Proposal and Numerical Analysis of Organic/Sb2Se3 All-Thin-Film Tandem Solar Cell
Abstract
1. Introduction
2. Simulation Technique and Device Configurations
2.1. Simulation Environment
2.2. Subcell Device Structures
2.3. Calibration of Modeling Technique
2.4. Proposed Tandem Structures
3. Results and Discussion
3.1. Inverted (p-i-n)/(p-i-n) Tandem Design
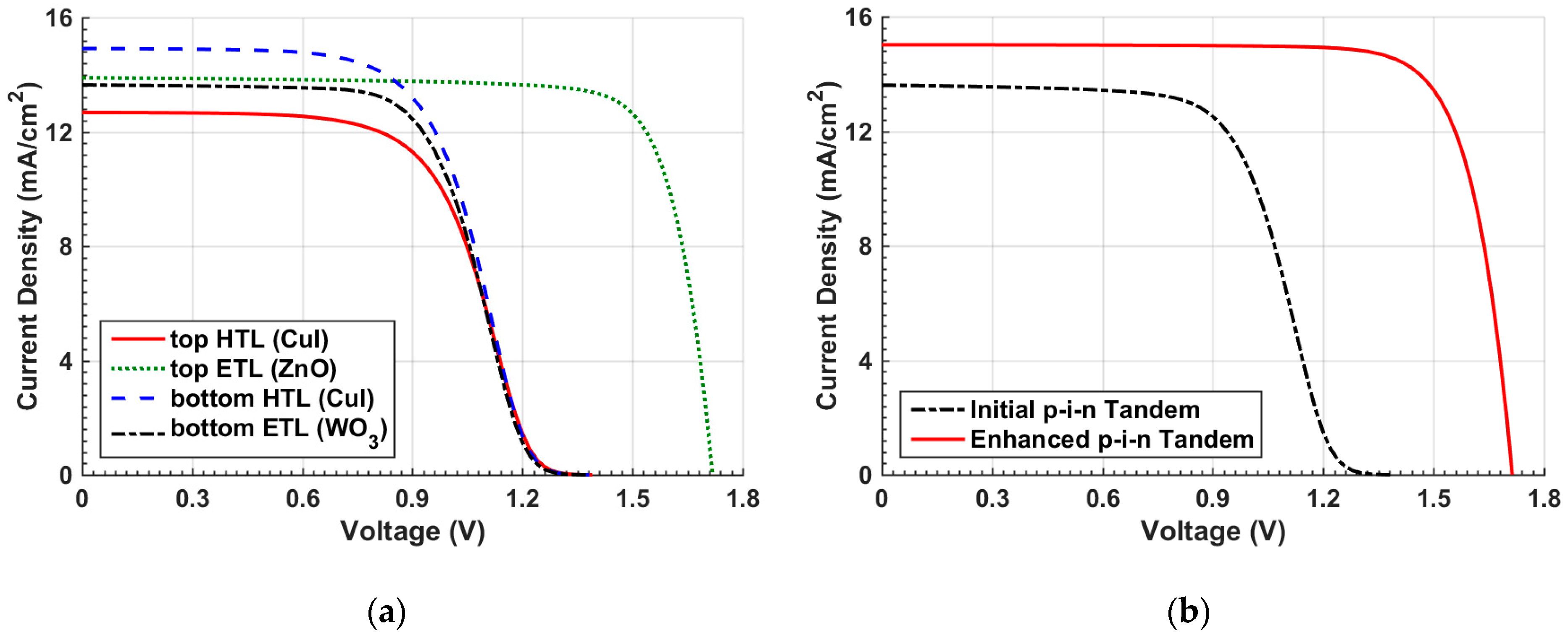
3.1.1. Optimization of Transport Layers Materials
3.1.2. Optimization of Top and Bottom Absorbers Thickness
3.2. Conventional (n-i-p)/(n-i-p) Tandem Design
3.2.1. Optimization of Transport Layers Materials
3.2.2. Optimization of Top and Bottom Absorbers Thickness
3.3. Comparison between n-i-p and p-i-n Tandem Designs
3.4. Comparison between Different Tandem Designs
4. Conclusions
Supplementary Materials
Author Contributions
Funding
Institutional Review Board Statement
Informed Consent Statement
Data Availability Statement
Acknowledgments
Conflicts of Interest
References
- Zekry, A. A road map for transformation from conventional to photovoltaic energy generation and its challenges. J. King Saud Univ. Eng. Sci. 2020, 32, 407–410. [Google Scholar] [CrossRef]
- Ismaila, Z.; Falode, O.A.; Diji, C.J.; Ikumapayi, O.M.; Awonusi, A.A.; Afolalu, S.A.; Akinlabi, E.T. A global overview of renewable energy strategies. AIMS Energy 2022, 10, 718–775. [Google Scholar] [CrossRef]
- Kim, J.Y.; Lee, K.; Coates, N.E.; Moses, D.; Nguyen, T.Q.; Dante, M.; Heeger, A.J. Efficient tandem polymer solar cells fabricated by all-solution processing. Science 2007, 317, 222–225. [Google Scholar] [CrossRef]
- Chen, X.; Jia, Z.; Chen, Z.; Jiang, T.; Bai, L.; Tao, F.; Yang, Y.M. Efficient and reproducible monolithic perovskite/organic tandem solar cells with low-loss interconnecting layers. Joule 2020, 4, 1594–1606. [Google Scholar] [CrossRef]
- Abdelaziz, S.; Zekry, A.; Shaker, A.; Abouelatta, M. Investigation of lead-free MASnI3-MASnIBr2 tandem solar cell: Numerical simulation. Opt. Mater. 2022, 123, 111893. [Google Scholar] [CrossRef]
- Green, M.A.; Dunlop, E.D.; Hohl-Ebinger, J.; Yoshita, M.; Kopidakis, N.; Bothe, K.; Hinken, D.; Rauer, M.; Hao, X. Solar cell efficiency tables (Version 60). Prog. Photovolt. Res. Appl. 2022, 30, 687–701. [Google Scholar] [CrossRef]
- Pastuszak, J.; Węgierek, P. Photovoltaic Cell Generations and Current Research Directions for Their Development. Materials 2022, 15, 5542. [Google Scholar] [CrossRef] [PubMed]
- Moslehi, M.M.; Kapur, P.; Kramer, J.; Rana, V.; Seutter, S.; Deshpande, A.; Stalcup, T.; Kommera, S.; Ashjaee, J.; Calcaterra, A.; et al. World-record 20.6% efficiency156 mm × 156 mm full-square solar cells using low-cost kerfless ultrathin epitaxial silicon & porous silicon lift-off technology for industry-leading high-performance smart PV modules. In Proceedings of the PV Asia Pacific Conference (APVIA/PVAP), Singapore, 22–24 October 2012. [Google Scholar]
- Salem, M.S.; Zekry, A.; Shaker, A.; Abouelatta, M. Design and simulation of proposed low cost solar cell structures based on heavily doped silicon wafers. In Proceedings of the 2016 IEEE 43rd Photovoltaic Specialists Conference (PVSC), Portland, OR, USA, 5–10 June 2016. [Google Scholar]
- Salem, M.S.; Alzahrani, A.J.; Ramadan, R.A.; Alanazi, A.; Shaker, A.; Abouelatta, M.; Zekry, A. Physically based analytical model of heavily doped silicon wafers based proposed solar cell microstructure. IEEE Access 2020, 8, 138898–138906. [Google Scholar] [CrossRef]
- Singh, V.K.; Nagaraju, J.; Avasthi, S. Radial junction silicon solar cells with micro-pillar array and planar electrode interface for improved photon management and carrier extraction. Curr. Appl. Phys. 2019, 19, 341–346. [Google Scholar] [CrossRef]
- Zhang, Y.; Liu, H. Nanowires for High-Efficiency, Low-Cost Solar Photovoltaics. Crystals 2019, 9, 87. [Google Scholar] [CrossRef]
- Zhang, S.; Zhang, T.; Liu, Z.; Wang, J.; Yu, L.; Xu, J.; Chen, K.; Cabarrocas, P.R. Highly flexible radial tandem junction thin film solar cells with excellent power-to-weight ratio. Nano Energy 2021, 86, 106121. [Google Scholar] [CrossRef]
- Elanzeery, H.; Babbe, F.; Melchiorre, M.; Werner, F.; Siebentritt, S. High-performance low bandgap thin film solar cells for tandem applications. Prog. Photovolt. Res. Appl. 2018, 26, 437–442. [Google Scholar] [CrossRef]
- Jacobsson, T.J.; Hultqvist, A.; Svanstrom, S.; Riekehr, L.; Cappel, U.B.; Unger, E.; Rensmo, H.; Johansson, E.M.J.; Edoff, M.; Boschloo, G. 2-Terminal CIGS perovskite tandem cells: A layer by layer exploration. Sol. Energy 2020, 207, 270–288. [Google Scholar] [CrossRef]
- Xie, Y.M.; Xue, Q.; Yao, Q.; Xie, S.; Niu, T.; Yip, H.L. Monolithic perovskite/organic tandem solar cells: Developments, prospects, and challenges. Nano Sel. 2021, 2, 1266–1276. [Google Scholar] [CrossRef]
- Lin, R.; Xiao, K.E.; Qin, Z.; Han, Q.; Zhang, C.; Wei, M.; Saidaminov, M.I.; Gao, Y.; Xu, J.; Xiao, M.; et al. Monolithic all-perovskite tandem solar cells with 24.8% efficiency exploiting comproportionation to suppress Sn(ii) oxidation in precursor ink. Nat. Energy 2019, 4, 864–873. [Google Scholar] [CrossRef]
- Ward, J.S.; Ramanathan, K.; Hasoon, F.S.; Coutts, T.J.; Keane, J.; Contreras, M.A.; Moriarty, T.; Noufi, R. A 21.5% efficient Cu(In,Ga)Se2 thin-film concentrator solar cell. Prog. Photovolt. Res. Appl. 2002, 10, 41–46. [Google Scholar] [CrossRef]
- Salhi, B. The Photovoltaic Cell Based on CIGS: Principles and Technologies. Materials 2022, 15, 1908. [Google Scholar] [CrossRef] [PubMed]
- Zhang, W.; Huang, L.; Zheng, W.; Zhou, S.; Hu, X.; Zhou, J.; Li, J.; Liang, J.; Ke, W.; Fang, G. Revealing key factors of efficient narrow-bandgap mixed lead-tin perovskite solar cells via numerical simulations and experiments. Nano Energy 2022, 96, 107078. [Google Scholar] [CrossRef]
- Chen, C.; Bobela, D.C.; Yang, Y.; Lu, S.; Zeng, K.; Ge, C.; Yang, B.; Gao, L.; Zhao, Y.; Beard, M.C.; et al. Characterization of basic physical properties of Sb2Se3 and its relevance for photovoltaics. Front. Optoelectron. 2017, 10, 18–30. [Google Scholar] [CrossRef]
- Chen, C.; Tang, J. Open-circuit voltage loss of antimony chalcogenide solar cells: Status, origin, and possible solutions. ACS Energy Lett. 2020, 5, 2294–2304. [Google Scholar] [CrossRef]
- Salem, M.S.; Shaker, A.; Abouelatta, M.; Alanazi, A.; Al-Dhlan, K.A.; Almurayziq, T.S. Numerical analysis of hole transport layer-free antimony selenide solar cells: Possible routes for efficiency promotion. Opt. Mater. 2022, 129, 112473. [Google Scholar] [CrossRef]
- Abbas, S.; Bajgai, S.; Chowdhury, S.; Najm, A.S.; Jamal, M.S.; Techato, K.; Channumsin, S.; Sreesawet, S.; Channumsin, M.; Laref, A.; et al. Numerical simulation of the performance of Sb2Se3 solar cell via optimizing the optoelectronic properties based SCAPS-1D. Materials 2022, 15, 6272. [Google Scholar] [CrossRef]
- Shaker, A.; Salem, M.S.; Jayan, K.D. Analysis and design of pn homojunction Sb2Se3 solar cells by numerical simulation. Sol. Energy 2022, 242, 276–286. [Google Scholar] [CrossRef]
- Leng, M.; Luo, M.; Chen, C.; Qin, S.; Chen, J.; Zhong, J.; Tang, J. Selenization of Sb2Se3 absorber layer: An efficient step to improve device performance of CdS/Sb2Se3 solar cells. Appl. Phys. Lett. 2014, 105, 083905. [Google Scholar] [CrossRef]
- Zhao, Y.; Wang, S.; Li, C.; Che, B.; Chen, X.; Chen, H.; Tang, R.; Wang, X.; Chen, G.; Wang, T.; et al. Regulating deposition kinetics via a novel additive-assisted chemical bath deposition technology enables fabrication of 10.57%-efficiency Sb2Se3 solar cells. Energy Environ. Sci. 2022, 15, 5118–5128. [Google Scholar] [CrossRef]
- Zhang, J.; Lian, W.; Yin, Y.; Wang, X.; Tang, R.; Qian, C.; Hao, X.; Zhu, C.; Chen, T. All antimony chalcogenide tandem solar cell. Sol. RRL 2020, 4, 2000048. [Google Scholar] [CrossRef]
- Cao, Y.; Liu, C.; Jiang, J.; Zhu, X.; Zhou, J.; Ni, J.; Zhang, J.; Pang, J.; Rummeli, M.H.; Zhou, W.; et al. Theoretical Insight into High-Efficiency Triple-Junction Tandem Solar Cells via the Band Engineering of Antimony Chalcogenides. Sol. RRL 2021, 5, 2000800. [Google Scholar] [CrossRef]
- Green, M.A.; Dunlop, E.D.; Siefer, G.; Yoshita, M.; Kopidakis, N.; Bothe, K.; Hao, X. Solar cell efficiency tables (Version 61). Prog. Photovolt. Res. Appl. 2023, 31, 3–16. [Google Scholar] [CrossRef]
- Zheng, Z.; Zhang, S.; Zhang, J.; Qin, Y.; Li, W.; Yu, R.; Wei, Z.; Hou, J. Over 11% Efficiency in Tandem Polymer Solar Cells Featured by a Low-Band-Gap Polymer with Fine-Tuned Properties. Adv. Mater. 2016, 28, 5133–5138. [Google Scholar] [CrossRef] [PubMed]
- Zhang, K.; Ying, L.; Yip, H.L.; Huang, F.; Cao, Y. Toward efficient tandem organic solar cells: From materials to device engineering. ACS Appl. Mater. Interfaces 2020, 12, 39937–39947. [Google Scholar] [CrossRef]
- Che, X.; Li, Y.; Qu, Y.; Forrest, S.R. High fabrication yield organic tandem photovoltaics combining vacuum- and solution-processed subcells with 15% efficiency. Nat. Energy 2018, 3, 422–427. [Google Scholar] [CrossRef]
- Xu, X.; Li, Y.; Peng, Q. Recent advances toward highly efficient tandem organic solar cells. Small Struct. 2020, 1, 2000016. [Google Scholar] [CrossRef]
- Lee, S.H.; Lee, J.Y. Homo-tandem structures to achieve the ideal external quantum efficiency in small molecular organic solar cells. Opt. Express 2018, 26, A697–A708. [Google Scholar] [CrossRef] [PubMed]
- Li, M.; Gao, K.; Wan, X.; Zhang, Q.; Kan, B.; Xia, R.; Chen, Y. Solution-processed organic tandem solar cells with power conversion efficiencies > 12%. Nat. Photonics 2017, 11, 85–90. [Google Scholar] [CrossRef]
- Jia, Z.; Qin, S.; Meng, L.; Ma, Q.; Angunawela, I.; Zhang, J.; Li, X.; He, Y.; Lai, W.; Li, N.; et al. High performance tandem organic solar cells via a strongly infrared-absorbing narrow bandgap acceptor. Nat. Commun. 2021, 12, 178. [Google Scholar] [CrossRef]
- Liu, D.; Tang, R.; Ma, Y.; Jiang, C.; Lian, W.; Li, G.; Han, W.; Zhu, C.; Chen, T. Direct hydrothermal deposition of antimony triselenide films for efficient planar heterojunction solar cells. ACS Appl. Mater. Interfaces 2021, 13, 18856–18864. [Google Scholar] [CrossRef]
- Guichard, E. Silvaco TCAD. 2022. Available online: https://nanohub.org/resources/silvacotcad (accessed on 10 May 2023).
- Salem, M.S.; Shaker, A.; Zekry, A.; Abouelatta, M.; Alanazi, A.; Alshammari, M.T.; Gontand, C. Analysis of hybrid hetero-homo junction lead-free perovskite solar cells by SCAPS simulator. Energies 2021, 14, 5741. [Google Scholar] [CrossRef]
- Salah, M.M.; Abouelatta, M.; Shaker, A.; Hassan, K.M.; Saeed, A. A comprehensive simulation study of hybrid halide perovskite solar cell with copper oxide as HTM. Semicond. Sci. Technol. 2019, 34, 115009. [Google Scholar] [CrossRef]
- Basak, A.; Singh, U.P. Numerical modelling and analysis of earth abundant Sb2S3 and Sb2Se3 based solar cells using SCAPS-1D. Sol. Energy Mater. Sol. Cells 2021, 230, 111184. [Google Scholar] [CrossRef]
- Gamal, N.; Sedky, S.H.; Shaker, A.; Fedawy, M. Design of lead-free perovskite solar cell using Zn1-xMgxO as ETL: SCAPS device simulation. Optik 2021, 242, 167306. [Google Scholar] [CrossRef]
- Salem, M.S.; Shaker, A.; Othman, M.S.; Al-Bagawia, A.H.; Fedawy, M.; Aleid, G.M. Numerical analysis and design of high performance HTL-free antimony sulfide solar cells by SCAPS-1D. Opt. Mater. 2022, 123, 111880. [Google Scholar] [CrossRef]
- Aeberhard, U.; Schiller, A.; Masson, Y.; Zeder, S.J.; Blülle, B.; Ruhstaller, B. Analysis and Optimization of Organic Tandem Solar Cells by Full Opto-Electronic Simulation. Front. Photonics 2022, 3, 16. [Google Scholar] [CrossRef]
- Minemoto, T.; Murata, M. Theoretical analysis on effect of band offsets in perovskite solar cells. Sol. Energy Mater. Sol. Cells 2015, 133, 8–14. [Google Scholar] [CrossRef]
- Peng, Y.; Yaacobi-Gross, N.; Perumal, A.K.; Faber, H.A.; Vourlias, G.; Patsalas, P.A.; Bradley, D.D.; He, Z.; Anthopoulos, T.D. Efficient organic solar cells using copper (I) iodide (CuI) hole transport layers. Appl. Phys. Lett. 2015, 106, 243302. [Google Scholar] [CrossRef]
- Zhong, Y.; Li, Y.; Lan, X.; Wang, J.; Wang, J.; Zhang, Y. Enhancing Efficiency and Stability of Polymer Solar Cells Based on CuI Nanoparticles as the Hole Transport Layer. IEEE J. Photovolt. 2021, 11, 668–673. [Google Scholar] [CrossRef]
- Kadam, K.D.; Kim, H.; Rehman, S.; Patil, H.; Aziz, J.; Dongale, T.D.; Khan, M.F.; Kim, D.K. Optimization of ZnO: PEIE as an electron transport layer for flexible organic solar cells. Energy Fuels 2021, 35, 12416–12424. [Google Scholar] [CrossRef]
- Wang, Y.; Ji, S.; Shin, B. Interface engineering of antimony selenide solar cells: A review on the optimization of energy band alignments. J. Phys. Energy 2022, 4, 044002. [Google Scholar] [CrossRef]
- Wang, L.; Li, D.B.; Li, K.; Chen, C.; Deng, H.X.; Gao, L.; Zhao, Y.; Jiang, F.; Li, L.; Huang, F.; et al. STable 6%-efficient Sb2Se3 solar cells with a ZnO buffer layer. Nat. Energy 2017, 2, 17046. [Google Scholar] [CrossRef]
- Dong, J.; Liu, Y.; Wang, Z.; Zhang, Y. Boosting VOC of antimony chalcogenide solar cells: A review on interfaces and defects. Nano Sel. 2021, 2, 1818–1848. [Google Scholar] [CrossRef]
- Jan, S.T.; Noman, M. Influence of layer thickness, defect density, doping concentration, interface defects, work function, working temperature and reflecting coating on lead-free perovskite solar cell. Sol. Energy 2022, 237, 29–43. [Google Scholar]
- Yang, J.; Luo, X.; Zhou, Y.; Li, Y.; Qiu, Q.; Xie, T. Recent Advances in Inverted Perovskite Solar Cells: Designing and Fabrication. Int. J. Mol. Sci. 2022, 23, 11792. [Google Scholar] [CrossRef] [PubMed]
- Tran, H.N.; Dao, D.Q.; Yoon, Y.J.; Shin, Y.S.; Choi, J.S.; Kim, J.Y.; Cho, S. Inverted polymer solar cells with annealing-free solution-processable NiO. Small 2021, 17, 2101729. [Google Scholar] [CrossRef] [PubMed]
- Okil, M.; Shaker, A.; IAhmed, I.S.; Abdolkader, T.M.; Salem, M.S. Design and analysis of Sb2S3/Si thin film tandem solar cell. Sol. Energy Mater. Sol. Cells 2023, 253, 112210. [Google Scholar] [CrossRef]
- Okil, M.; Shaker, A.; Salah, M.M.; Abdolkader, T.M.; Ahmed, I.S. Investigation of Polymer/Si Thin Film Tandem Solar Cell Using TCAD Numerical Simulation. Polymers 2023, 15, 2049. [Google Scholar] [CrossRef]
- Park, H.; Park, S.H.; Lee, S.W.; Kang, Y.; Kim, D.; Son, H.J.; Lee, H.S. Novel Polymer-Based Organic/c-Si Monolithic Tandem Solar Cell: Enhanced Efficiency using Interlayer and Transparent Top Electrode Engineering. Macromol. Rapid Commun. 2021, 42, 2100305. [Google Scholar] [CrossRef]
- Firdaus, Y.; He, Q.; Lin, Y.; Nugroho, F.A.A.; Le Corre, V.M.; Yengel, E.; Balawi, A.H.; Seitkhan, A.; Laquai, F.; Langhammer, C.; et al. Novel wide-bandgap non-fullerene acceptors for efficient tandem organic solar cells. J. Mater. Chem. A 2020, 8, 1164–1175. [Google Scholar] [CrossRef]














| Parameters | CdS [38,41,42] | Sb2Se3 [38,42] | Spiro-OMeTAD [38,43,44] | PEDOT:PSS [36,45] | DR3TSBDT :PC71BM [36,45] | PFN [36,45] |
|---|---|---|---|---|---|---|
| Thickness (nm) | 30 | 200 | 200 | 40 | 125 | 5 |
| VBM (eV) | −6.58 | −5.08 | −5.22 | −4.9 | −5.07 | −3.1 |
| CBM (eV) | −4.18 | −3.85 | −2.05 | −3.6 | −4 | −3.9 |
| Relative permittivity | 10 | 10 | 3 | 3.5 | 3 | 3.5 |
| Electron mobility (cm2/Vs) | 100 | 5 | 2 × 10−4 | 1 × 10−4 | 2 × 10−5 | 1 × 10−5 |
| Hole mobility (cm2/Vs) | 25 | 2 | 2 × 10−4 | 2 × 10−5 | 1.6 × 10−5 | 1 × 10−7 |
| CB effective DOS (cm−3) | 2.5 × 1018 | 2.2 × 1018 | 2.2 × 1018 | 1 × 1021 | 1 × 1021 | 1 × 1021 |
| VB effective DOS (cm−3) | 1.9 × 1019 | 1.8 × 1019 | 1.8 × 1019 | 1 × 1021 | 1 × 1021 | 1 × 1021 |
| Donor density (cm−3) | 3.25 × 1017 | - | - | - | - | - |
| Acceptor Density (cm−3) | - | 1 × 1015 | 2 × 1019 | 1 × 1019 | - | - |
| PV Metrics | Jsc (mA/cm2) | Voc (V) | FF (%) | PCE (%) | |
|---|---|---|---|---|---|
| Organic Cell | Exp. data | 0.914 ± 0.010 | 14.36 ± 0.17 | 72.0 ± 1.0 | 9.45 ± 0.24 |
| Simulation | 0.918 | 14.33 | 75 | 9.86 | |
| Sb2Se3 Cell | Exp. data | 0.449 | 28.30 | 62.10 | 7.89 |
| Simulation | 0.452 | 28.25 | 62.10 | 7.93 | |
| Jsc (mA/cm2) | Voc (V) | FF (%) | PCE (%) | Δξ (%) | |
|---|---|---|---|---|---|
| Initial | 13.61 | 1.38 | 60.21 | 11.28 | 0 |
| Top HTL (CuI) | 12.68 | 1.38 | 58.18 | 10.17 | −9.84 |
| Top ETL (ZnO) | 13.89 | 1.72 | 79.85 | 19.05 | 68.88 |
| Bottom HTL (CuI) | 14.91 | 1.37 | 57.92 | 11.86 | 5.14 |
| Bottom ETL (WO3) | 13.64 | 1.37 | 60.04 | 11.19 | −0.80 |
| Enhanced with (ZnO & CuI) | 15.02 | 1.71 | 79.51 | 20.45 | 81.29 |
| Jsc (mA/cm2) | Voc (V) | FF (%) | PCE (%) | |
|---|---|---|---|---|
| Top cell | 17.03 | 0.92 | 75.24 | 11.86 |
| Bottom cell | 17.03 | 0.76 | 74.83 | 9.70 |
| Tandem cell | 17.03 | 1.68 | 74.86 | 21.52 |
| Jsc (mA/cm2) | Voc (V) | FF (%) | PCE (%) | Δξ (%) | |
|---|---|---|---|---|---|
| Initial | 14.32 | 1.36 | 74.65 | 14.50 | 0 |
| Top ETL (ZnO) | 14.27 | 1.36 | 74.59 | 14.43 | −0.48 |
| Top HTL (CuI) | 13.53 | 1.37 | 76.93 | 14.27 | −1.59 |
| Bottom ETL (WO3) | 14.30 | 1.63 | 75.61 | 17.57 | 21.17 |
| Bottom HTL (CuI) | 14.32 | 1.36 | 74.70 | 14.51 | 0.07 |
| Enhanced with (WO3 & CuI) | 14.30 | 1.63 | 75.63 | 17.58 | 21.24 |
| Jsc (mA/cm2) | Voc (V) | FF (%) | PCE (%) | |
|---|---|---|---|---|
| Top cell | 15.73 | 0.92 | 75.08 | 10.88 |
| Bottom cell | 15.73 | 0.70 | 75.28 | 8.31 |
| Tandem cell | 15.73 | 1.62 | 74.92 | 19.14 |
| Front/Rear Subcells | Jsc (mA/cm2) | Voc (V) | FF (%) | PCE (%) | REF. |
|---|---|---|---|---|---|
| Sb2S3/Si | 18.04 | 1.64 | 82.41 | 24.34 | [56] |
| Polymer/Si | 16.43 | 2.04 | 84.81 | 28.41 | [57] |
| Organic/Si (4T) | - | - | - | 15.15 | [58] |
| Sb2S3/Sb2Se3 (4T) | - | - | - | 7.93 | [28] |
| Sb2S3/Sb2(S0.7Se0.3)3/Sb2Se3 | 11.08 | 3.44 | 86.49 | 32.98 | [29] |
| PBDB-T:IDTTA/ PTB7-Th:IEICO-4F | 13.10 | 1.68 | 68.00 | 14.70 | [59] |
| p-i-n Organic /p-i-n Sb2Se3 | 17.03 | 1.68 | 74.86 | 21.52 | This work |
| n-i-p Organic /n-i-p Sb2Se3 | 15.73 | 1.62 | 74.92 | 19.14 | This work |
Disclaimer/Publisher’s Note: The statements, opinions and data contained in all publications are solely those of the individual author(s) and contributor(s) and not of MDPI and/or the editor(s). MDPI and/or the editor(s) disclaim responsibility for any injury to people or property resulting from any ideas, methods, instructions or products referred to in the content. |
© 2023 by the authors. Licensee MDPI, Basel, Switzerland. This article is an open access article distributed under the terms and conditions of the Creative Commons Attribution (CC BY) license (https://creativecommons.org/licenses/by/4.0/).
Share and Cite
Alanazi, T.I.; Alanazi, A.; Touti, E.; Agwa, A.M.; Kraiem, H.; Alanazi, M.; Alanazi, A.M.; El Sabbagh, M. Proposal and Numerical Analysis of Organic/Sb2Se3 All-Thin-Film Tandem Solar Cell. Polymers 2023, 15, 2578. https://doi.org/10.3390/polym15112578
Alanazi TI, Alanazi A, Touti E, Agwa AM, Kraiem H, Alanazi M, Alanazi AM, El Sabbagh M. Proposal and Numerical Analysis of Organic/Sb2Se3 All-Thin-Film Tandem Solar Cell. Polymers. 2023; 15(11):2578. https://doi.org/10.3390/polym15112578
Chicago/Turabian StyleAlanazi, Tarek I., Abdulaziz Alanazi, Ezzeddine Touti, Ahmed M. Agwa, Habib Kraiem, Mohana Alanazi, Abdulrahman M. Alanazi, and Mona El Sabbagh. 2023. "Proposal and Numerical Analysis of Organic/Sb2Se3 All-Thin-Film Tandem Solar Cell" Polymers 15, no. 11: 2578. https://doi.org/10.3390/polym15112578
APA StyleAlanazi, T. I., Alanazi, A., Touti, E., Agwa, A. M., Kraiem, H., Alanazi, M., Alanazi, A. M., & El Sabbagh, M. (2023). Proposal and Numerical Analysis of Organic/Sb2Se3 All-Thin-Film Tandem Solar Cell. Polymers, 15(11), 2578. https://doi.org/10.3390/polym15112578

