Modification of the Structure and Linear/Nonlinear Optical Characteristics of PVA/Chitosan Blend through CuO Doping for Eco-Friendly Applications
Abstract
1. Introduction
2. Methods and Materials
3. Results and Discussion
3.1. Morphological Analysis
3.2. FT-IR Analysis
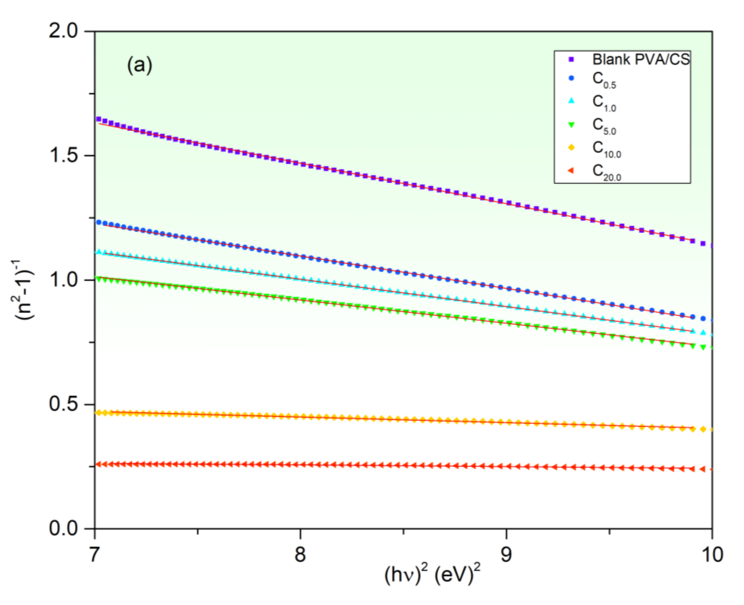
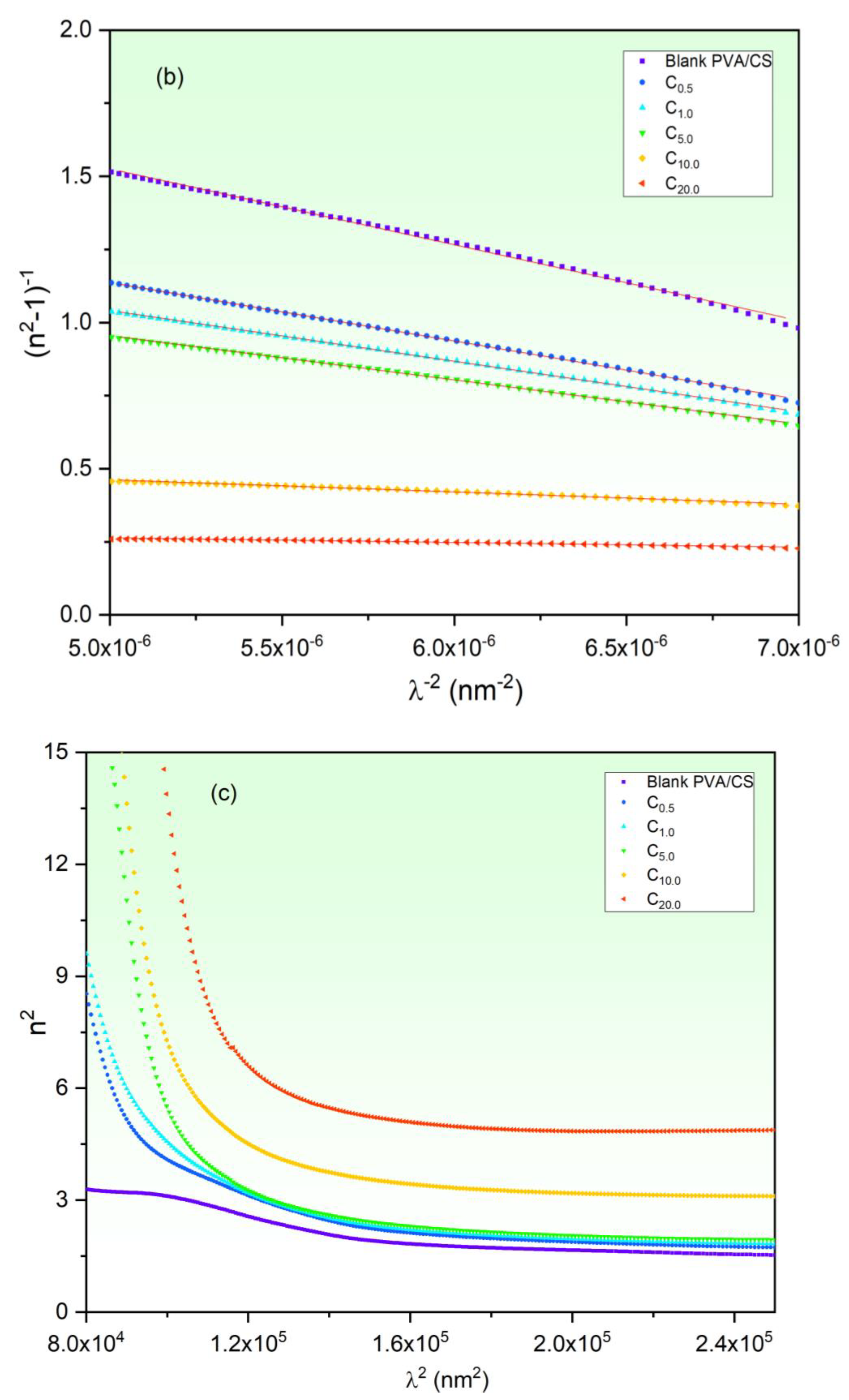
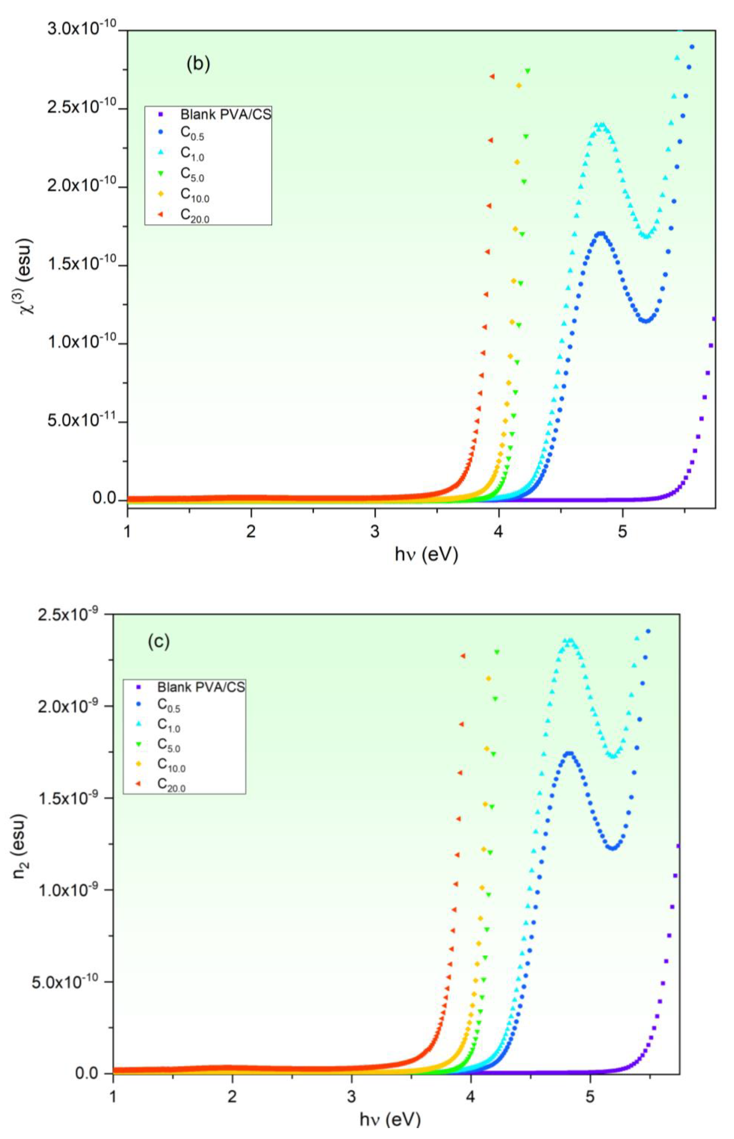
3.3. UV/Vis/NIR Investigations
4. Conclusions
Author Contributions
Funding
Institutional Review Board Statement
Data Availability Statement
Acknowledgments
Conflicts of Interest
References
- Prabaharan, M. Chitosan-based nanoparticles for tumor-targeted drug delivery. Int. J. Biol. Macromol. 2015, 72, 1313–1322. [Google Scholar] [CrossRef] [PubMed]
- Khairy, Y.; Mohammed, M.I.; Elsaeedy, H.I.; Yahia, I.S. Optical and electrical properties of SnBr2-doped polyvinyl alcohol (PVA) polymeric solid electrolyte for electronic and optoelectronic applications. Optik 2021, 228, 166129. [Google Scholar] [CrossRef]
- Das, M.; Sethy, P.P.; Singh, U.P.; Sundaray, B. Effect of graphene loadings on electrical properties of polyaniline-polystyrene blend film. J. Mater. Sci. Mater. Electron. 2022, 33, 25174–25185. [Google Scholar] [CrossRef]
- El-naggar, A.M.; Alsaggaf, A.; Heiba, Z.K.; Kamal, A.M.; Aldhafiri, A.M.; Fatehmulla, A.; Mohamed, M.B. Exploring the structural, optical and electrical characteristics of PVA/PANi blends. Opt. Mater. 2023, 139, 113771. [Google Scholar] [CrossRef]
- El-Naggar, A.M.; Heiba, Z.K.; Kamal, A.M.; Abd-Elkader, O.H.; Mohamed, M.B. Impact of ZnS/Mn on the Structure, Optical, and Electric Properties of PVC Polymer. Polymers 2023, 15, 2091. [Google Scholar] [CrossRef]
- Badawi, A. Engineering the optical properties of PVA/PVP polymeric blend in situ using tin sulfide for optoelectronics. Appl. Phys. A 2020, 126, 335. [Google Scholar] [CrossRef]
- El-naggar, A.M.; Heiba, Z.K.; Kamal, A.M.; Lakshminarayana, G.; Abd-Elkader, O.H.; Mohamed, M.B. Preparation of PVA/CMC/PVP blended polymer loaded with ZnS1-xCux; investigation of structural and linear/nonlinear optical properties. Opt. Mater. 2022, 133, 113066. [Google Scholar] [CrossRef]
- Zyoud, S.H.; AlAbdulaal, T.H.; Almoadi, A.; Alqahtani, M.S.; Harraz, F.A.; Al-Assiri, M.S.; Yahia, I.S.; Zahran, H.Y.; Mohammed, M.I.; Abdel-wahab, M.S. Linear/Nonlinear Optical Characteristics of ZnO-Doped PVA/PVP Polymeric Films for Electronic and Optical Limiting Applications. Crystals 2023, 13, 608. [Google Scholar] [CrossRef]
- Taha, T.A.; Alzara, M.A.A. Synthesis, thermal and dielectric performance of PVA-SrTiO3 polymer nanocomposites. J. Mol. Struct. 2021, 1238, 130401. [Google Scholar] [CrossRef]
- Rinaudo, M. Chitin and chitosan: Properties and applications. Prog. Polym. Sci. 2006, 31, 603–632. [Google Scholar] [CrossRef]
- Abdelrazek, E.M.; Elashmawi, I.S.; Labeeb, S. Chitosan filler effects on the experimental characterization, spectroscopic investigation and thermal studies of PVA/PVP blend films. Phys. B Condens. Matter 2010, 405, 2021–2027. [Google Scholar] [CrossRef]
- Alharthi, S.S.; Althobaiti, M.G.; Alkathiri, A.A.; Ali, E.E.; Badawi, A. Exploring the functional properties of PVP/PVA blend incorporated with non-stoichiometric SnS for optoelectronic devices. J. Taibah Univ. Sci. 2022, 16, 317–329. [Google Scholar] [CrossRef]
- Alsulami, Q.A.; Rajeh, A. Modification and development in the microstructure of PVA/CMC-GO/Fe3O4 nanocomposites films as an application in energy storage devices and magnetic electronics industry. Ceram. Int. 2023, 49, 14399–14407. [Google Scholar] [CrossRef]
- Rani, P.; Deshmukh, K.; Kadlec, J.; Krishna Karthik, T.V.; Khadheer Pasha, S.K. Dielectric properties of graphene/nano-Fe2O3 filled poly (vinyl alcohol)/Chitosan blends. Mater. Chem. Phys. 2023, 295, 126986. [Google Scholar] [CrossRef]
- Pashameah, R.A.; El-Sharnouby, M.; El-Askary, A.; El-Morsy, M.A.; Ahmed, H.A.; Menazea, A.A. Optical, Structural, Electrical Characterization of (Polyvinyl Alcohol–Carboxymethyl Cellulose-Manganese Dioxide) Nanocomposite Fabricated via Laser Ablation. J. Inorg. Organomet. Polym. Mater. 2022, 32, 2863–2872. [Google Scholar] [CrossRef]
- Norouzi, F.; Pourmadadi, M.; Yazdian, F.; Khoshmaram, K.; Mohammadnejad, J.; Sanati, M.H.; Chogan, F.; Rahdar, A.; Baino, F. PVA-Based Nanofibers Containing Chitosan Modified with Graphene Oxide and Carbon Quantum Dot-Doped TiO2 Enhance Wound Healing in a Rat Model. J. Funct. Biomater. 2022, 13, 300. [Google Scholar] [CrossRef]
- Venkataprasanna, K.S.; Prakash, J.; Vignesh, S.; Bharath, G.; Venkatesan, M.; Banat, F.; Sahabudeen, S.; Ramachandran, S.; Devanand Venkatasubbu, G. Fabrication of Chitosan/PVA/GO/CuO patch for potential wound healing application. Int. J. Biol. Macromol. 2020, 143, 744–762. [Google Scholar] [CrossRef]
- Tauc, J. Amorphous and Liquid Semiconductors; Springer: Boston, MA, USA, 1974. [Google Scholar]
- Badawi, A. Effect of the non-toxic Ag2S quantum dots size on their optical properties for environment-friendly applications. Phys. E Low-Dimens. Syst. Nanostructures 2019, 109, 107–113. [Google Scholar] [CrossRef]
- El-naggar, A.M.; Heiba, Z.K.; Mohamed, M.B.; Kamal, A.M.; Lakshminarayana, G.; Abd-Elkader, O.H. Effect of MnS/ZnS nanocomposite on the structural, linear and nonlinear optical properties of PVA/CMC blended polymer. Opt. Mater. 2022, 128, 112379. [Google Scholar] [CrossRef]
- Shamekh, A.M.A.; Shaalan, N.M.; Hanafy, T.A.; Rashad, M. Linear/nonlinear optical properties of functional inorganic MgO nano-filler in PVA transparent polymer for flexible optoelectronic devices. Phys. B Condens. Matter 2023, 651, 414617. [Google Scholar] [CrossRef]
- Wemple, S.H.; DiDomenico, M. Behavior of the Electronic Dielectric Constant in Covalent and Ionic Materials. Phys. Rev. B 1971, 3, 1338–1351. [Google Scholar] [CrossRef]
- Palik, E.D. Handbook of Optical Constants of Solids; Academic Press Handbook: New York, NY, USA, 1985. [Google Scholar]
- Abdelrazek, E.M.; Ragab, H.M. Spectroscopic and dielectric study of iodine chloride doped PVA/PVP blend. Indian J. Phys. 2015, 89, 577–585. [Google Scholar] [CrossRef]
- Elhosiny Ali, H.; Algarni, H.; Yahia, I.S.; Khairy, Y. Optical absorption and linear/nonlinear parameters of polyvinyl alcohol films doped by fullerene. Chin. J. Phys. 2021, 72, 270–285. [Google Scholar] [CrossRef]
- El-naggar, A.M.; Heiba, Z.K.; Mohamed, M.B.; Kamal, A.M.; Osman, M.M.; Albassam, A.A.; Lakshminarayana, G. Improvement of the optical characteristics of PVA/PVP blend with different concentrations of SnS2/Fe. J. Vinyl Addit. Technol. 2022, 28, 82–93. [Google Scholar] [CrossRef]
- Ismail, M.S.; Elamin, A.A.; Abdel-Wahab, F.; Elbashar, Y.H.; Mahasen, M.M. Improving the refractive index by engineering PbS/PVA nano polymer composite for optoelectronic applications. Opt. Mater. 2022, 131, 112639. [Google Scholar] [CrossRef]
- Soliman, T.S.; Zaki, M.F.; Hessien, M.M.; Elkalashy, S.I. The structure and optical properties of PVA-BaTiO3 nanocomposite films. Opt. Mater. 2021, 111, 110648. [Google Scholar] [CrossRef]
- Elango, M.; Deepa, M.; Subramanian, R.; Musthafa, A.M. Synthesis, Characterization, and Antibacterial Activity of Polyindole/Ag–Cuo Nanocomposites by Reflux Condensation Method. Polym. -Plast. Technol. Eng. 2018, 57, 1440–1451. [Google Scholar] [CrossRef]
- Abdullah, O.G.; Aziz, S.B.; Rasheed, M.A. Structural and optical characterization of PVA:KMnO4 based solid polymer electrolyte. Results Phys. 2016, 6, 1103–1108. [Google Scholar] [CrossRef]
- Alharthi, S.S.; Alzahrani, A.; Razvi, M.A.N.; Badawi, A.; Althobaiti, M.G. Spectroscopic and Electrical Properties of Ag2S/PVA Nanocomposite Films for Visible-Light Optoelectronic Devices. J. Inorg. Organomet. Polym. Mater. 2020, 30, 3878–3885. [Google Scholar] [CrossRef]
- Gu, Y.; Tang, L.; Guo, X.; Xiang, J.; Seng Teng, K.; Ping Lau, S. Preparation and photoelectric properties of cadmium sulfide quantum dots. Chin. Phys. B 2019, 28, 047803. [Google Scholar] [CrossRef]
- Zidan, H.M.; Abdelrazek, E.M.; Abdelghany, A.M.; Tarabiah, A.E. Characterization and some physical studies of PVA/PVP filled with MWCNTs. J. Mater. Res. Technol. 2019, 8, 904–913. [Google Scholar] [CrossRef]
- Al-Hakimi, A.N.; Asnag, G.M.; Alminderej, F.; Alhagri, I.A.; Al-Hazmy, S.M.; Qahtan, T.F. Enhancing the Structural, Optical, Thermal, and Electrical Properties of PVA Filled with Mixed Nanoparticles (TiO2/Cu). Crystals 2023, 13, 135. [Google Scholar] [CrossRef]
- Bdewi, S.F.; Abdullah, O.G.; Aziz, B.K.; Mutar, A.A.R. Synthesis, Structural and Optical Characterization of MgO Nanocrystalline Embedded in PVA Matrix. J. Inorg. Organomet. Polym. Mater. 2016, 26, 326–334. [Google Scholar] [CrossRef]
- Omkaram, I.; Sreekanth Chakradhar, R.P.; Lakshmana Rao, J. EPR, optical, infrared and Raman studies of VO2+ ions in polyvinylalcohol films. Phys. B Condens. Matter 2007, 388, 318–325. [Google Scholar] [CrossRef]
- Al-Muntaser, A.A.; Pashameah, R.A.; Alzahrani, E.; AlSubhi, S.A.; Tarabiah, A.E. Tuning structural, optical, and dispersion functions of polystyrene via addition of meso-tetraphenylporphine manganese (III) chloride towards optoelectronic applications. Opt. Mater. 2023, 135, 113333. [Google Scholar] [CrossRef]
- Singh, P.K.; Kumar, P.; Hussain, M.; Das, A.K.; Nayak, G.C. Synthesis and characterization of CuO nanoparticles using strong base electrolyte through electrochemical discharge process. Bull. Mater. Sci. 2016, 39, 469–478. [Google Scholar] [CrossRef]
- Ponnar, M.; Thangamani, C.; Monisha, P.; Gomathi, S.S.; Pushpanathan, K. Influence of Ce doping on CuO nanoparticles synthesized by microwave irradiation method. Appl. Surf. Sci. 2018, 449, 132–143. [Google Scholar] [CrossRef]
- Kumar, N.; Parui, S.S.; Limbu, S.; Mahato, D.K.; Tiwari, N.; Chauhan, R.N. Structural and optical properties of sol–gel derived CuO and Cu2O nanoparticles. Mater. Today Proc. 2021, 41, 237–241. [Google Scholar] [CrossRef]
- Chang, Y.-N. Fourier Transform Infrared (FTIR) Analysis of Copper Oxide Thin Films Prepared by Metal Organic Chemical Vapor Deposition (MOCVD). MRS Online Proc. Libr. (OPL) 2011, 293, 443. [Google Scholar] [CrossRef]
- Badawi, A.; Alharthi, S.S. Controlling the optical and mechanical properties of polyvinyl alcohol using Ag2S semiconductor for environmentally friendly applications. Mater. Sci. Semicond. Process. 2020, 116, 105139. [Google Scholar] [CrossRef]
- Badawi, A.; Alharthi, S.S. The optical, electrical and mechanical performance of metal oxides incorporated PVA/rGO blend: Effect of metal oxide type. Appl. Phys. A 2022, 128, 328. [Google Scholar] [CrossRef]
- Heiba, Z.K.; Mohamed, M.B.; Badawi, A.; Alhazime, A.A. The role of Cd0.9Mg0.1S nanofillers on the structural, optical, and dielectric properties of PVA/CMC polymeric blend. Chem. Phys. Lett. 2021, 770, 138460. [Google Scholar] [CrossRef]
- Bosigo, R.; Lepodise, L.M.; Kuvarega, A.; Muiva, C. Hydrothermal synthesis of CuO and CeO2/CuO nanostructures: Spectroscopic and temperature dependent electrical properties. J. Mater. Sci. Mater. Electron. 2021, 32, 7136–7152. [Google Scholar] [CrossRef]
- Alhazime, A.A. Effect of Nano CuO Doping on Structural, Thermal and Optical Properties of PVA/PEG Blend. J. Inorg. Organomet. Polym. Mater. 2020, 30, 4459–4467. [Google Scholar] [CrossRef]
- Badawi, A.; Alharthi, S.S.; Althobaiti, M.G.; Alharbi, A.N. The effect of iron oxide content on the structural and optical parameters of polyvinyl alcohol/graphene nanocomposite films. J. Vinyl Addit. Technol. 2022, 28, 235–246. [Google Scholar] [CrossRef]
- Abdullah, O.G.; Aziz, S.B.; Rasheed, M.A. Effect of silicon powder on the optical characterization of Poly(methyl methacrylate) polymer composites. J. Mater. Sci. Mater. Electron. 2017, 28, 4513–4520. [Google Scholar] [CrossRef]
- Aslam, M.; Kalyar, M.A.; Raza, Z.A. Fabrication of nano-CuO-loaded PVA composite films with enhanced optomechanical properties. Polym. Bull. 2021, 78, 1551–1571. [Google Scholar] [CrossRef]
- Mohamed, S.H.; Drese, R. Structural and optical properties of direct current sputtered zinc aluminum oxides with a high Al concentration. Thin Solid Film. 2006, 513, 64–71. [Google Scholar] [CrossRef]
- Dhatarwal, P.; Sengwa, R.J. Investigation on the optical properties of (PVP/PVA)/Al2O3 nanocomposite films for green disposable optoelectronics. Phys. B Condens. Matter 2021, 613, 412989. [Google Scholar] [CrossRef]
- Abdulwahid, R.T.; Abdullah, O.G.; Aziz, S.B.; Hussein, S.A.; Muhammad, F.F.; Yahya, M.Y. The study of structural and optical properties of PVA:PbO2 based solid polymer nanocomposites. J. Mater. Sci. Mater. Electron. 2016, 27, 12112–12118. [Google Scholar] [CrossRef]
- Elhosiny Ali, H.; Khairy, Y. Tailoring structure, nonlinear/linear optical, and dielectric properties of PVA/PVP film by spinel LiMn2O4 nanoparticles. Chin. J. Phys. 2022, 78, 27–43. [Google Scholar] [CrossRef]
- Alharthi, S.S.; Badawi, A. Tailoring the linear and nonlinear optical characteristics of PVA/PVP polymeric blend using Co0.9Cu0.1S nanoparticles for optical and photonic applications. Opt. Mater. 2022, 127, 112255. [Google Scholar] [CrossRef]
- Badawi, A.; Alharthi, S.S.; Assaedi, H.; Alharbi, A.N.; Althobaiti, M.G. Cd0.9Co0.1S nanostructures concentration study on the structural and optical properties of SWCNTs/PVA blend. Chem. Phys. Lett. 2021, 775, 138701. [Google Scholar] [CrossRef]
- Malik, Z.; Khattak, A.; Alahmadi, A.A.; Butt, S.U. Development and Investigation of High Performance PVA/NiO and PVA/CuO Nanocomposites with Improved Physical, Dielectric and Mechanical Properties. Materials 2022, 15, 5154. [Google Scholar] [CrossRef] [PubMed]
- Najm, S.S. Doping effect on the optical properties of(PVA: ZNO) nanocomposites. Mater. Today Proc. 2022, 61, 632–635. [Google Scholar] [CrossRef]
- Darwesh, A.H.A.; Aziz, S.B.; Hussen, S.A. Insights into optical band gap identification in polymer composite films based on PVA with enhanced optical properties: Structural and optical characteristics. Opt. Mater. 2022, 133, 113007. [Google Scholar] [CrossRef]
- El-naggar, A.M.; Heiba, Z.K.; Mohamed, M.B.; Kamal, A.M.; Lakshminarayana, G. PVA/PVP/PEG polymeric blend loaded with nano-Zn0.75−xFexCd0.25S: Effect of iron concentration on the optical characteristics. Appl. Phys. A 2022, 128, 220. [Google Scholar] [CrossRef]
- Alshammari, A.H.; Alshammari, M.; Ibrahim, M.; Alshammari, K.; Taha, T.A.M. New Hybrid PVC/PVP Polymer Blend Modified with Er2O3 Nanoparticles for Optoelectronic Applications. Polymers 2023, 15, 684. [Google Scholar] [CrossRef] [PubMed]
- Alhazime, A.A.; Mohamed, M.B.; Abdel-Kader, M.H. Effect of Zn1−xMgxS Doping on Structural, Thermal and Optical Properties of PVA. J. Inorg. Organomet. Polym. Mater. 2019, 29, 436–443. [Google Scholar] [CrossRef]
- Abouhaswa, A.S.; Taha, T.A. Tailoring the optical and dielectric properties of PVC/CuO nanocomposites. Polym. Bull. 2020, 77, 6005–6016. [Google Scholar] [CrossRef]
- Suresh, B.; Ramachandran, S.; Shanmugam, G. Effect of Cerium dopant on third-order nonlinear optical properties of CdS/PEG self-standing nanocomposite films. Opt. Mater. 2023, 135, 113299. [Google Scholar] [CrossRef]
- Erken, O. Effect of cycle numbers on the structural, linear and nonlinear optical properties in Fe2O3 thin films deposited by SILAR method. Curr. Appl. Phys. 2022, 34, 7–18. [Google Scholar] [CrossRef]
- Elhosiny Ali, H.; Ganesh, V.; Haritha, L.; Aboraia, A.M.; Hegazy, H.H.; Butova, V.; Soldatov, A.V.; Algarni, H.; Guda, A.; Zahran, H.Y.; et al. Kramers-Kronig analysis of the optical linearity and nonlinearity of nanostructured Ga-doped ZnO thin films. Opt. Laser Technol. 2021, 135, 106691. [Google Scholar] [CrossRef]














| Wavenumber Site (cm−1) | Bond Vibration | References | 
|---|---|---|
| 3280 | O—H stretching | [30,31] | 
| 2915 | C—H asymmetric stretching | [13,32] | 
| 1724 | C=O stretching | [30,33] | 
| 1552 | O—H and C—H bending | [34] | 
| 1423 | C—H bending | [33,35] | 
| 1251 | C—H wagging | [33,34] | 
| 1069 | C—O bending | [27,28] | 
| 832 | C—C stretching | [34,36] | 
| 435 | O—H wagging, C—C bending and CuO | [29,33,37] | 
| 891 | Cu—O—Cu stretching | [38,39] | 
| 762 | Cu—O stretching | [38,40] | 
| 480 | Cu—O stretching | [41] | 
| CuO wt% | Direct Eg dir. (eV) | Indirect Eg ind. (eV) | Eu (eV) | n @ 650 nm | 
|---|---|---|---|---|
| 0 | 5.38 | 4.67 | 0.48 | 1.20 | 
| 0.5 | 4.21 | 3.45 | 0.52 | 1.31 | 
| 1.0 | 4.13 | 3.38 | 0.60 | 1.39 | 
| 5.0 | 3.97 | 3.29 | 0.69 | 1.49 | 
| 10.0 | 3.90 | 3.22 | 1.24 | 1.83 | 
| 20.0 | 3.72 | 3.12 | 1.79 | 2.25 | 
| CuO wt% | Ed (eV) | E0 (eV) | nꝏ | λ0 (nm) | S0 (m−2) | εꝏ | εL | (N/m*) × 1057 (kg−1.m−3) | 
|---|---|---|---|---|---|---|---|---|
| Blank PVA/CS | 1.49 | 4.14 | 1.16 | 302.8 | 3.85 × 1012 | 1.35 | 2.33 | 4.01 | 
| 0.5 | 1.89 | 4.06 | 1.21 | 306.2 | 5.01 × 1012 | 1.47 | 2.79 | 5.37 | 
| 1.0 | 2.20 | 4.14 | 1.24 | 301.7 | 5.78 × 1012 | 1.53 | 2.85 | 5.21 | 
| 5.0 | 2.54 | 4.24 | 1.26 | 297.2 | 6.62 × 1012 | 1.58 | 2.92 | 5.09 | 
| 10.0 | 7.27 | 4.58 | 1.55 | 243.2 | 2.38 × 1013 | 2.41 | 4.52 | 7.88 | 
| 20.0 | 21.13 | 6.76 | 1.98 | 216.9 | 6.25 × 1013 | 3.94 | 5.37 | 8.85 | 
| Disclaimer/Publisher’s Note: The statements, opinions and data contained in all publications are solely those of the individual author(s) and contributor(s) and not of MDPI and/or the editor(s). MDPI and/or the editor(s) disclaim responsibility for any injury to people or property resulting from any ideas, methods, instructions or products referred to in the content. | 
© 2023 by the authors. Licensee MDPI, Basel, Switzerland. This article is an open access article distributed under the terms and conditions of the Creative Commons Attribution (CC BY) license (https://creativecommons.org/licenses/by/4.0/).
Share and Cite
Alharthi, S.S.; Badawi, A. Modification of the Structure and Linear/Nonlinear Optical Characteristics of PVA/Chitosan Blend through CuO Doping for Eco-Friendly Applications. Polymers 2023, 15, 2391. https://doi.org/10.3390/polym15102391
Alharthi SS, Badawi A. Modification of the Structure and Linear/Nonlinear Optical Characteristics of PVA/Chitosan Blend through CuO Doping for Eco-Friendly Applications. Polymers. 2023; 15(10):2391. https://doi.org/10.3390/polym15102391
Chicago/Turabian StyleAlharthi, Sami S., and Ali Badawi. 2023. "Modification of the Structure and Linear/Nonlinear Optical Characteristics of PVA/Chitosan Blend through CuO Doping for Eco-Friendly Applications" Polymers 15, no. 10: 2391. https://doi.org/10.3390/polym15102391
APA StyleAlharthi, S. S., & Badawi, A. (2023). Modification of the Structure and Linear/Nonlinear Optical Characteristics of PVA/Chitosan Blend through CuO Doping for Eco-Friendly Applications. Polymers, 15(10), 2391. https://doi.org/10.3390/polym15102391
 
        



 
       