Fireproof Nanocomposite Polyurethane Foams: A Review
Abstract
1. Introduction
1.1. Polyurethane and Polyurethane Foams
1.2. Fire Retardants
2. Fire Tests of PUFs
3. Carbon Nanomaterials as Fire Retardants
3.1. Carbon Nanotubes (CNTs)
3.2. Graphene and Graphene Oxide
| FR | FR Type | LOI (%) | Δ pHRR (%) | Δ THR (%) | Δ TSR (%) | Ref. |
|---|---|---|---|---|---|---|
| MMT/CS-CNT/SA (8TL) | CFR | – | −78 | −3 | – | [57] |
| PAA/CNT-PEI/PEI (4TL) | CFR | – | −35 | −21 | – | [69] |
| PEI-Py/PAA + CNT (6BL) | CFR | – | −68 | −3 | −78 | [67] |
| PEI-Py + CNT/PAA (6BL) | – | −68 | −4 | −76 | ||
| PEI-Py + CNT/PAA + CNT (6BL) | – | −67 | −9 | −80 | ||
| PANi/CNTs-MMT (20BL) | CFR | – | −57 | −37 | −47 | [68] |
| Graphene/NiO | AFR | 31 | – | – | – | [80] |
| GO/PEI | CFR | – | −73 | +18 | −57 | [82] |
| rGO/PEI | – | −65 | +7 | −14 | ||
| GO/FeOOH (5BL) | CFR | – | −50 | +7 | – | [83] |
| GO/CS/AL (10TL) | CFR | – | −60 | – | −31 | [84] |
| PDA/GO | CFR | – | −65 | −12 | – | [85] |
| GO/PDAC (3BL) | CFR | – | −60 | – | – | [86] |
| GO/CS | CFR | – | −54 | – | −59 | [87] |
| GO-SiRF | CFR | 32 | −64 | −35 | – | [88] |
| GO/CS (5BL) | CFR | – | −46 | −13 | – | [90] |
| GOA/CS (6BL) | CFR | – | −54 | −10 | −76 | [91] |
| GO/SiR | CFR | 30 | – | – | – | [92] |
| PEI/APP-rGO | CFR | – | −64 | −23 | – | [93] |
| E bbPAA/PEI/PDA-rGO 6TL | CFR | – | −35 | +39 | −52 | [94] |
| GO/KH−550-SiO2 | CFR | – | −51 | – | – | [95] |
| fGO/EG/DMMP | AFR | – | −33 | −25 | – | [96] |
| PUF-fGN | AFR | – | −56 | −45 | – | [97] |
| fGO/EG/DMMP | AFR | 28 | – | – | – | [98] |
| EG/APP/ILGO | AFR | 29 | −71 | −56 | – | [100] |
| SiP/GO/PFDTS | CFR, alarm | – | −78 | – | – | [101] |
| rGO–SiR | CFR | 32 | −65 | – | −30 | [103] |
| GO-NR/MMT/PEG | CFR, alarm | – | – | – | – | [104] |
| GO/HCPA (4BL) | CFR, alarm | 37 | −60 | −35 | – | [105] |
| GO@HPTCP/CNT (15BL) | CFR, alarm | 29 | −63 | – | – | [106] |
| PVH/PA@GO/CNTs@PVH/PA/BN | CFR, alarm | 58 | −49 | −33 | −42 | [107] |
3.3. Expanded Graphite
| FR | FR Type | LOI (%) | Δ pHRR (%) | Δ THR (%) | Δ TSR (%) | Ref. |
|---|---|---|---|---|---|---|
| 5ADPO2/10EG | AFR | – | −63 | – | – | [130] |
| EG | AFR | 32 | −54 | −47 | −84 | [117] |
| EG | AFR | 30 | −53 | −40 | −80 | [118] |
| EG | AFR | 21 | −36 | −22 | −48 | [119] |
| EG | AFR | 22 | −61 | −43 | −83 | [132] |
| EG30 | AFR | 55 | −74 | – | – | [139] |
| EG/Borax | AFR | 27 | −84 | −63 | – | [110] |
| EG/APP | AFR | 30 | – | – | – | [112] |
| EG/APP | AFR | 29 | −58 | −43 | – | [124] |
| EG/DTP | AFR | 30 | −40 | −12 | – | [114] |
| EG/MCC | AFR | 25 | – | – | – | [129] |
| EG/DDP | AFR | 28 | −83 | −40 | – | [142] |
| EG/PDEO | AFR | – | −51 | −51 | – | [115] |
| EG/Cloisite | AFR | 29 | – | – | – | [122] |
| EG/BDMPP | AFR | 22 | −58 | −48 | −48 | [136] |
| EG/PDEP | AFR | 27 | −57 | −24 | −29 | [134] |
| EMD8-EG | AFR | 31 | −56 | −42 | −46 | [113] |
| EG/SiO2/[emim] [BF4] | AFR | – | −70 | −19 | −57 | [128] |
| EG/MP | AFR | – | −25 | −24 | −6 | [127] |
| EG/Mpi | – | −16 | 0 | +15 | ||
| EG/MITS | AFR | 25 | −62 | −8 | −78 | [141] |
| EG/AHP | AFR | 26 | −26 | −14 | – | [138] |
| EG/Zr-AMP | AFR | 31 | −74 | −61 | – | [120] |
| EG/ATH/BH | AFR | 34 | −64 | −26 | −45 | [123] |
| ADP10/EG20 | AFR | 26 | −4 | +24 | – | [133] |
| PMCP/EG | AFR | 27 | −43 | −24 | – | [140] |
| TGD/DMMP/EG-ATH | AFR | 33 | −68 | −74 | −7 | [121] |
| EG/Phenylphosphonic-aniline salt | AFR | 30 | −45 | −24 | −58 | [125] |
| EG/APB | AFR | 28 | −58 | −43 | – | [126] |
| EG/PEPA | AFR | 32 | −65 | −37 | −74 | [116] |
| EG/DOPO | AFR | 30 | – | −27 | −16 | [135] |
| EG/BDEMPP | AFR | 26 | −45 | −36 | – | [131] |
| EG/Si-resin | CFR | 32 | −55 | −22 | – | [143] |
| EG/CS | CFR | 31 | −87 | −87 | −98 | [144] |
| EG/ADPO2/SA | AFR | 26 | −23 | – | – | [145] |
| EG@MH | AFR | 33 | – | – | – | [146] |
| EG@ATH | AFR | 30 | −8 | – | – | [147] |
| EGx/APP | AFR | 30 | −54 | −14 | – | [148] |
| PUEG/GMAAPP | AFR | 25 | – | – | – | [149] |
| EG-MCA | AFR | 29 | −61 | – | – | [150] |
| IL-EG/DPES | AFR | – | −54 | −36 | −65 | [151] |
| EG-silane (KH550) | AFR | 32 | – | – | – | [152] |
4. Nanoclay Fire Retardants
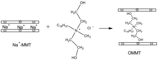
4.1. One-Dimensional Nanoclays
4.2. Two-Dimensional Nanoclays
5. Other Nanosized Fire Retardants
6. Key Challenges and Future Opportunities
7. Conclusions
Author Contributions
Funding
Institutional Review Board Statement
Data Availability Statement
Conflicts of Interest
References
- Ionescu, M. Chemistry and Technology of Polyols for Polyurethanes; Rapra Technology Limited: Shawbury, UK, 2005; ISBN 1-85957-491-2. [Google Scholar]
- Market Volume of Polyurethane Worldwide from 2015 to 2025, with a Forecast for 2022 to 2029. Available online: https://www.statista.com/statistics/720341/global-polyurethane-market-size-forecast/#:~:text=The%20global%20market%20volume%20of,million%20metric%20tons%20in%202021 (accessed on 1 April 2023).
- Palm, E.; Svensson Myrin, E. Mapping the Plastics System and Its Sustainability Challenges; Lund University: Lund, Sweden, 2018. [Google Scholar]
- Polyurethane Production, Pricing and Market Demand. Available online: https://www.statista.com/statistics/720449/globalpolyurethane-market-size-forecast/ (accessed on 1 April 2023).
- Oertel, G. Polyurethane Handbook, 2nd ed.; Hanser Publishers: Munich, Germany, 1993. [Google Scholar]
- Szycher, M. Szycher’s Handbook of Polyurethanes, 2nd ed.; CRC Press: New York, NY, USA, 2006. [Google Scholar]
- Ashida, K. Polyurethane and Related Foams Chemistry and Technology; Taylor & Francis Group: Boca Raton, FL, USA, 2007. [Google Scholar]
- Lee, L.; Zeng, C.; Cao, X.; Han, X.; Shen, J.; Xu, G. Polymer nanocomposite foams. Compos. Sci. Technol. 2005, 65, 2344–2363. [Google Scholar] [CrossRef]
- Prisacariu, C. Polyurethane Elastomers: From Morphology to Mechanical Aspects; Springer: Wien, Austria, 2011; ISBN 978-3-7091-0513-9. [Google Scholar]
- Król, P. Linear Polyurethanes: Synthesis Methods, Chemical Structures, Properties and Applications; VSP: Leiden, The Netherlands, 2008. [Google Scholar]
- Guide, P. MDI and TDI: Safety, Health and the Environment. A Source Book and Practical Guide; John Wiley & Sons Ltd.: New York, NY, USA, 2003; ISBN 0-471-95812-3. [Google Scholar]
- Gama, N.; Ferreira, A.; Barros-Timmons, A. Polyurethane Foams: Past, Present, and Future. Materials 2018, 11, 1841. [Google Scholar] [CrossRef] [PubMed]
- Jiang, L.; Ren, Z.; Zhao, W.; Liu, W.; Liu, H.; Zhu, C. Synthesis and structure/properties characterizations of four polyurethane model hard segments. R. Soc. Open Sci. 2018, 5, 180536. [Google Scholar] [CrossRef] [PubMed]
- Javni, I.; Zhang, W.; Petrović, Z.S. Effect of different isocyanates on the properties of soy-based polyurethanes. J. Appl. Polym. Sci. 2003, 88, 2912–2916. [Google Scholar] [CrossRef]
- Maiuolo, L.; Olivito, F.; Ponte, F.; Algieri, V.; Tallarida, M.A.; Tursi, A.; Chidichimo, G.; Sicilia, E.; De Nino, A. A novel catalytic two-step process for the preparation of rigid polyurethane foams: Synthesis, mechanism and computational studies. React. Chem. Eng. 2021, 6, 1238–1245. [Google Scholar] [CrossRef]
- Ates, M.; Karadag, S.; Eker, A.A.; Eker, B. Polyurethane foam materials and their industrial applications. Polym. Int. 2022, 71, 1157–1163. [Google Scholar] [CrossRef]
- Vollrath, A.; Hohl, C.; Seiler, H.G. Trace analysis of chlorofluorocarbons/partially halogenated chlorofluorohydrocarbons (CFC/HCFC) in polymeric foams by headspace capillary gas chromatography with electron-capture detection or ion trap detection combined with preconcentration on a cold trap. Fresenius J. Anal. Chem. 1995, 351, 251–259. [Google Scholar] [CrossRef]
- Petrović, Z.S.; Ferguson, J. Polyurethane elastomers. Prog. Polym. Sci. 1991, 16, 695–836. [Google Scholar] [CrossRef]
- Kausar, A. Polyurethane Composite Foams in High-Performance Applications: A Review. Polym. Plast. Technol. Eng. 2018, 57, 346–369. [Google Scholar] [CrossRef]
- Heintz, A.M.; Duffy, D.J.; Hsu, S.L.; Suen, W.; Chu, W.; Paul, C.W. Effects of Reaction Temperature on the Formation of Polyurethane Prepolymer Structures. Macromolecules 2003, 36, 2695–2704. [Google Scholar] [CrossRef]
- Sattar, R.; Kausar, A.; Siddiq, M. Thermal, mechanical and electrical studies of novel shape memory polyurethane/polyaniline blends. Chin. J. Polym. Sci. 2015, 33, 1313–1324. [Google Scholar] [CrossRef]
- Yang, C.; Fischer, L.; Maranda, S.; Worlitschek, J. Rigid polyurethane foams incorporated with phase change materials: A state-of-the-art review and future research pathways. Energy Build. 2015, 87, 25–36. [Google Scholar] [CrossRef]
- Mondal, P.; Khakhar, D.V. Regulation of Cell Structure in Water Blown Rigid Polyurethane Foam. Macromol. Symp. 2004, 216, 241–254. [Google Scholar] [CrossRef]
- Ge, C.; Lian, D.; Cui, S.; Gao, J.; Lu, J. Highly Selective CO2 Capture on Waste Polyurethane Foam-Based Activated Carbon. Processes 2019, 7, 592. [Google Scholar] [CrossRef]
- Dacewicz, E.; Grzybowska-Pietras, J. Polyurethane Foams for Domestic Sewage Treatment. Materials 2021, 14, 933. [Google Scholar] [CrossRef]
- Van Minnen, B.; van Leeuwen, M.B.M.; Stegenga, B.; Zuidema, J.; Hissink, C.E.; van Kooten, T.G.; Bos, R.R.M. Short-term in vitro and in vivo biocompatibility of a biodegradable polyurethane foam based on 1,4-butanediisocyanate. J. Mater. Sci. Mater. Med. 2005, 16, 221–227. [Google Scholar] [CrossRef]
- Sakurai, A.; Hashikawa, K.; Yokoo, S.; Terashi, H.; Tahara, S. Simple Dressing Technique Using Polyurethane Foam for Fixation of Skin Grafts. Dermatol. Surg. 2007, 33, 976–979. [Google Scholar] [CrossRef]
- Baer, G.; Wilson, T.S.; Matthews, D.L.; Maitland, D.J. Shape-memory behavior of thermally stimulated polyurethane for medical applications. J. Appl. Polym. Sci. 2007, 103, 3882–3892. [Google Scholar] [CrossRef]
- Das, A.; Mahanwar, P. A brief discussion on advances in polyurethane applications. Adv. Ind. Eng. Polym. Res. 2020, 3, 93–101. [Google Scholar] [CrossRef]
- Grzęda, D.; Węgrzyk, G.; Leszczyńska, M.; Szczepkowski, L.; Gloc, M.; Ryszkowska, J. Viscoelastic Polyurethane Foams for Use as Auxiliary Materials in Orthopedics. Materials 2021, 15, 133. [Google Scholar] [CrossRef]
- Visakh, P.M.; Semkin, A.O.; Rezaev, I.A.; Fateev, A.V. Review on soft polyurethane flame retardant. Constr. Build. Mater. 2019, 227, 116673. [Google Scholar] [CrossRef]
- Chattopadhyay, D.K.; Webster, D.C. Thermal stability and flame retardancy of polyurethanes. Prog. Polym. Sci. 2009, 34, 1068–1133. [Google Scholar] [CrossRef]
- Levchik, S.V.; Weil, E.D. Thermal decomposition, combustion and fire-retardancy of polyurethanes—A review of the recent literature. Polym. Int. 2004, 53, 1585–1610. [Google Scholar] [CrossRef]
- Shen, J.; Liang, J.; Lin, X.; Lin, H.; Yu, J.; Wang, S. The Flame-Retardant Mechanisms and Preparation of Polymer Composites and Their Potential Application in Construction Engineering. Polymers 2021, 14, 82. [Google Scholar] [CrossRef] [PubMed]
- Sing, H.; Jain, A.K. Ignition, combustion, toxicity, and fire retardancy of polyurethane foams: A comprehensive review. J. Appl. Polym. Sci. 2008, 111, 1115–1143. [Google Scholar] [CrossRef]
- Liu, X.; Hao, J.; Gaan, S. Recent studies on the decomposition and strategies of smoke and toxicity suppression for polyurethane based materials. RSC Adv. 2016, 6, 74742–74756. [Google Scholar] [CrossRef]
- Schrock, A.K.; Solis, R.; Beal, G.E.; Skorpenske, R.G.; Parrish, D.P. The Influence of Polymer Morphology on the Combustion of Melamine Filled Flexible Foams. J. Fire Sci. 1990, 8, 174–193. [Google Scholar] [CrossRef]
- Wang, J.Q.; Chow, W.K. A brief review on fire retardants for polymeric foams. J. Appl. Polym. Sci. 2005, 97, 366–376. [Google Scholar] [CrossRef]
- Lefebvre, J.; le Bras, M.; Bastin, B.; Paleja, R.; Delobel, R. Flexible Polyurethane Foams: Flammability. J. Fire Sci. 2003, 21, 343–367. [Google Scholar] [CrossRef]
- Zhu, M.; Ma, Z.; Liu, L.; Zhang, J.; Huo, S.; Song, P. Recent advances in fire-retardant rigid polyurethane foam. J. Mater. Sci. Technol. 2022, 112, 315–328. [Google Scholar] [CrossRef]
- Yang, H.; Yu, B.; Song, P.; Maluk, C.; Wang, H. Surface-coating engineering for flame retardant flexible polyurethane foams: A critical review. Compos. Part B Eng. 2019, 176, 107185. [Google Scholar] [CrossRef]
- Weil, E.D.; Levchik, S.V. Commercial Flame Retardancy of Polyurethanes. J. Fire Sci. 2004, 22, 183–210. [Google Scholar] [CrossRef]
- Ali, M.H.M.; Rahman, H.A.; Amirnordin, S.H.; Khan, N.A. Eco-Friendly Flame-Retardant Additives for Polyurethane Foams: A Short Review. KEM 2018, 791, 19–28. [Google Scholar] [CrossRef]
- Raji, A.M.; Hambali, H.U.; Khan, Z.I.; Mohamad, Z.B.; Azman, H.; Ogabi, R. Emerging trends in flame retardancy of rigid polyurethane foam and its composites: A review. J. Cell. Plast. 2023, 59, 65–122. [Google Scholar] [CrossRef]
- Jimenez, M.; Duquesne, S.; Bourbigot, S. Intumescent fire protective coating: Toward a better understanding of their mechanism of action. Thermochim. Acta 2006, 449, 16–26. [Google Scholar] [CrossRef]
- Yadav, A.; de Souza, F.M.; Dawsey, T.; Gupta, R.K. Recent Advancements in Flame-Retardant Polyurethane Foams: A Review. Ind. Eng. Chem. Res. 2022, 61, 15046–15065. [Google Scholar] [CrossRef]
- Laoutid, F.; Bonnaud, L.; Alexandre, M.; Lopez-Cuesta, J.-M.; Dubois, P. New prospects in flame retardant polymer materials: From fundamentals to nanocomposites. Mater. Sci. Eng. R Rep. 2009, 63, 100–125. [Google Scholar] [CrossRef]
- Dasari, A.; Yu, Z.-Z.; Cai, G.-P.; Mai, Y.-W. Recent developments in the fire retardancy of polymeric materials. Prog. Polym. Sci. 2013, 38, 1357–1387. [Google Scholar] [CrossRef]
- Hull, T.R.; Witkowski, A.; Hollingbery, L. Fire retardant action of mineral fillers. Polym. Degrad. Stab. 2011, 96, 1462–1469. [Google Scholar] [CrossRef]
- Modesti, M.; Lorenzetti, A.; Simioni, F.; Camino, G. Expandable graphite as an intumescent flame retardant in polyisocyanurate–polyurethane foams. Polym. Degrad. Stab. 2002, 77, 195–202. [Google Scholar] [CrossRef]
- Dong, F.; Wang, Y.; Wang, S.; Shaghaleh, H.; Sun, P.; Huang, X.; Xu, X.; Wang, S.; Liu, H. Flame-retarded polyurethane foam conferred by a bio-based nitrogen-phosphorus-containing flame retardant. React. Funct. Polym. 2021, 168, 105057. [Google Scholar] [CrossRef]
- Jasinski, E.; Bounor-Legaré, V.; Taguet, A.; Beyou, E. Influence of halloysite nanotubes onto the fire properties of polymer based composites: A review. Polym. Degrad. Stab. 2021, 183, 109407. [Google Scholar] [CrossRef]
- Kuranchie, C.; Yaya, A.; Bensah, Y.D. The effect of natural fibre reinforcement on polyurethane composite foams—A review. Sci. Afr. 2021, 11, e00722. [Google Scholar] [CrossRef]
- Fu, S.-Y.; Sun, Z.; Huang, P.; Li, Y.-Q.; Hu, N. Some basic aspects of polymer nanocomposites: A critical review. Nano Mater. Sci. 2019, 1, 2–30. [Google Scholar] [CrossRef]
- Fawaz, J.; Mittal, V. Synthesis of Polymer Nanocomposites: Review of Various Techniques. In Synthesis Techniques for Polymer Nanocomposites; Mittal, V., Ed.; Wiley-VCH Verlag GmbH & Co. KGaA: Weinheim, Germany, 2014; pp. 1–30. ISBN 978-3-527-67030-7. [Google Scholar]
- Yang, F.; Xie, M.; Yudi, Z.; Xu, X. Effect of multi-walled carbon nanotubes with different diameters on morphology and thermal and mechanical properties of flexible polyurethane foams. Cell. Polym. 2021, 40, 165–179. [Google Scholar] [CrossRef]
- Pan, H.; Pan, Y.; Wang, W.; Song, L.; Hu, Y.; Liew, K.M. Synergistic Effect of Layer-by-Layer Assembled Thin Films Based on Clay and Carbon Nanotubes to Reduce the Flammability of Flexible Polyurethane Foam. Ind. Eng. Chem. Res. 2014, 53, 14315–14321. [Google Scholar] [CrossRef]
- Levchik, S.V. Introduction to Flame Retardancy and Polymer Flammability. In Flame Retardant Polymer Nanocomposites; Morgan, A.B., Wilkie, C.A., Eds.; John Wiley & Sons, Inc.: Hoboken, NJ, USA, 2007; pp. 1–29. ISBN 978-0-470-10903-8. [Google Scholar]
- Hejna, A. Clays as Inhibitors of Polyurethane Foams’ Flammability. Materials 2021, 14, 4826. [Google Scholar] [CrossRef]
- Kashiwagi, T.; Du, F.; Douglas, J.F.; Winey, K.I.; Harris, R.H.; Shields, J.R. Nanoparticle networks reduce the flammability of polymer nanocomposites. Nat. Mater. 2005, 4, 928–933. [Google Scholar] [CrossRef]
- Yang, Y.; Palencia, J.L.D.; Wang, N.; Jiang, Y.; Wang, D.-Y. Nanocarbon-Based Flame Retardant Polymer Nanocomposites. Molecules 2021, 26, 4670. [Google Scholar] [CrossRef]
- Qiu, X.; Li, Z.; Li, X.; Zhang, Z. Flame retardant coatings prepared using layer by layer assembly: A review. Chem. Eng. J. 2018, 334, 108–122. [Google Scholar] [CrossRef]
- Liu, Q.; Gao, S.; Zhao, Y.; Tao, W.; Yu, X.; Zhi, M. Review of layer-by-layer self-assembly technology for fire protection of flexible polyurethane foam. J. Mater. Sci. 2021, 56, 9605–9643. [Google Scholar] [CrossRef]
- Navidfar, A.; Sancak, A.; Yildirim, K.B.; Trabzon, L. A Study on Polyurethane Hybrid Nanocomposite Foams Reinforced with Multiwalled Carbon Nanotubes and Silica Nanoparticles. Polym. Plast. Technol. Eng. 2018, 57, 1463–1473. [Google Scholar] [CrossRef]
- Yaghoubi, A.; Nikje, M.M.A. Silanization of multi-walled carbon nanotubes and the study of its effects on the properties of polyurethane rigid foam nanocomposites. Compos. Part A Appl. Sci. Manuf. 2018, 109, 338–344. [Google Scholar] [CrossRef]
- Wang, X.; Li, H.; Wang, T.; Niu, X.; Wang, Y.; Xu, S.; Jiang, Y.; Chen, L.; Liu, H. Flexible and high-performance piezoresistive strain sensors based on multi-walled carbon nanotubes@polyurethane foam. RSC Adv. 2022, 12, 14190–14196. [Google Scholar] [CrossRef]
- Holder, K.M.; Cain, A.A.; Plummer, M.G.; Stevens, B.E.; Odenborg, P.K.; Morgan, A.B.; Grunlan, J.C. Carbon Nanotube Multilayer Nanocoatings Prevent Flame Spread on Flexible Polyurethane Foam. Macromol. Mater. Eng. 2016, 301, 665–673. [Google Scholar] [CrossRef]
- Kim, J.; Jang, J.; Yun, S.; Kim, H.D.; Byun, Y.Y.; Park, Y.T.; Song, J.I.; Cho, C. Synergistic Flame Retardant Effects of Carbon Nanotube-Based Multilayer Nanocoatings. Macromol. Mater. Eng. 2021, 306, 2100233. [Google Scholar] [CrossRef]
- Kim, Y.S.; Davis, R. Multi-walled carbon nanotube layer-by-layer coatings with a trilayer structure to reduce foam flammability. Thin Solid Films 2014, 550, 184–189. [Google Scholar] [CrossRef]
- Shimazaki, Y.; Mitsuishi, M.; Ito, S.; Yamamoto, M. Preparation of the Layer-by-Layer Deposited Ultrathin Film Based on the Charge-Transfer Interaction. Langmuir 1997, 13, 1385–1387. [Google Scholar] [CrossRef]
- Benten, H.; Ogawa, M.; Ohkita, H.; Ito, S. Design of Multilayered Nanostructures and Donor-Acceptor Interfaces in Solution-Processed Thin-Film Organic Solar Cells: Design of Multilayered Nanostructures for Solar Cells. Adv. Funct. Mater. 2008, 18, 1563–1572. [Google Scholar] [CrossRef]
- Stockton, W.B.; Rubner, M.F. Molecular-Level Processing of Conjugated Polymers. 4. Layer-by-Layer Manipulation of Polyaniline via Hydrogen-Bonding Interactions. Macromolecules 1997, 30, 2717–2725. [Google Scholar] [CrossRef]
- Wang, L.; Cui, S.; Wang, Z.; Zhang, X.; Jiang, M.; Chi, L.; Fuchs, H. Multilayer Assemblies of Copolymer PSOH and PVP on the Basis of Hydrogen Bonding. Langmuir 2000, 16, 10490–10494. [Google Scholar] [CrossRef]
- Fang, M.; Kaschak, D.M.; Sutorik, A.C.; Mallouk, T.E. A “Mix and Match” Ionic−Covalent Strategy for Self-Assembly of Inorganic Multilayer Films. J. Am. Chem. Soc. 1997, 119, 12184–12191. [Google Scholar] [CrossRef]
- Ichinose, I.; Kawakami, T.; Kunitake, T. Alternate Molecular Layers of Metal Oxides and Hydroxyl Polymers Prepared by the Surface Sol-Gel Process. Adv. Mater. 1998, 10, 535–539. [Google Scholar] [CrossRef]
- Cheng, J.; Niu, S.; Kang, M.; Liu, Y.; Zhang, F.; Qu, W.; Guan, Y.; Li, S. The thermal behavior and flame retardant performance of phase change material microcapsules with modified carbon nanotubes. Energy 2022, 240, 122821. [Google Scholar] [CrossRef]
- Zammarano, M.; Krämer, R.H.; Harris, R.; Ohlemiller, T.J.; Shields, J.R.; Rahatekar, S.S.; Lacerda, S.; Gilman, J.W. Flammability reduction of flexible polyurethane foams via carbon nanofiber network formation. Polym. Adv. Technol. 2008, 19, 588–595. [Google Scholar] [CrossRef]
- Kim, Y.S.; Davis, R.; Cain, A.A.; Grunlan, J.C. Development of layer-by-layer assembled carbon nanofiber-filled coatings to reduce polyurethane foam flammability. Polymer 2011, 52, 2847–2855. [Google Scholar] [CrossRef]
- Geim, A.K.; Novoselov, K.S. The rise of graphene. Nat. Mater. 2007, 6, 183–191. [Google Scholar] [CrossRef]
- Ababsa, H.S.; Safidine, Z.; Mekki, A.; Grohens, Y.; Ouadah, A.; Chabane, H. Fire behavior of flame-retardant polyurethane semi-rigid foam in presence of nickel (II) oxide and graphene nanoplatelets additives. J. Polym. Res. 2021, 28, 87. [Google Scholar] [CrossRef]
- Jamsaz, A.; Goharshadi, E.K. Graphene-based flame-retardant polyurethane: A critical review. Polym. Bull. 2022, 1–37. [Google Scholar] [CrossRef]
- Pan, H.; Yu, B.; Wang, W.; Pan, Y.; Song, L.; Hu, Y. Comparative study of layer by layer assembled multilayer films based on graphene oxide and reduced graphene oxide on flexible polyurethane foam: Flame retardant and smoke suppression properties. RSC Adv. 2016, 6, 114304–114312. [Google Scholar] [CrossRef]
- Pan, H.; Lu, Y.; Song, L.; Zhang, X.; Hu, Y. Construction of layer-by-layer coating based on graphene oxide/β-FeOOH nanorods and its synergistic effect on improving flame retardancy of flexible polyurethane foam. Compos. Sci. Technol. 2016, 129, 116–122. [Google Scholar] [CrossRef]
- Zhang, X.; Shen, Q.; Zhang, X.; Pan, H.; Lu, Y. Graphene oxide-filled multilayer coating to improve flame-retardant and smoke suppression properties of flexible polyurethane foam. J. Mater. Sci. 2016, 51, 10361–10374. [Google Scholar] [CrossRef]
- Kim, H.; Kim, D.W.; Vasagar, V.; Ha, H.; Nazarenko, S.; Ellison, C.J. Polydopamine-Graphene Oxide Flame Retardant Nanocoatings Applied via an Aqueous Liquid Crystalline Scaffold. Adv. Funct. Mater. 2018, 28, 1803172. [Google Scholar] [CrossRef]
- Carosio, F.; Maddalena, L.; Gomez, J.; Saracco, G.; Fina, A. Graphene Oxide Exoskeleton to Produce Self-Extinguishing, Nonignitable, and Flame Resistant Flexible Foams: A Mechanically Tough Alternative to Inorganic Aerogels. Adv. Mater. Interfaces 2018, 5, 1801288. [Google Scholar] [CrossRef]
- Maddalena, L.; Carosio, F.; Gomez, J.; Saracco, G.; Fina, A. Layer-by-layer assembly of efficient flame retardant coatings based on high aspect ratio graphene oxide and chitosan capable of preventing ignition of PU foam. Polym. Degrad. Stab. 2018, 152, 1–9. [Google Scholar] [CrossRef]
- Li, Y.; Cao, C.-F.; Li, S.-N.; Huang, N.-J.; Mao, M.; Zhang, J.-W.; Wang, P.-H.; Guo, K.-Y.; Gong, L.-X.; Zhang, G.-D.; et al. In situ reactive self-assembly of a graphene oxide nano-coating in polymer foam materials with synergistic fire shielding properties. J. Mater. Chem. A 2019, 7, 27032–27040. [Google Scholar] [CrossRef]
- Jamsaz, A.; Goharshadi, E.K. Flame retardant, superhydrophobic, and superoleophilic reduced graphene oxide/orthoaminophenol polyurethane sponge for efficient oil/water separation. J. Mol. Liq. 2020, 307, 112979. [Google Scholar] [CrossRef]
- Yuen, A.C.Y.; Chen, T.B.Y.; Wang, C.; Wei, W.; Kabir, I.; Vargas, J.B.; Chan, Q.N.; Kook, S.; Yeoh, G.H. Utilising genetic algorithm to optimise pyrolysis kinetics for fire modelling and characterisation of chitosan/graphene oxide polyurethane composites. Compos. Part B Eng. 2020, 182, 107619. [Google Scholar] [CrossRef]
- Maddalena, L.; Gomez, J.; Fina, A.; Carosio, F. Effects of Graphite Oxide Nanoparticle Size on the Functional Properties of Layer-by-Layer Coated Flexible Foams. Nanomaterials 2021, 11, 266. [Google Scholar] [CrossRef]
- Wu, Q.; Zhang, J.; Wang, S.; Chen, B.; Feng, Y.; Pei, Y.; Yan, Y.; Tang, L.; Qiu, H.; Wu, L. Exceptionally flame-retardant flexible polyurethane foam composites: Synergistic effect of the silicone resin/graphene oxide coating. Front. Chem. Sci. Eng. 2021, 15, 969–983. [Google Scholar] [CrossRef]
- Meng, D.; Liu, X.; Wang, S.; Sun, J.; Li, H.; Wang, Z.; Gu, X.; Zhang, S. Self-healing polyelectrolyte complex coating for flame retardant flexible polyurethane foam with enhanced mechanical property. Compos. Part B Eng. 2021, 219, 108886. [Google Scholar] [CrossRef]
- Qiu, X.; Kundu, C.K.; Li, Z.; Li, X.; Zhang, Z. Layer-by-layer-assembled flame-retardant coatings from polydopamine-induced in situ functionalized and reduced graphene oxide. J. Mater. Sci. 2019, 54, 13848–13862. [Google Scholar] [CrossRef]
- Pan, H.; Lu, Y.; Song, L.; Zhang, X.; Hu, Y. Fabrication of binary hybrid-filled layer-by-layer coatings on flexible polyurethane foams and studies on their flame-retardant and thermal properties. RSC Adv. 2016, 6, 78286–78295. [Google Scholar] [CrossRef]
- Gao, M.; Li, J.; Zhou, X. A flame retardant rigid polyurethane foam system including functionalized graphene oxide. Polym. Compos. 2019, 40, E1274–E1282. [Google Scholar] [CrossRef]
- Cao, Z.-J.; Liao, W.; Wang, S.-X.; Zhao, H.-B.; Wang, Y.-Z. Polyurethane foams with functionalized graphene towards high fire-resistance, low smoke release, superior thermal insulation. Chem. Eng. J. 2019, 361, 1245–1254. [Google Scholar] [CrossRef]
- Chen, X.; Li, J.; Gao, M. Thermal Degradation and Flame Retardant Mechanism of the Rigid Polyurethane Foam Including Functionalized Graphene Oxide. Polymers 2019, 11, 78. [Google Scholar] [CrossRef]
- Sałasińska, K.; Leszczyńska, M.; Celiński, M.; Kozikowski, P.; Kowiorski, K.; Lipińska, L. Burning Behaviour of Rigid Polyurethane Foams with Histidine and Modified Graphene Oxide. Materials 2021, 14, 1184. [Google Scholar] [CrossRef]
- Gao, M.; Wang, T.; Chen, X.; Zhang, X.; Yi, D.; Qian, L.; You, R. Preparation of ionic liquid multifunctional graphene oxide and its effect on decrease fire hazards of flexible polyurethane foam. J. Therm. Anal. Calorim. 2022, 147, 7289–7297. [Google Scholar] [CrossRef]
- Wu, Q.; Gong, L.-X.; Li, Y.; Cao, C.-F.; Tang, L.-C.; Wu, L.; Zhao, L.; Zhang, G.-D.; Li, S.-N.; Gao, J.; et al. Efficient Flame Detection and Early Warning Sensors on Combustible Materials Using Hierarchical Graphene Oxide/Silicone Coatings. ACS Nano 2018, 12, 416–424. [Google Scholar] [CrossRef]
- Guo, K.-Y.; Wu, Q.; Mao, M.; Chen, H.; Zhang, G.-D.; Zhao, L.; Gao, J.-F.; Song, P.; Tang, L.-C. Water-based hybrid coatings toward mechanically flexible, super-hydrophobic and flame-retardant polyurethane foam nanocomposites with high-efficiency and reliable fire alarm response. Compos. Part B Eng. 2020, 193, 108017. [Google Scholar] [CrossRef]
- Wu, Q.; Liu, C.; Tang, L.; Yan, Y.; Qiu, H.; Pei, Y.; Sailor, M.J.; Wu, L. Stable electrically conductive, highly flame-retardant foam composites generated from reduced graphene oxide and silicone resin coatings. Soft Matter. 2021, 17, 68–82. [Google Scholar] [CrossRef] [PubMed]
- Yu, Z.-R.; Mao, M.; Li, S.-N.; Xia, Q.-Q.; Cao, C.-F.; Zhao, L.; Zhang, G.-D.; Zheng, Z.-J.; Gao, J.-F.; Tang, L.-C. Facile and green synthesis of mechanically flexible and flame-retardant clay/graphene oxide nanoribbon interconnected networks for fire safety and prevention. Chem. Eng. J. 2021, 405, 126620. [Google Scholar] [CrossRef]
- Cao, C.-F.; Yu, B.; Chen, Z.-Y.; Qu, Y.-X.; Li, Y.-T.; Shi, Y.-Q.; Ma, Z.-W.; Sun, F.-N.; Pan, Q.-H.; Tang, L.-C.; et al. Fire Intumescent, High-Temperature Resistant, Mechanically Flexible Graphene Oxide Network for Exceptional Fire Shielding and Ultra-Fast Fire Warning. Nano-Micro Lett. 2022, 14, 92. [Google Scholar] [CrossRef] [PubMed]
- Chen, Z.; Chen, W.; Liu, P.; Liu, Y.; Liu, Z. A multifunctional polyurethane sponge based on functionalized graphene oxide and carbon nanotubes for highly sensitive and super durable fire alarming. Compos. Part A Appl. Sci. Manuf. 2021, 150, 106598. [Google Scholar] [CrossRef]
- Ma, Z.; Zhang, J.; Liu, L.; Zheng, H.; Dai, J.; Tang, L.-C.; Song, P. A highly fire-retardant rigid polyurethane foam capable of fire-warning. Compos. Commun. 2022, 29, 101046. [Google Scholar] [CrossRef]
- Cai, M.; Thorpe, D.; Adamson, D.H.; Schniepp, H.C. Methods of graphite exfoliation. J. Mater. Chem. 2012, 22, 24992. [Google Scholar] [CrossRef]
- Papaspyrides, C.D.; Kiliaris, P. Polymer Green Flame Retardants; Elsevier: Amsterdam, The Netherlands, 2014; ISBN 978-0-444-53808-6. [Google Scholar]
- Chao, C.; Gao, M.; Chen, S. Expanded graphite: Borax synergism in the flame-retardant flexible polyurethane foams. J. Anal. Calorim. 2018, 131, 71–79. [Google Scholar] [CrossRef]
- Gama, N.V.; Silva, R.; Mohseni, F.; Davarpanah, A.; Amaral, V.S.; Ferreira, A.; Barros-Timmons, A. Enhancement of physical and reaction to fire properties of crude glycerol polyurethane foams filled with expanded graphite. Polym. Test. 2018, 69, 199–207. [Google Scholar] [CrossRef]
- Li, J.; Mo, X.; Li, Y.; Zou, H.; Liang, M.; Chen, Y. Influence of expandable graphite particle size on the synergy flame retardant property between expandable graphite and ammonium polyphosphate in semi-rigid polyurethane foam. Polym. Bull. 2018, 75, 5287–5304. [Google Scholar] [CrossRef]
- Li, L.; Chen, Y.; Qian, L.; Xu, B.; Xi, W. Addition flame-retardant effect of nonreactive phosphonate and expandable graphite in rigid polyurethane foams. J. Appl. Polym. Sci. 2018, 135, 45960. [Google Scholar] [CrossRef]
- Liu, D.-Y.; Zhao, B.; Wang, J.-S.; Liu, P.-W.; Liu, Y.-Q. Flame retardation and thermal stability of novel phosphoramide/expandable graphite in rigid polyurethane foam: Research Article. J. Appl. Polym. Sci. 2018, 135, 46434. [Google Scholar] [CrossRef]
- Rao, W.-H.; Liao, W.; Wang, H.; Zhao, H.-B.; Wang, Y.-Z. Flame-retardant and smoke-suppressant flexible polyurethane foams based on reactive phosphorus-containing polyol and expandable graphite. J. Hazard. Mater. 2018, 360, 651–660. [Google Scholar] [CrossRef] [PubMed]
- Wang, S.; Qian, L.; Xin, F. The synergistic flame-retardant behaviors of pentaerythritol phosphate and expandable graphite in rigid polyurethane foams. Polym. Compos. 2018, 39, 329–336. [Google Scholar] [CrossRef]
- Acuña, P.; Li, Z.; Santiago-Calvo, M.; Villafañe, F.; Rodríguez-Perez, M.; Wang, D.-Y. Influence of the Characteristics of Expandable Graphite on the Morphology, Thermal Properties, Fire Behaviour and Compression Performance of a Rigid Polyurethane Foam. Polymers 2019, 11, 168. [Google Scholar] [CrossRef] [PubMed]
- Acuña, P.; Santiago-Calvo, M.; Villafañe, F.; Rodríguez-Perez, M.A.; Rosas, J.; Wang, D. Impact of expandable graphite on flame retardancy and mechanical properties of rigid polyurethane foam. Polym. Compos. 2019, 40, E1705–E1715. [Google Scholar] [CrossRef]
- Chen, Y.; Luo, Y.; Guo, X.; Chen, L.; Xu, T.; Jia, D. Structure and Flame-Retardant Actions of Rigid Polyurethane Foams with Expandable Graphite. Polymers 2019, 11, 686. [Google Scholar] [CrossRef]
- Liu, L.; Wang, Z.; Zhu, M. Flame retardant, mechanical and thermal insulating properties of rigid polyurethane foam modified by nano zirconium amino-tris-(methylenephosphonate) and expandable graphite. Polym. Degrad. Stab. 2019, 170, 108997. [Google Scholar] [CrossRef]
- Qian, L.; Li, L.; Chen, Y.; Xu, B.; Qiu, Y. Quickly self-extinguishing flame retardant behavior of rigid polyurethane foams linked with phosphaphenanthrene groups. Compos. Part B Eng. 2019, 175, 107186. [Google Scholar] [CrossRef]
- Thi, N.H.; Pham, D.L.; Hanh, N.T.; Oanh, H.T.; Duong, T.H.Y.; Nguyen, T.N.; Tuyen, N.D.; Phan, D.L.; Trinh, H.T.; Nguyen, H.T.; et al. Influence of Organoclay on the Flame Retardancy and Thermal Insulation Property of Expandable Graphite/Polyurethane Foam. J. Chem. 2019, 2019, 4794106. [Google Scholar] [CrossRef]
- Xi, W.; Qian, L.; Li, L. Flame Retardant Behavior of Ternary Synergistic Systems in Rigid Polyurethane Foams. Polymers 2019, 11, 207. [Google Scholar] [CrossRef]
- Yao, W.; Zhang, D.; Zhang, Y.; Fu, T.; Guan, D.; Dou, Y. Synergistic Flame Retardant Effects of Expandable Graphite and Ammonium Polyphosphate in Water-Blow Polyurethane Foam. Adv. Mater. Sci. Eng. 2019, 2019, 6921474. [Google Scholar] [CrossRef]
- Acuña, P.; Lin, X.; Calvo, M.S.; Shao, Z.; Pérez, N.; Villafañe, F.; Rodríguez-Pérez, M.Á.; Wang, D.-Y. Synergistic effect of expandable graphite and phenylphosphonic-aniline salt on flame retardancy of rigid polyurethane foam. Polym. Degrad. Stab. 2020, 179, 109274. [Google Scholar] [CrossRef]
- Akdogan, E.; Erdem, M.; Ureyen, M.E.; Kaya, M. Synergistic effects of expandable graphite and ammonium pentaborate octahydrate on the flame-retardant, thermal insulation, and mechanical properties of rigid polyurethane foam. Polym. Compos. 2020, 41, 1749–1762. [Google Scholar] [CrossRef]
- Liu, C.; Zhang, P.; Shi, Y.; Rao, X.; Cai, S.; Fu, L.; Feng, Y.; Wang, L.; Zheng, X.; Yang, W. Enhanced Fire Safety of Rigid Polyurethane Foam via Synergistic Effect of Phosphorus/Nitrogen Compounds and Expandable Graphite. Molecules 2020, 25, 4741. [Google Scholar] [CrossRef] [PubMed]
- Strąkowska, A.; Członka, S.; Konca, P.; Strzelec, K. New Flame Retardant Systems Based on Expanded Graphite for Rigid Polyurethane Foams. Appl. Sci. 2020, 10, 5817. [Google Scholar] [CrossRef]
- Yun, G.W.; Lee, J.H.; Kim, S.H. Flame retardant and mechanical properties of expandable graphite/polyurethane foam composites containing iron phosphonate dopamine-coated cellulose. Polym. Compos. 2020, 41, 2816–2828. [Google Scholar] [CrossRef]
- Zhang, W.; Lei, Y.; Li, X.; Shao, H.; Xu, W.; Li, D. A facile, environmentally and friendly flame-retardant: Synergistic flame retardant property of polyurethane rigid foam. Mater. Lett. 2020, 267, 127542. [Google Scholar] [CrossRef]
- Zhang, Z.; Li, D.; Xu, M.; Li, B. Synthesis of a novel phosphorus and nitrogen-containing flame retardant and its application in rigid polyurethane foam with expandable graphite. Polym. Degrad. Stab. 2020, 173, 109077. [Google Scholar] [CrossRef]
- Chan, Y.Y.; Ma, C.; Zhou, F.; Hu, Y.; Schartel, B. Flame retardant flexible polyurethane foams based on phosphorous soybean-oil polyol and expandable graphite. Polym. Degrad. Stab. 2021, 191, 109656. [Google Scholar] [CrossRef]
- Hu, Y.; Zhou, Z.; Li, S.; Yang, D.; Zhang, S.; Hou, Y. Flame Retarded Rigid Polyurethane Foams Composites Modified by Aluminum Diethylphosphinate and Expanded Graphite. Front. Mater. 2021, 7, 629284. [Google Scholar] [CrossRef]
- Wang, J.; Xu, B.; Wang, X.; Liu, Y. A phosphorous-based bi-functional flame retardant for rigid polyurethane foam. Polym. Degrad. Stab. 2021, 186, 109516. [Google Scholar] [CrossRef]
- Xu, J.; Wu, Y.; Zhang, B.; Zhang, G. Synthesis and synergistic flame-retardant effects of rigid polyurethane foams used reactive DOPO -based polyols combination with expandable graphite. J. Appl. Polym. Sci. 2021, 138, 50223. [Google Scholar] [CrossRef]
- Chan, Y.Y.; Ma, C.; Zhou, F.; Hu, Y.; Schartel, B. A liquid phosphorous flame retardant combined with expandable graphite or melamine in flexible polyurethane foam. Polym. Adv. Technol. 2022, 33, 326–339. [Google Scholar] [CrossRef]
- Chan, Y.Y.; Schartel, B. It Takes Two to Tango: Synergistic Expandable Graphite–Phosphorus Flame Retardant Combinations in Polyurethane Foams. Polymers 2022, 14, 2562. [Google Scholar] [CrossRef]
- Liu, M.; Feng, Z.; Zhao, R.; Wang, B.; Deng, D.; Zhou, Z.; Yang, Y.; Liu, X.; Liu, X.; Tang, G. Enhancement of fire performance for rigid polyurethane foam composites by incorporation of aluminum hypophosphite and expanded graphite. Polym. Bull. 2022, 79, 10991–11012. [Google Scholar] [CrossRef]
- Wang, X.; Sun, Y.; Sheng, J.; Geng, T.; Turng, L.; Guo, Y.; Liu, X.; Liu, C. Effects of expandable graphite on the flame-retardant and mechanical performances of rigid polyurethane foams. J. Phys. Condens. Matter. 2022, 34, 084002. [Google Scholar] [CrossRef]
- Yang, R.; Gu, G.; Li, M.; Li, J. Preparation of flame-retardant rigid polyurethane foam with bio-based phosphorus-containing polyols and expandable graphite. J Appl. Polym. Sci. 2022, 139, e53167. [Google Scholar] [CrossRef]
- Yang, Y.; Sun, P.; Sun, J.; Wen, P.; Zhang, S.; Kan, Y.; Liu, X.; Tang, G. Enhanced flame retardancy of rigid polyurethane foam via iron tailings and expandable graphite. J. Mater. Sci. 2022, 57, 18853–18873. [Google Scholar] [CrossRef]
- Wang, H.; Liu, Q.; Li, H.; Zhang, H.; Yan, S. Flame-Retardant and Smoke-Suppressant Flexible Polyurethane Foams Based on Phosphorus-Containing Polyester Diols and Expandable Graphite. Polymers 2023, 15, 1284. [Google Scholar] [CrossRef]
- Wang, S.; Wang, X.; Wang, X.; Li, H.; Sun, J.; Sun, W.; Yao, Y.; Gu, X.; Zhang, S. Surface coated rigid polyurethane foam with durable flame retardancy and improved mechanical property. Chem. Eng. J. 2020, 385, 123755. [Google Scholar] [CrossRef]
- Wong, E.H.H.; Fan, K.W.; Lei, L.; Wang, C.; Baena, J.C.; Okoye, H.; Fam, W.; Zhou, D.; Oliver, S.; Khalid, A.; et al. Fire-Resistant Flexible Polyurethane Foams via Nature-Inspired Chitosan-Expandable Graphite Coatings. ACS Appl. Polym. Mater. 2021, 3, 4079–4087. [Google Scholar] [CrossRef]
- Zhang, W.; Zhao, Z.; Lei, Y. Flame retardant and smoke-suppressant rigid polyurethane foam based on sodium alginate and aluminum diethylphosphite. Des. Monomers Polym. 2021, 24, 46–52. [Google Scholar] [CrossRef] [PubMed]
- Wang, Y.; Wang, F.; Dong, Q.; Yuan, W.; Liu, P.; Ding, Y.; Zhang, S.; Yang, M.; Zheng, G. Expandable graphite encapsulated by magnesium hydroxide nanosheets as an intumescent flame retardant for rigid polyurethane foams. J. Appl. Polym. Sci. 2018, 135, 46749. [Google Scholar] [CrossRef]
- Wang, Y.; Wang, F.; Dong, Q.; Xie, M.; Liu, P.; Ding, Y.; Zhang, S.; Yang, M.; Zheng, G. Core-shell expandable graphite @ aluminum hydroxide as a flame-retardant for rigid polyurethane foams. Polym. Degrad. Stab. 2017, 146, 267–276. [Google Scholar] [CrossRef]
- Pang, X.; Xin, Y.; Shi, X.; Xu, J. Effect of different size-modified expandable graphite and ammonium polyphosphate on the flame retardancy, thermal stability, physical, and mechanical properties of rigid polyurethane foam. Polym. Eng. Sci. 2019, 59, 1381–1394. [Google Scholar] [CrossRef]
- Yang, Y.; Dai, Z.; Liu, M.; Jiang, H.; Fan, C.; Wang, B.; Tang, G.; Wang, H. Flame retardant rigid polyurethane foam composites based on microencapsulated ammonium polyphosphate and microencapsulated expanded graphite. J. Macromol. Sci. Part A 2021, 58, 659–668. [Google Scholar] [CrossRef]
- Cheng, J.; Qu, W.; Sun, S. Mechanical properties improvement and fire hazard reduction of expandable graphite microencapsulated in rigid polyurethane foams. Polym. Compos. 2019, 40, E1006–E1014. [Google Scholar] [CrossRef]
- Chen, Y.; Luo, Y.; Guo, X.; Chen, L.; Jia, D. The Synergistic Effect of Ionic Liquid-Modified Expandable Graphite and Intumescent Flame-Retardant on Flame-Retardant Rigid Polyurethane Foams. Materials 2020, 13, 3095. [Google Scholar] [CrossRef]
- Xiong, W.; Liu, H.; Tian, H.; Wu, J.; Xiang, A.; Wang, C.; Ma, S.; Wu, Q. Mechanical and flame-resistance properties of polyurethane-imide foams with different-sized expandable graphite. Polym. Eng. Sci. 2020, 60, 2324–2332. [Google Scholar] [CrossRef]
- Albdiry, M.; Yousif, B.; Ku, H.; Lau, K. A critical review on the manufacturing processes in relation to the properties of nanoclay/polymer composites. J. Compos. Mater. 2013, 47, 1093–1115. [Google Scholar] [CrossRef]
- Guo, F.; Aryana, S.; Han, Y.; Jiao, Y. A Review of the Synthesis and Applications of Polymer–Nanoclay Composites. Appl. Sci. 2018, 8, 1696. [Google Scholar] [CrossRef]
- Rafiee, R.; Shahzadi, R. Mechanical Properties of Nanoclay and Nanoclay Reinforced Polymers: A Review. Polym. Compos. 2019, 40, 431–445. [Google Scholar] [CrossRef]
- Rajeshkumar, G.; Seshadri, S.A.; Ramakrishnan, S.; Sanjay, M.R.; Siengchin, S.; Nagaraja, K.C. A comprehensive review on natural fiber/nano-clay reinforced hybrid polymeric composites: Materials and technologies. Polym. Compos. 2021, 42, 3687–3701. [Google Scholar] [CrossRef]
- Alves, L.R.P.S.T.; Alves, M.D.T.C.; Honorio, L.M.C.; Moraes, A.I.; Silva-Filho, E.C.; Peña-Garcia, R.; Furtini, M.B.; da Silva, D.A.; Osajima, J.A. Polyurethane/Vermiculite Foam Composite as Sustainable Material for Vertical Flame Retardant. Polymers 2022, 14, 3777. [Google Scholar] [CrossRef]
- Cherednichenko, K.; Kopitsyn, D.; Batasheva, S.; Fakhrullin, R. Probing Antimicrobial Halloysite/Biopolymer Composites with Electron Microscopy: Advantages and Limitations. Polymers 2021, 13, 3510. [Google Scholar] [CrossRef] [PubMed]
- Khan, Z.I.; Habib, U.; Mohamad, Z.B.; Bin Rahmat, A.R.; Abdullah, N.A.S.B. Mechanical and thermal properties of sepiolite strengthened thermoplastic polymer nanocomposites: A comprehensive review. Alex. Eng. J. 2022, 61, 975–990. [Google Scholar] [CrossRef]
- Tian, G.; Han, G.; Wang, F.; Liang, J. Sepiolite Nanomaterials: Structure, Properties and Functional Applications. In Nanomaterials from Clay Minerals; Elsevier: Amsterdam, The Netherlands, 2019; pp. 135–201. ISBN 978-0-12-814533-3. [Google Scholar]
- Pan, Y.; Liu, L.; Cai, W.; Hu, Y.; Jiang, S.; Zhao, H. Effect of layer-by-layer self-assembled sepiolite-based nanocoating on flame retardant and smoke suppressant properties of flexible polyurethane foam. Appl. Clay Sci. 2019, 168, 230–236. [Google Scholar] [CrossRef]
- Goda, E.S.; Yoon, K.R.; El-sayed, S.H.; Hong, S.E. Halloysite nanotubes as smart flame retardant and economic reinforcing materials: A review. Thermochim. Acta 2018, 669, 173–184. [Google Scholar] [CrossRef]
- Smith, R.J.; Holder, K.M.; Ruiz, S.; Hahn, W.; Song, Y.; Lvov, Y.M.; Grunlan, J.C. Environmentally Benign Halloysite Nanotube Multilayer Assembly Significantly Reduces Polyurethane Flammability. Adv. Funct. Mater. 2018, 28, 1703289. [Google Scholar] [CrossRef]
- Wu, F.; Pickett, K.; Panchal, A.; Liu, M.; Lvov, Y. Superhydrophobic Polyurethane Foam Coated with Polysiloxane-Modified Clay Nanotubes for Efficient and Recyclable Oil Absorption. ACS Appl. Mater. Interfaces 2019, 11, 25445–25456. [Google Scholar] [CrossRef]
- Wu, F.; Zheng, J.; Ou, X.; Liu, M. Two in One: Modified Polyurethane Foams by Dip-Coating of Halloysite Nanotubes with Acceptable Flame Retardancy and Absorbency. Macromol. Mater. Eng. 2019, 304, 1900213. [Google Scholar] [CrossRef]
- Palen, B.; Kolibaba, T.J.; Brehm, J.T.; Shen, R.; Quan, Y.; Wang, Q.; Grunlan, J.C. Clay-Filled Polyelectrolyte Complex Nanocoating for Flame-Retardant Polyurethane Foam. ACS Omega 2021, 6, 8016–8020. [Google Scholar] [CrossRef] [PubMed]
- Uddin, F. Clays, Nanoclays, and Montmorillonite Minerals. Met. Mater. Trans. A 2008, 39, 2804–2814. [Google Scholar] [CrossRef]
- Neto, J.C.D.M.; Nascimento, N.R.D.; Bello, R.H.; de Verçosa, L.A.; Neto, J.E.; da Costa, J.C.M.; Diaz, F.R.V. Kaolinite Review: Intercalation and Production of Polymer Nanocomposites. Eng. Sci. 2021, 17, 28–44. [Google Scholar] [CrossRef]
- Conterosito, E.; Gianotti, V.; Palin, L.; Boccaleri, E.; Viterbo, D.; Milanesio, M. Facile preparation methods of hydrotalcite layered materials and their structural characterization by combined techniques. Inorganica Chim. Acta 2018, 470, 36–50. [Google Scholar] [CrossRef]
- Agrawal, A.; Kaur, R.; Walia, R.S. Investigation on flammability of rigid polyurethane foam-mineral fillers composite. Fire Mater. 2019, 43, 917–927. [Google Scholar] [CrossRef]
- Lazar, S.; Carosio, F.; Davesne, A.-L.; Jimenez, M.; Bourbigot, S.; Grunlan, J. Extreme Heat Shielding of Clay/Chitosan Nanobrick Wall on Flexible Foam. ACS Appl. Mater. Interfaces 2018, 10, 31686–31696. [Google Scholar] [CrossRef]
- Fahami, A.; Lee, J.; Lazar, S.; Grunlan, J.C. Mica-Based Multilayer Nanocoating as a Highly Effective Flame Retardant and Smoke Suppressant. ACS Appl. Mater. Interfaces 2020, 12, 19938–19943. [Google Scholar] [CrossRef]
- Choi, K.-W.; Kim, J.-W.; Kwon, T.-S.; Kang, S.-W.; Song, J.-I.; Park, Y.-T. Mechanically Sustainable Starch-Based Flame-Retardant Coatings on Polyurethane Foams. Polymers 2021, 13, 1286. [Google Scholar] [CrossRef]
- Weldemhret, T.G.; Menge, H.G.; Lee, D.-W.; Park, H.; Lee, J.; Song, J.I.; Park, Y.T. Facile deposition of environmentally benign organic-inorganic flame retardant coatings to protect flammable foam. Prog. Org. Coat. 2021, 161, 106480. [Google Scholar] [CrossRef]
- Akar, A.; Kızılcan, N.; Yivlik, Y.; Önen, D. Alendronic acid bearing ketone-formaldehyde resin and clay nanocomposites for fire-retardant polyurethanes. J. Appl. Polym. Sci. 2021, 138, 50829. [Google Scholar] [CrossRef]
- Członka, S.; Kairytė, A.; Miedzińska, K.; Strąkowska, A.; Adamus-Włodarczyk, A. Mechanically Strong Polyurethane Composites Reinforced with Montmorillonite-Modified Sage Filler (Salvia officinalis L.). Int. J. Mol. Sci. 2021, 22, 3744. [Google Scholar] [CrossRef] [PubMed]
- Yang, Y.-H.; Li, Y.-C.; Shields, J.; Davis, R.D. Layer double hydroxide and sodium montmorillonite multilayer coatings for the flammability reduction of flexible polyurethane foams. J. Appl. Polym. Sci. 2015, 132, 41767. [Google Scholar] [CrossRef]
- Abrishamkar, S.; Mohammadi, A.; De La Vega, J.; Wang, D.-Y.; Kalali, E.N. Layer-by-layer assembly of calixarene modified GO and LDH nanostructures on flame retardancy, smoke suppression, and dye adsorption behavior of flexible polyurethane foams. Polym. Degrad. Stab. 2023, 207, 110242. [Google Scholar] [CrossRef]
- Peng, H.-K.; Wang, X.X.; Li, T.-T.; Huang, S.-Y.; Lin, Q.; Shiu, B.-C.; Lou, C.-W.; Lin, J.-H. Effects of hydrotalcite on rigid polyurethane foam composites containing a fire retarding agent: Compressive stress, combustion resistance, sound absorption, and electromagnetic shielding effectiveness. RSC Adv. 2018, 8, 33542–33550. [Google Scholar] [CrossRef] [PubMed]
- Zheng, X.; Wang, G.; Xu, W. Roles of organically-modified montmorillonite and phosphorous flame retardant during the combustion of rigid polyurethane foam. Polym. Degrad. Stab. 2014, 101, 32–39. [Google Scholar] [CrossRef]
- Chen, Y.; Li, M.; Hao, F.; Yang, C. Enhanced flame retardant performance of rigid polyurethane foam by using the modified OMMT layers with large surface area and ammonium polyphosphate. Mater. Today Commun. 2022, 32, 104121. [Google Scholar] [CrossRef]
- Mohammadi, A.; Wang, D.-Y.; Hosseini, A.S.; De La Vega, J. Effect of intercalation of layered double hydroxides with sulfonate-containing calix[4]arenes on the flame retardancy of castor oil-based flexible polyurethane foams. Polym. Test. 2019, 79, 106055. [Google Scholar] [CrossRef]
- Zhang, X.; Wen, Y.; Li, S.; Wang, Z.; Xie, H. Fabrication and characterization of flame-retardant and smoke-suppressant of flexible polyurethane foam with modified hydrotalcite. Polym. Adv. Technol. 2021, 32, 2609–2621. [Google Scholar] [CrossRef]
- Kurańska, M.; Barczewski, M.; Uram, K.; Lewandowski, K.; Prociak, A.; Michałowski, S. Basalt waste management in the production of highly effective porous polyurethane composites for thermal insulating applications. Polym. Test. 2019, 76, 90–100. [Google Scholar] [CrossRef]
- Kairytė, A.; Kremensas, A.; Vaitkus, S.; Członka, S.; Strąkowska, A. Fire Suppression and Thermal Behavior of Biobased Rigid Polyurethane Foam Filled with Biomass Incineration Waste Ash. Polymers 2020, 12, 683. [Google Scholar] [CrossRef] [PubMed]
- Kuźnia, M.; Magiera, A.; Zygmunt-Kowalska, B.; Kaczorek-Chrobak, K.; Pielichowska, K.; Szatkowski, P.; Benko, A.; Ziąbka, M.; Jerzak, W. Fly Ash as an Eco-Friendly Filler for Rigid Polyurethane Foams Modification. Materials 2021, 14, 6604. [Google Scholar] [CrossRef] [PubMed]
- Brannum, D.J.; Price, E.J.; Villamil, D.; Kozawa, S.; Brannum, M.; Berry, C.; Semco, R.; Wnek, G.E. Flame-Retardant Polyurethane Foams: One-Pot, Bioinspired Silica Nanoparticle Coating. ACS Appl. Polym. Mater. 2019, 1, 2015–2022. [Google Scholar] [CrossRef]
- Dong, Q.; Chen, K.; Jin, X.; Sun, S.; Tian, Y.; Wang, F.; Liu, P.; Yang, M. Investigation of Flame Retardant Flexible Polyurethane Foams Containing DOPO Immobilized Titanium Dioxide Nanoparticles. Polymers 2019, 11, 75. [Google Scholar] [CrossRef] [PubMed]
- Li, M.-E.; Wang, S.-X.; Han, L.-X.; Yuan, W.-J.; Cheng, J.-B.; Zhang, A.-N.; Zhao, H.-B.; Wang, Y.-Z. Hierarchically porous SiO2/polyurethane foam composites towards excellent thermal insulating, flame-retardant and smoke-suppressant performances. J. Hazard. Mater. 2019, 375, 61–69. [Google Scholar] [CrossRef] [PubMed]
- Zheng, X.; Dong, Q.; Wang, X.; Yu, P.; Wang, W.; Zhang, J.; Ren, L. Improvement of Flame Retardancy of Polyurethane Foam Using DOPO-Immobilized Silica Aerogel. Front. Mater. 2021, 8, 673906. [Google Scholar] [CrossRef]
- Díaz-Gomez, A.; Godoy, M.; Berrio, M.E.; Ramirez, J.; Jaramillo, A.F.; Medina, C.; Montaño, M.; Meléndrez, M.F. Evaluation of the Mechanical and Fire Resistance Properties of Rigid Tannin Polyurethane Foams with Copper Oxide Nanoparticles. Fibers Polym. 2022, 23, 1797–1806. [Google Scholar] [CrossRef]
- Vo, D.K.; Do, T.D.; Nguyen, B.T.; Tran, C.K.; Nguyen, T.A.; Nguyen, D.M.; Pham, L.H.; Nguyen, T.D.; Nguyen, T.-D.; Hoang, D. Effect of metal oxide nanoparticles and aluminum hydroxide on the physicochemical properties and flame-retardant behavior of rigid polyurethane foam. Constr. Build. Mater. 2022, 356, 129268. [Google Scholar] [CrossRef]
- Xu, Z.; Chu, F.; Luo, X.; Jiang, X.; Cheng, L.; Song, L.; Hou, Y.; Hu, W. Magnetic Fe3O4 Nanoparticle/ZIF-8 Composites for Contaminant Removal from Water and Enhanced Flame Retardancy of Flexible Polyurethane Foams. ACS Appl. Nano Mater. 2022, 5, 3491–3501. [Google Scholar] [CrossRef]
- Xie, H.; Yang, W.; Yuen, A.C.Y.; Xie, C.; Xie, J.; Lu, H.; Yeoh, G.H. Study on flame retarded flexible polyurethane foam/alumina aerogel composites with improved fire safety. Chem. Eng. J. 2017, 311, 310–317. [Google Scholar] [CrossRef]
- Lin, B.; Yuen, A.C.Y.; Li, A.; Zhang, Y.; Chen, T.B.Y.; Yu, B.; Lee, E.W.M.; Peng, S.; Yang, W.; Lu, H.-D.; et al. MXene/chitosan nanocoating for flexible polyurethane foam towards remarkable fire hazards reductions. J. Hazard. Mater. 2020, 381, 120952. [Google Scholar] [CrossRef] [PubMed]











| Halogen-Containing FRs | Phosphorous-Containing FRs | Nitrogen-Containing FRs | Other FRs |
|---|---|---|---|
|
|
|
|
| FR | FR Type | LOI (%) | Δ pHRR (%) | Δ THR (%) | Δ TSR (%) | Ref. |
|---|---|---|---|---|---|---|
| SA-sepiolite/PEI (6 BL) | CFR | – | −76 | −27 | – | [161] |
| BPEI-HNT/PAA-HNT (5 BL) | CFR | – | −62 | +2 | −60 | [163] |
| PEI/APP/HNT | CFR | – | −53 | −3 | +200 | [166] |
| Kaolinite | AFR | – | −25 | −29 | −65 | [170] |
| VMT/CS (8 BL) | CFR | – | −53 | −18 | −63 | [171] |
| Mica-PAA/CS (8 BL) | CFR | – | −54 | – | −76 | [172] |
| OMMT/APP-TPP | AFR | – | −34 | −2 | – | [180] |
| PAA/LDH/BPEI/Na-MMT | CFR | – | −31 | −21 | – | [177] |
| Cationic starch/MMT (5 BL) | CFR | – | −23 | −58 | – | [173] |
| Salvia filler/MMT | AFR | 21 | −6 | −3 | −11 | [176] |
| MMT/CS/poly-D-lysine (5 TL)@CS-PA | CFR | – | −73 | −2 | +140 | [174] |
| APP/modified-OMMT | AFR | – | −51 | +6 | −40 | [181] |
| LDH/GO-SC4A (9 BL) | CFR | – | −29 | −12 | – | [178] |
| HT-FR-047 | AFR | 30 | – | – | – | [179] |
| SuBC4A-LDH | AFR | 23 | −44 | −29 | – | [182] |
| LDH-H2PO4− | AFR | 25 | −68 | −84 | −49 | [183] |
| FR | FR Type | LOI (%) | Δ pHRR (%) | Δ THR (%) | Δ TSR (%) | Ref. |
|---|---|---|---|---|---|---|
| SiO2 NPs | CFR | 20 | −55 | −21 | −64 | [187] |
| SiO2 NPs | CFR | 33 | −40 | −29 | – | [189] |
| Al2O3 NPs | CFR | – | −80 | – | – | [194] |
| 12EG/3Zr-AMP | AFR | 31 | −74 | −62 | – | [120] |
| DOPO@TiO2 NPs | AFR | – | −21 | −7 | – | [188] |
| DOPO@SiO2 NPs | AFR | – | −56 | – | – | [190] |
| CuO NPs | AFR | 22 | – | – | – | [191] |
| ZnO NPs/ATTH | AFR | 21 | – | – | – | [192] |
| MgO NPS/ATH | 21 | – | – | – | ||
| Fe3O4@ZIF-8 | CFR | – | −69 | – | – | [193] |
| MXene/CS (8BL) | CFR | – | −57 | −66 | −71 | [195] |
Disclaimer/Publisher’s Note: The statements, opinions and data contained in all publications are solely those of the individual author(s) and contributor(s) and not of MDPI and/or the editor(s). MDPI and/or the editor(s) disclaim responsibility for any injury to people or property resulting from any ideas, methods, instructions or products referred to in the content. |
© 2023 by the authors. Licensee MDPI, Basel, Switzerland. This article is an open access article distributed under the terms and conditions of the Creative Commons Attribution (CC BY) license (https://creativecommons.org/licenses/by/4.0/).
Share and Cite
Cherednichenko, K.; Kopitsyn, D.; Smirnov, E.; Nikolaev, N.; Fakhrullin, R. Fireproof Nanocomposite Polyurethane Foams: A Review. Polymers 2023, 15, 2314. https://doi.org/10.3390/polym15102314
Cherednichenko K, Kopitsyn D, Smirnov E, Nikolaev N, Fakhrullin R. Fireproof Nanocomposite Polyurethane Foams: A Review. Polymers. 2023; 15(10):2314. https://doi.org/10.3390/polym15102314
Chicago/Turabian StyleCherednichenko, Kirill, Dmitry Kopitsyn, Egor Smirnov, Nikita Nikolaev, and Rawil Fakhrullin. 2023. "Fireproof Nanocomposite Polyurethane Foams: A Review" Polymers 15, no. 10: 2314. https://doi.org/10.3390/polym15102314
APA StyleCherednichenko, K., Kopitsyn, D., Smirnov, E., Nikolaev, N., & Fakhrullin, R. (2023). Fireproof Nanocomposite Polyurethane Foams: A Review. Polymers, 15(10), 2314. https://doi.org/10.3390/polym15102314

