N.F.M.; Sivakumar, D.; Selamat, M.Z. Investigation on Properties of Woven Kenaf Fiber Reinforced Polypropylene Composite. Proc. Mech. Eng. Res. Day 2017, 385–386. [Google Scholar]
- Kasim, A.N.; Selamat, M.Z.; Daud, M.A.M.; Yaakob, M.Y.; Putra, A.; Malingam, S.D. Mechanical Properties of Polypropylene Composites Reinforced with Alkaline Treated Pineapple Leaf Fibre from Josapine cultivar. Int. J. Automot. Mech. Eng. 2016, 13, 3157–3167. [Google Scholar] [CrossRef]
- Mousavi, R.; Deflorian, F.; Bahrololoom, M.E. Morphology, Hardness, and Wear Properties of Ni-Base Composite Coating Containing Al Particle. Coatings 2020, 10, 346. [Google Scholar] [CrossRef]
- Kadivar, M.; Azarhoushang, B. Kinematics and Material Removal Mechanisms of Loose Abrasive Machining. In Tribology and Fundamentals of Abrasive Machining Processes, 3rd ed.; Azarhoushang, B., Marinescu, I.D., Brian Rowe, W., Dimitrov, B., Ohmori, H., Eds.; William Andrew Publishing: Norwich, NY, USA, 2022; pp. 507–536. ISBN 978-0-12-823777-9. [Google Scholar]
- Sulima, I.; Hyjek, P. Effect of Test Conditions on Wear Properties of Steel-Matrix Composites. Metall. Foundry Eng. 2017, 43, 269. [Google Scholar] [CrossRef]
- Setyawan, E.Y.; Djiwo, S.; Praswanto, D.H.; Siagian, P. Effect of Cocopeat and Brass Powder Composition as a Filler on Wear Resistance Properties. IOP Conf. Ser. Mater. Sci. Eng. 2020, 725, 012041. [Google Scholar] [CrossRef]
- Chand, N.; Fahim, M. Wood-Reinforced Polymer Composites. In Woodhead Publishing Series in Composites Science and Engineering; Chand, N., Fahim, M., Eds.; Woodhead Publishing: Cambridge, UK, 2021; pp. 177–191. ISBN 978-0-12-818983-2. [Google Scholar]
- Liao, Z.; Hua, N.; Chen, W.; Huang, Y.; Zhang, T. Correlations between the Wear Resistance and Properties of Bulk Metallic Glasses. Intermetallics 2018, 93, 290–298. [Google Scholar] [CrossRef]
- Fitriyana, D.F.; Caesarendra, W.; Nugroho, S.; Haryadi, G.D.; Herawan, M.A.; Rizal, M.; Ismail, R. The Effect of Compressed Air Pressure and Stand-off Distance on the Twin Wire Arc Spray (TWAS) Coating for Pump Impeller from AISI 304 Stainless Steel. Springer Proc. Phys. 2020, 242, 119–130. [Google Scholar] [CrossRef]
- Fitriyana, D.F.; Anis, S.; Rachman, A.; Qudus, A.; Aufa, M.; Lakuy, N.; Ismail, R.; Nugroho, S.; Haryadi, G.D.; Bayuseno, A.P. The Effect of Post-Heat Treatment on The Mechanical Properties of FeCrBMnSi Coatings Prepared by Twin Wire Arc Spraying (TWAS) Method on Pump Impeller From 304 Stainless Steel. J. Adv. Res. Fluid Mech. Therm. Sci. 2022, 2, 138–147. [Google Scholar] [CrossRef]
- Abutu, J.; Lawal, S.A.; Ndaliman, M.B.; Araga, R.A.L. An Overview of Brake Pad Production Using Non-Hazardous Reinforcement Materials. Acta Tech. Corvininesis-Bulletin Eng. 2018, 11, 143–156. [Google Scholar]
- Acharya, S.K.; Samantrai, S.P. The Friction and Wear Behaviour of Modified Rice Husk Filled Epoxy Composite. In Proceedings of the ACUN6 –Composites and Nanocomposites in Civil, Offshore and Mining Infrastructure, Melbourne, Australia, 14–16 November 2012. [Google Scholar]
- Arif, S.; Eko, W.S.R.; Rahmad, H. Penelitian Pendahuluan Laju Keausan Efektif Material Komposit Gergaji Kayu Jati Dengan Matriks Epoxy Untuk Aplikasi Kampas Rem Cakram. Semin. Nas. Teknol. Terap. 2021, 7, 1–5. [Google Scholar]
- Riza, M.; Aprilia, S.; Razali, N.; Fikry, M.R. Characterization of Eco-Friendly Composite Board as a Heat Insulator Based on Polypropylene Waste with Coconut Coir Filler. J. Appl. Technol. 2022, 1, 7–15. [Google Scholar]
- Cionita, T.; Siregar, J.P.; Shing, W.L.; Hee, C.W.; Fitriyana, D.F.; Jaafar, J.; Junid, R.; Irawan, A.P.; Hadi, A.E. The Influence of Filler Loading and Alkaline Treatment on the Mechanical Properties of Palm Kernel Cake Filler Reinforced Epoxy Composites. Polymers 2022, 14, 3063. [Google Scholar] [CrossRef]
- Samaei, S.E.; Mahabadi, H.A.; Mousavi, S.M.; Khavanin, A.; Faridan, M.; Taban, E. The Influence of Alkaline Treatment on Acoustical, Morphological, Tensile and Thermal Properties of Kenaf Natural Fibers. J. Ind. Text. 2022, 51, 8601S–8625S. [Google Scholar] [CrossRef]
- Matykiewicz, D. Biochar as an Effective Filler of Carbon Fiber Reinforced Bio-Epoxy Composites. Processes 2020, 8, 724. [Google Scholar] [CrossRef]
- Fernandesa, I.J.; Santos, R.V.; Dos Santos, E.C.A.; Rocha, T.L.A.C.; Junior, N.S.D.; Moraes, C.A.M. Replacement of Commercial Silica by Rice Husk Ash in Epoxy Composites: A Comparative Analysis. Mater. Res. 2018, 21, 1–10. [Google Scholar] [CrossRef]
- Bashir, M.; Qayoum, A.; Saleem, S.S. Influence of Lignocellulosic Banana Fiber on the Thermal Stability of Brake Pad Material. Mater. Res. Express 2019, 6, 115551. [Google Scholar] [CrossRef]
- Tian, H.; Yao, Y.; Liu, D.; Li, Y.; Jv, R.; Xiang, G.; Xiang, A. Enhanced Interfacial Adhesion and Properties of Polypropylene/Carbon Fiber Composites by Fiber Surface Oxidation in Presence of a Compatibilizer. Polym. Compos. 2019, 40, E654–E662. [Google Scholar] [CrossRef]
- Periasamy, K.; Kandare, E.; Das, R.; Darouie, M.; Khatibi, A.A. Interfacial Engineering Methods in Thermoplastic Composites: An Overview. Polymers 2023, 15, 415. [Google Scholar] [CrossRef] [PubMed]
- Azizi, H.; Eslami-Farsani, R. Study of Mechanical Properties of Basalt Fibers/Epoxy Composites Containing Silane-Modified Nanozirconia. J. Ind. Text. 2019, 51, 649–663. [Google Scholar] [CrossRef]








| Specifications | Al2O3 [42] | Fe2O3 [43] |
|---|---|---|
| Boiling point (°C) | 2980 | 3414 |
| Density (g/cm3) | 3.94 (at 20 °C) | 5.25 (at 25 °C) |
| Melting point (°C) | 2040 | 1565 |
| Molecular weight (g/mol) | 101.96 | 159.69 |
| Specifications | Standard |
|---|---|
| Epoxy resin type | Bisphenol A-Epichlorohydrin |
| Hardener type | Cyclonliphatic Amine (EPH-555) |
| Density at 25 ℃ (g/cm³) | 1.16 ± 0.02 |
| Flexural strength (MPa) | 81.3 |
| Compressive strength (MPa) | 88.2 |
| Tensile strength (MPa) | 63.7 |
| Elongation (%) | 6 |
| Viscocity at 25 ℃ (mPa.s) | 13,000 ± 2000 |
| Flash point (℃) | >250 |
| Specimen Code | Epoxy (wt.%) | Rice Husk (wt.%) | Al2O3 (wt.%) | Fe2O3 (wt.%) |
|---|---|---|---|---|
| BP_1 | 100 | 0 | 0 | 0 |
| BP_2 | 50 | 0 | 25 | 25 |
| BP_3 | 50 | 5 | 22.5 | 22.5 |
| BP_4 | 50 | 10 | 20 | 20 |
| BP_5 | 50 | 15 | 17.5 | 17.5 |
| BP_6 | 50 | 20 | 15 | 15 |
| Specimen Code | Density (g/cm3) | Hardness (HV) | Specific Wear Rates (10−7 mm2/kg) |
|---|---|---|---|
| BP_1 | 1.21 | 58.7 | 9.1 |
| BP_6 | 1.23 | 81.2 | 8.67 |
Disclaimer/Publisher’s Note: The statements, opinions and data contained in all publications are solely those of the individual author(s) and contributor(s) and not of MDPI and/or the editor(s). MDPI and/or the editor(s) disclaim responsibility for any injury to people or property resulting from any ideas, methods, instructions or products referred to in the content. |
© 2023 by the authors. Licensee MDPI, Basel, Switzerland. This article is an open access article distributed under the terms and conditions of the Creative Commons Attribution (CC BY) license (https://creativecommons.org/licenses/by/4.0/).
Share and Cite
Irawan, A.P.; Fitriyana, D.F.; Siregar, J.P.; Cionita, T.; Anggarina, P.T.; Utama, D.W.; Rihayat, T.; Rusiyanto, R.; Dimyati, S.; Aripin, M.B.; et al. Influence of Varying Concentrations of Epoxy, Rice Husk, Al2O3, and Fe2O3 on the Properties of Brake Friction Materials Prepared Using Hand Layup Method. Polymers 2023, 15, 2597. https://doi.org/10.3390/polym15122597
Irawan AP, Fitriyana DF, Siregar JP, Cionita T, Anggarina PT, Utama DW, Rihayat T, Rusiyanto R, Dimyati S, Aripin MB, et al. Influence of Varying Concentrations of Epoxy, Rice Husk, Al2O3, and Fe2O3 on the Properties of Brake Friction Materials Prepared Using Hand Layup Method. Polymers. 2023; 15(12):2597. https://doi.org/10.3390/polym15122597
Chicago/Turabian StyleIrawan, Agustinus Purna, Deni Fajar Fitriyana, Januar Parlaungan Siregar, Tezara Cionita, Paula Tjatoerwidya Anggarina, Didi Widya Utama, Teuku Rihayat, Rusiyanto Rusiyanto, Saeful Dimyati, Muhammad Bustanul Aripin, and et al. 2023. "Influence of Varying Concentrations of Epoxy, Rice Husk, Al2O3, and Fe2O3 on the Properties of Brake Friction Materials Prepared Using Hand Layup Method" Polymers 15, no. 12: 2597. https://doi.org/10.3390/polym15122597
APA StyleIrawan, A. P., Fitriyana, D. F., Siregar, J. P., Cionita, T., Anggarina, P. T., Utama, D. W., Rihayat, T., Rusiyanto, R., Dimyati, S., Aripin, M. B., Ismail, R., Bayuseno, A. P., Baskara, G. D., Khafidh, M., Putera, F. P., & Yotenka, R. (2023). Influence of Varying Concentrations of Epoxy, Rice Husk, Al2O3, and Fe2O3 on the Properties of Brake Friction Materials Prepared Using Hand Layup Method. Polymers, 15(12), 2597. https://doi.org/10.3390/polym15122597

