Composite Cement Materials Based on β-Tricalcium Phosphate, Calcium Sulfate, and a Mixture of Polyvinyl Alcohol and Polyvinylpyrrolidone Intended for Osteanagenesis
Abstract
1. Introduction
2. Materials and Methods
3. Results and Discussion
4. Conclusions
- In this work, a number of composite cement materials based on β-TCP and CSD were obtained and characterized with the addition of PVA and PVP solutions and a PVA/PVP mixture solution in the ratios of 1/3, 1/1, and 3/1.
- The selected polymers mix well with each other and form a stable homogeneous solution. The formation of intermolecular hydrogen bonds between the polymer components was detected by capillary viscometry and IR-spectroscopy.
- According to the XRD results, the added amount of polymers does not significantly influence the processes of phase formation and crystallization of the system.
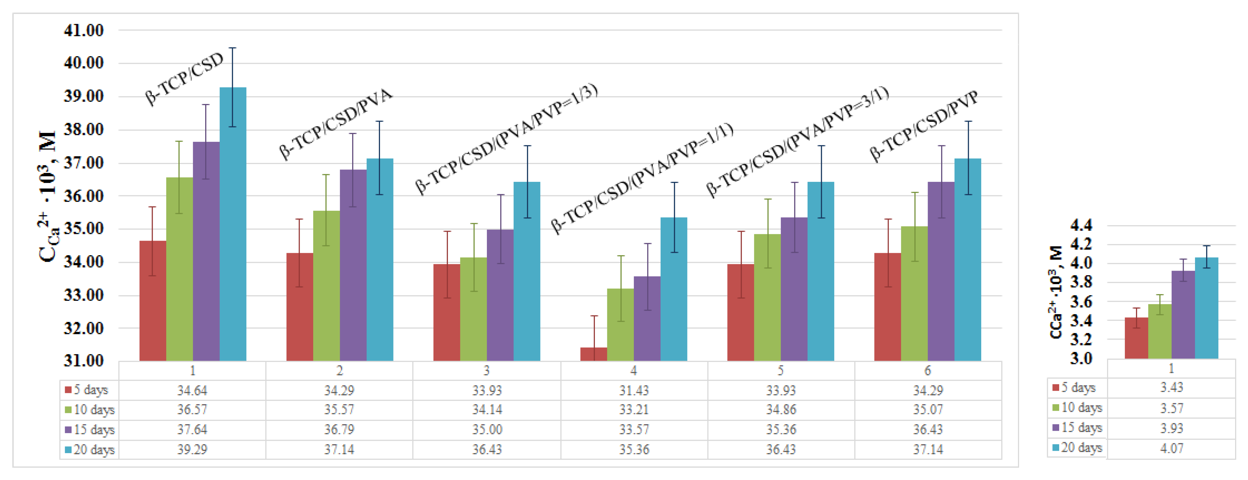
- It has been found that the solubility of the cement is determined to a greater extent by the CSD solubility in view of the lower solubility of pure β-TCP. The manifested interaction between the polymeric components hinders the diffusion and release of calcium ions.
- The study of the cytotoxicity level of the composite cement materials has shown that most of the cells do not die in the presence of the samples. Consequently, these composites are very promising biomaterials for bone regeneration.
Author Contributions
Funding
Institutional Review Board Statement
Informed Consent Statement
Data Availability Statement
Conflicts of Interest
References
- Pina, S.; Oliveira, J.M.; Reis, R.L. Natural-based nanocomposites for bone tissue engineering and regenerative medicine: A review. Adv. Mater. 2015, 27, 1143–1169. [Google Scholar] [CrossRef] [PubMed]
- Sun, X.; Su, W.; Ma, X.; Zhang, H.; Sun, Z.; Li, X. Comparison of the osteogenic capability of rat bone mesenchymal stem cells on collagen, collagen/hydroxyapatite, hydroxyapatite and biphasic calcium phosphate. Regen. Biomater. 2018, 5, 93–103. [Google Scholar] [CrossRef]
- Kucko, N.W.; Herber, R.P.; Leeuwenburgh, S.C.; Jansen, J.A. Calcium phosphate bioceramics and cements. In Principles of Regenerative Medicine, 3rd ed.; Academic Press: London, UK, 2019; pp. 591–611. [Google Scholar]
- Ginebra, M.-P.; Montufar, E.B. Cements as bone repair materials. In Bone Repair Biomaterials; Woodhead Publishing: Cambridge, UK, 2019; pp. 233–271. [Google Scholar]
- Guida, G.; Riccio, V.; Gatto, S.; Migliaresi, C.; Nicodemo, L.; Nicolais, L.; Palomba, C. Biomaterials and Biomechanics; Elsevier Science: Amsterdam, The Netherlands, 1984; Volume 19. [Google Scholar]
- Henning, W.; Blencke, B.A.; Brömer, H.; Deutscher, K.K.; Gross, A.; Ege, W. Investigations with bioactivated polymethylmethacrylates. J. Biomed. Mater. Res. 1979, 13, 89–99. [Google Scholar] [CrossRef] [PubMed]
- Murakami, A.; Behiri, J.C.; Bonfield, W. Rubber-modified bone cement. J. Mater. Sci. 1988, 23, 2029–2036. [Google Scholar] [CrossRef]
- Liu, Y.K.; Park, J.B.; Njus, G.O.; Steinstra, D. Bone particle impregnated bone cement: In vitro studies. J. Biomed. Mater. Res. 1987, 21, 247–261. [Google Scholar] [CrossRef]
- Henrich, D.E.; Cram, A.E.; Park, J.B.; Liu, Y.K.; Reddi, H. Inorganic bone and demineralized bone matrix impregnated bone cement: A preliminary in vivo study. J. Biomed. Mater. Res. 1993, 27, 277–280. [Google Scholar] [CrossRef]
- Topoleski, L.D.T.; Ducheyne, P.; Cuckler, J.M. The fracture toughness of titanium fibre reinforced bone cement. J. Biomed. Mater. Res. 1992, 26, 1599–1617. [Google Scholar] [CrossRef]
- Haider, M. Al-Baghdadi Experimental study on sulfate resistance of concrete with recycled aggregate modified with polyvinyl alcohol (PVA). Case Stud. Constr. Mater. 2021, 14, e00527. [Google Scholar]
- Ishikawa, K.; Miyamoto, Y.; Kon, M.; Nagayama, M.; Asaoka, K. Non-decay type fast-setting calcium phosphate cement: Composite with sodium alginate. Biomaterials 1995, 16, 527–532. [Google Scholar] [CrossRef]
- Khairoun, I.; Boltong, M.G.; Driessens, F.C.; Planell, J.A. Effect of calcium carbonate on clinical compliance of apatitic calcium phosphate bone cement. J. Biomed. Mater. Res. 1997, 38, 356–360. [Google Scholar] [CrossRef]
- Cama, G. Calcium Phosphate Cements for Bone Regeneration. Biomaterials for Bone Regeneration; Woodhead Publishing: Cambridge, UK, 2014; pp. 3–25. [Google Scholar]
- Tang, Z.; Li, X.; Tan, Y.; Fan, H.; Zhang, X. The material and biological characteristics of osteoinductive calcium phosphate ceramics. Regen. Biomater. 2018, 5, 43–59. [Google Scholar] [CrossRef] [PubMed]
- Wang, Y.; Li, X.; Luo, Y.; Zhang, L.; Chen, H.; Min, L.; Chang, Q.; Zhou, Y.; Tu, C.; Zhu, X.; et al. Application of osteoinductive calcium phosphate ceramics in giant cell tumor of the sacrum: Report of six cases. Regen. Biomater. 2022, 9, rbac017. [Google Scholar] [CrossRef] [PubMed]
- Tian, P.; Liu, X. Surface modification of biodegradable magnesium and its alloys for biomedical applications. Regen. Biomater. 2015, 2, 135–151. [Google Scholar] [CrossRef] [PubMed]
- Meng, D.; Dong, L.; Yuan, Y.; Jiang, Q. In vitro and in vivo analysis of the biocompatibility of two novel and injectable calcium phosphate cements. Regen. Biomater. 2019, 6, 13–19. [Google Scholar] [CrossRef]
- Wang, P.; Song, Y.; Weir, M.D.; Sun, J.; Zhao, L.; Simon, C.G.; Xu, H.H. A self-setting iPSMSC-alginate-calcium phosphate paste for bone tissue engineering. Dent. Mater. 2016, 32, 252–263. [Google Scholar] [CrossRef]
- Low, K.L.; Tan, S.H.; Zein, S.H.S.; Roether, J.A.; Mourino, V.; Boccaccini, A.R. Calcium phosphate-based composites as injectable bone substitute materials. J. Biomed. Mater. Res. Part B Appl. Biomater. 2010, 94, 273–286. [Google Scholar] [CrossRef]
- Ginebra, M.P.; Traykova, T.; Planell, J.A. Calcium phosphate cements as bone drug delivery systems: A review. J. Control. Release 2006, 113, 102–110. [Google Scholar] [CrossRef]
- Zhang, J.; Liu, W.; Schnitzler, V.; Tancret, F.; Bouler, J.M. Calcium phosphate cements for bone substitution: Chemistry, handling and mechanical properties. Acta Biomater. 2014, 10, 1035–1049. [Google Scholar] [CrossRef]
- O’Neill, R.; McCarthy, H.O.; Montufar, E.B.; Ginebra, M.P.; Wilson, D.I.; Lennon, A.; Dunne, N. Critical review: Injectability of calcium phosphate pastes and cements. Acta Biomater. 2017, 50, 1–19. [Google Scholar] [CrossRef]
- Chow, L.C.; Eanes, E.D. Calcium phosphate cements. Monogr. Oral Sci. 2001, 18, 148–163. [Google Scholar]
- Komath, M.; Varma, H.K. Development of a fully injectable calcium phosphate cement for orthopedic and dental applications. Bull. Mater. Sci. 2003, 26, 415–422. [Google Scholar] [CrossRef]
- Ducheyne, P.; Hastings, G.W. Metal and Ceramic Biomaterials; CRC Press: Boca Raton, FL, USA, 1984; p. 31. [Google Scholar]
- Sharpe, J.R.; Sammons, R.L.; Marquis, P.M. Effect of pH on protein adsorption to hydroxyapatite and tricalcium phosphate ceramics. Biomaterials 1997, 18, 471–476. [Google Scholar] [CrossRef] [PubMed]
- Samavedi, S.; Whittington, A.R.; Goldstein, A.S. Calcium phosphate ceramics in bone tissue engineering: A review of properties and their influence on cell behavior. Acta Biomater. 2013, 9, 8037–8045. [Google Scholar] [CrossRef] [PubMed]
- Uma Maheshwari, S.; Govindan, K.; Raja, M.; Raja, A.; Pravin, M.B.S.; Vasanth Kumar, S. Preliminary studies of PVA/PVP blends incorporated with HAp and β-TCP bone ceramic as template for hard tissue engineering. Bio-Med. Mater. Eng. 2017, 28, 401–415. [Google Scholar] [CrossRef] [PubMed]
- Topsakal, A.; Ekren, N.; Kilic, O.; Oktar, F.N.; Mahirogullari, M.; Ozkan, O.; Sasmazel, H.T.; Turk, M.; Bogdan, L.M.; Stan, G.E.; et al. Synthesis and characterization of antibacterial drug loaded β-tricalcium phosphate powders for bone engineering applications. J. Mater. Sci. Mater. Med. 2020, 31, 1–17. [Google Scholar] [CrossRef]
- Pan, Y.; Huang, J.L.; Shao, C.Y. Preparation of β-TCP with high thermal stability by solid reaction route. J. Mater. Sci. 2003, 38, 1049–1056. [Google Scholar] [CrossRef]
- Bohner, M.; Santoni, B.L.G.; Döbelin, N. β-tricalcium phosphate for bone substitution: Synthesis and properties. Acta Biomater. 2020, 113, 23–41. [Google Scholar] [CrossRef]
- Eggli, P.S.; Müller, W.; Schenk, R.K. Porous hydroxyapatite and tricalcium phosphate cylinders with two different pore size ranges implanted in the cancellous bone of rabbits. A comparative histomorphometric and histologic study of bony ingrowth and implant substitution. Clin. Orthop. Relat. Res. 1988, 232, 127–138. [Google Scholar] [CrossRef]
- Yamada, S.; Heymann, D.; Bouler, J.M.; Daculsi, G. Osteoclastic resorption of calcium phosphate ceramics with different hydroxyapatite/β-tricalcium phosphate ratios. Biomaterials 1997, 18, 1037–1041. [Google Scholar] [CrossRef]
- Kondo, N.; Ogose, A.; Tokunaga, K.; Ito, T.; Arai, K.; Kudo, N.; Inoue, H.; Irie, H.; Endo, N. Bone formation and resorption of highly purified β-tricalcium phosphate in the rat femoral condyle. Biomaterials 2005, 26, 5600–5608. [Google Scholar] [CrossRef]
- Zerbo, I.R.; Bronckers, A.L.; De Lange, G.; Burger, E.H. Localization of osteogenic and osteoclastic cells in porous β-tricalcium phosphate particles used for human maxillary sinus floor elevation. Biomaterials 2005, 26, 1445–1451. [Google Scholar] [CrossRef] [PubMed]
- Abadi, M.B.H.; Ghasemi, I.; Khavandi, A.; Shokrgozar, M.A.; Farokhi, M.; Homaeigohar, S.S.; Eslamifar, A. Synthesis of nano β-TCP and the effects on the mechanical and biological properties of β-TCP/HDPE/UHMWPE nanocomposites. Polym. Compos. 2010, 31, 1745–1753. [Google Scholar] [CrossRef]
- Yuan, H.; Fernandes, H.; Habibovic, P.; De Boer, J.; Barradas, A.M.; De Ruiter, A.; Walsh, W.R.; Van Blitterswijk, C.A.; De Bruijn, J.D. Osteoinductive ceramics as a synthetic alternative to autologous bone grafting. Proc. Natl. Acad. Sci. USA 2010, 107, 13614–13619. [Google Scholar] [CrossRef] [PubMed]
- Tay, B.K.; Patel, V.V.; Bradford, D.S. Calcium sulfate– and calcium phosphate–based bone substitutes: Mimicry of the mineral phase of bone. Orthop. Clin. N. Am. 1999, 30, 615–623. [Google Scholar] [CrossRef]
- Huan, Z.; Chang, J. Self-setting properties and in vitro bioactivity of calcium sulfate hemihydrate–tricalcium silicate composite bone cements. Acta Biomater. 2007, 3, 952–960. [Google Scholar] [CrossRef]
- Cheng, K.; Zhu, W.; Weng, X.; Zhang, L.; Liu, Y.; Han, C.; Xia, W. Injectable tricalcium phosphate/calcium sulfate granule enhances bone repair by reversible setting reaction. Biochem. Biophys. Res. Commun. 2021, 557, 151–158. [Google Scholar] [CrossRef]
- Podaropoulos, L.; Veis, A.A.; Papadimitriou, S.; Alexandridis, C.; Kalyvas, D. Bone regeneration using b-tricalcium phosphate in a calcium sulfate matrix. J. Oral Implantol. 2009, 35, 28–36. [Google Scholar] [CrossRef]
- Teodorescu, M.; Bercea, M. Poly(vinylpyrrolidone)—A versatile polymer for biomedical and beyond medical applications. Polym.-Plast. Technol. Eng. 2015, 54, 923–943. [Google Scholar] [CrossRef]
- Muppalaneni, S.; Omidian, H. Polyvinyl alcohol in medicine and pharmacy: A perspective. J. Dev. Drugs 2013, 2, 1–5. [Google Scholar] [CrossRef]
- Tonsuaadu, K.; Gross, K.A.; Plūduma, L.; Veiderma, M. A review on the thermal stability of calcium apatites. J. Therm. Anal. Calorim. 2012, 110, 647–659. [Google Scholar] [CrossRef]
- Zidan, H.M.; Abdelrazek, E.M.; Abdelghany, A.M.; Tarabiah, A.E. Characterization and some physical studies of PVA/PVP filled with MWCNTs. J. Mater. Res. Technol. 2019, 8, 904–913. [Google Scholar] [CrossRef]
- Omkaram, I.; Chakradhar, R.S.; Rao, J.L. EPR, optical, infrared and Raman studies of VO2+ ions in polyvinylalcohol films. Phys. B Condens. Matter 2007, 388, 318–325. [Google Scholar] [CrossRef]
- Abdelghany, A.M.; Abdelrazek, E.M.; Badr, S.I.; Morsi, M.A. Effect of gamma-irradiation on (PEO/PVP)/Au nanocomposite: Materials for electrochemical and optical applications. Mater. Des. 2016, 97, 532–543. [Google Scholar] [CrossRef]
- Mondal, D.; Mollick, M.M.R.; Bhowmick, B.; Maity, D.; Bain, M.K.; Rana, D.; Mukhopadhyay, A.; Dana, K.; Chattopadhyay, D. Effect of poly (vinyl pyrrolidone) on the morphology and physical properties of poly (vinyl alcohol)/sodium montmorillonite nanocomposite films. Prog. Nat. Sci. Mater. Int. 2013, 23, 579–587. [Google Scholar] [CrossRef]
- Elashmawi, I.S.; Baiet, H.A. Spectroscopic studies of hydroxyapatite in PVP/PVA polymeric matrix as biomaterial. Curr. Appl. Phys. 2012, 12, 141–146. [Google Scholar] [CrossRef]
- Kupletskaya, N.B.; Kazitsyna, P.A. Application of UV, IR, and NMR-Spectroscopy in Organic Chemistry; High School: Moscow, Russia, 1971; pp. 214–234. [Google Scholar]
- Nakamoto, K. IR and Raman Spectra of Inorganic and Coordination Compounds; High School: Moscow, Russia, 1991. [Google Scholar]
- Sadykov, R.; Lytkina, D.; Stepanova, K.; Kurzina, I. Synthesis of Biocompatible Composite Material Based on Cryogels of Polyvinyl Alcohol and Calcium Phosphates. Polymers 2022, 14, 3420. [Google Scholar] [CrossRef]








| Sample | CSR Values for Different Phases, nm | ||
|---|---|---|---|
| β-TCP | CSD | CSH | |
| β-TCP | 30 | − | − |
| CSH | − | − | 28 |
| β-TCP/CSD | 31 | 36 | − |
| β-TCP/CSD/PVA | 30 | 34 | − |
| β-TCP/CSD/(PVA/PVP = 1/3) | 29 | 32 | − |
| β-TCP/CSD/(PVA/PVP = 1/1) | 28 | 33 | − |
| β-TCP/CSD/(PVA/PVP = 3/1) | 33 | 36 | − |
| β-TCP/CSD//PVP | 28 | 32 | − |
| Number of Days | Weight Losses, wt% | ||||||
|---|---|---|---|---|---|---|---|
| β-TCP | β-TCP/CSD | β-TCP/CSD/PVA | β-TCP/CSD/(PVA/PVP = 1/3) | β-TCP/CSD/(PVA/PVP = 1/1) | β-TCP/CSD/(PVA/PVP = 3/1) | β-TCP/CSD/PVP | |
| 5 | 33 | 34 | 54 | 63 | 60 | 47 | 34 |
| 10 | 40 | 48 | 62 | 65 | 64 | 60 | 40 |
| 15 | 46 | 67 | 75 | 67 | 69 | 72 | 69 |
| 20 | 47 | 68 | 76 | 70 | 72 | 76 | 69 |
Disclaimer/Publisher’s Note: The statements, opinions and data contained in all publications are solely those of the individual author(s) and contributor(s) and not of MDPI and/or the editor(s). MDPI and/or the editor(s) disclaim responsibility for any injury to people or property resulting from any ideas, methods, instructions or products referred to in the content. |
© 2022 by the authors. Licensee MDPI, Basel, Switzerland. This article is an open access article distributed under the terms and conditions of the Creative Commons Attribution (CC BY) license (https://creativecommons.org/licenses/by/4.0/).
Share and Cite
Stepanova, K.; Lytkina, D.; Sadykov, R.; Shalygina, K.; Khojazoda, T.; Mahmadbegov, R.; Kurzina, I. Composite Cement Materials Based on β-Tricalcium Phosphate, Calcium Sulfate, and a Mixture of Polyvinyl Alcohol and Polyvinylpyrrolidone Intended for Osteanagenesis. Polymers 2023, 15, 210. https://doi.org/10.3390/polym15010210
Stepanova K, Lytkina D, Sadykov R, Shalygina K, Khojazoda T, Mahmadbegov R, Kurzina I. Composite Cement Materials Based on β-Tricalcium Phosphate, Calcium Sulfate, and a Mixture of Polyvinyl Alcohol and Polyvinylpyrrolidone Intended for Osteanagenesis. Polymers. 2023; 15(1):210. https://doi.org/10.3390/polym15010210
Chicago/Turabian StyleStepanova, Kseniya, Daria Lytkina, Rustam Sadykov, Kseniya Shalygina, Toir Khojazoda, Rashidjon Mahmadbegov, and Irina Kurzina. 2023. "Composite Cement Materials Based on β-Tricalcium Phosphate, Calcium Sulfate, and a Mixture of Polyvinyl Alcohol and Polyvinylpyrrolidone Intended for Osteanagenesis" Polymers 15, no. 1: 210. https://doi.org/10.3390/polym15010210
APA StyleStepanova, K., Lytkina, D., Sadykov, R., Shalygina, K., Khojazoda, T., Mahmadbegov, R., & Kurzina, I. (2023). Composite Cement Materials Based on β-Tricalcium Phosphate, Calcium Sulfate, and a Mixture of Polyvinyl Alcohol and Polyvinylpyrrolidone Intended for Osteanagenesis. Polymers, 15(1), 210. https://doi.org/10.3390/polym15010210

