Evaluation of the Anticorrosion Performance of CeO2-Modified Graphene Oxide Nanocomposite Epoxy Coating Subjected to Simulated Saline-Alkali Solution
Abstract
:1. Introduction
2. Materials and Methods
2.1. Raw Materials
2.2. Preparation of Simulated Saline Solution and Temperature Gradient Cycle
2.3. Preparation of CeO2–GO Epoxy Coating
2.4. Testing Procedures
2.4.1. Micromorphological Characterization
2.4.2. Electrochemical Testing
3. Anticorrosion Performance
3.1. Open Circuit Potential (OCP) Analysis
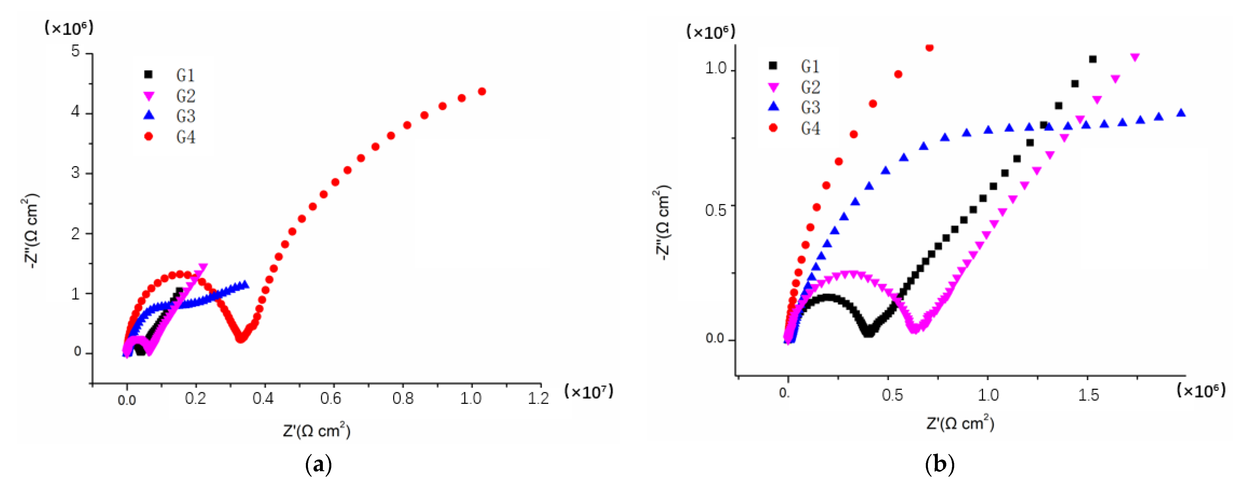
3.2. Electrochemical Alternating Current Impedance Spectroscopy (EIS) Analysis
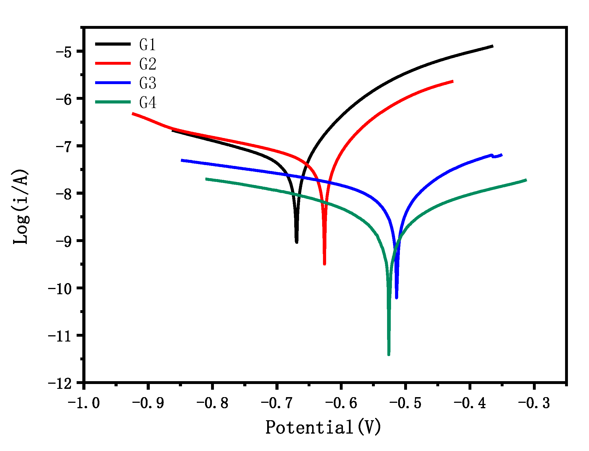
3.3. Tafel Curve Analysis
3.4. Mott–Schottky Curve Analysis
4. Corrosion Morphology Comparison
4.1. Corrosion Depth Analysis of Substrate
4.2. Corrosion Area Analysis of Substrate
5. Conclusions
- (1)
- The anticorrosion properties of CeO2–GO nanocomposites as a coating were analyzed by OCP, EIS, Tafel curve and Mott–Schottky curve. The corrosion current density of the CeO2–GO (4:1)/EP coating after immersion for 31 d was the smallest of the four coatings, only 2.878 × 10−9 A/cm2, which was nearly two orders of magnitude lower than the EP coating. The corrosion current density of the CeO2/EP coating was 1.056 × 10−8 A/cm2, and the protection efficiency was 84.44%, which was also greatly improved compared with the EP coating, benefiting from the dense filling effect of CeO2 nanoparticles.
- (2)
- The 3D fitting image analysis with the stereo microscope showed that the CeO2–GO (4:1)/EP coating had the best barrier effect on the corrosive medium, and the depth of pitting corrosion was the smallest. By analyzing the area of different corrosion depths, the total corrosion area of the CeO2–GO/EP coating is 2513 μm2, which was much smaller than that of the EP coating, GO/EP coating and CeO2/EP coating, indicating that CeO2–GO (4:1) nanocomposite limited the further development of corrosion.
- (3)
- The product formed by the hydrolysis of CeO2 can fill the micropores on the surface and internal capillary channels of the coating and improve the compactness of the coating. At the same time, the CeO2–GO (4:1) nanocomposite had good compatibility with EP and could still show good anticorrosion performance in saline-alkali and temperature changing environments.
Author Contributions
Funding
Institutional Review Board Statement
Informed Consent Statement
Data Availability Statement
Acknowledgments
Conflicts of Interest
References
- Li, Y.; Zhang, Y.; Jungwirth, S.; Seely, N.; Fang, Y.; Shi, X. Corrosion inhibitors for metals in maintenance equipment: Introduction and recent developments. Corros. Rev. 2014, 32, 163–181. [Google Scholar] [CrossRef]
- Nikshunj, S.; Sumit, S. Anticorrosive coating of polymer composites: A review. Mater. Today Proc. 2021, 44, 4498–4502. [Google Scholar] [CrossRef]
- Lv, Q.; Jiang, L.; Ma, B.; Zhao, B.; Huo, Z. A study on the effect of the salt content on the solidification of sulfate saline soil solidified with an alkali-activated geopolymer. Constr. Build. Mater. 2018, 176, 68–74. [Google Scholar] [CrossRef]
- Lili, L.; Baoshan, W. Protection of Halophytes and Their Uses for Cultivation of Saline-Alkali Soil in China. Biology 2021, 10, 353. [Google Scholar]
- Bazarbekova, A.; Shon, C.-S.; Kissambinova, A.; Kim, J.R.; Zhang, D.; Moon, S.-W. Potential of limestone powder to improve the stabilization of sulfate-contained saline soil. IOP Conf. Ser. Mater. Sci. Eng. 2021, 1040, 012016. [Google Scholar] [CrossRef]
- Wang, X.; Xia, T.; Zhang, L.; Ding, Z.; He, S.; Peng, Y. Effect of soil microstructure on the small-strain shear modulus of saline soil. Arab. J. Geosci. 2021, 14, 1. [Google Scholar] [CrossRef]
- Wang, H.; Chen, Z.; Li, H.; Sun, X. Numerical simulation of external sulphate attack in concrete considering coupled chemo-diffusion-mechanical effect. Constr. Build. Mater. 2021, 292, 123325. [Google Scholar] [CrossRef]
- Shang, H.; Zhou, J.; Fan, G.; Yang, G.; You, W. Study on the bond behavior of steel bars embedded in concrete under the coupling of sustained loads and chloride ion erosion. Constr. Build. Mater. 2021, 276, 121684. [Google Scholar] [CrossRef]
- Zeng, L.; Liu, M.; Wu, L.; Zhou, C.; Abi, E. Erosion characteristics of viscoelastic anticorrosive coatings for steel structures under sand flow. Constr. Build. Mater. 2020, 258, 120360. [Google Scholar] [CrossRef]
- Jing, Y.; Wang, P.; Yang, Q.; He, Y.; Bai, Y. Molybdenum disulfide with poly(dopamine) and epoxy groups as an efficiently anticorrosive reinforcers in epoxy coating. Synth. Met. 2020, 259, 116249. [Google Scholar] [CrossRef]
- Xia, Z.; Liu, G.; Dong, Y.; Zhang, Y. Anticorrosive epoxy coatings based on polydopamine modified molybdenum disulfide. Prog. Org. Coat. 2019, 133, 154–160. [Google Scholar] [CrossRef]
- Chen, Y.; Wen, S.; Wang, J.; Wang, G.; Wang, C.; Wang, Y.; Li, S.; Zhang, J. Preparation of α-Fe2O3@TA@GO composite material and its anticorrosion performance in epoxy modified acrylic resin coatings. Prog. Org. Coat. 2021, 154, 105987. [Google Scholar] [CrossRef]
- Wu, Y.; He, Y.; Chen, C.; Zhong, F.; Li, H.; Chen, J.; Zhou, T. Non-covalently functionalized boron nitride by graphene oxide for anticorrosive reinforcement of water-borne epoxy coating. Colloids Surf. A Physicochem. Eng. Asp. 2020, 587, 124337. [Google Scholar] [CrossRef]
- Aziz, F.; Dana, A.; Bin, S.H.; Remi, M.; Hameed, A.L.; Mohamed, B. Decorated fibrous silica epoxy coating exhibiting anti-corrosion properties. Prog. Org. Coat. 2019, 127, 110–116. [Google Scholar]
- Chen, C.; He, Y.; Xiao, G.; Wu, Y.; He, Z.; Zhong, F. Zirconia doped in carbon fiber by electrospinning method and improve the mechanical properties and corrosion resistance of epoxy. Prog. Org. Coat. 2018, 125, 420–431. [Google Scholar] [CrossRef]
- Yang, X.; Liu, J.; Wu, Y.; Liu, J.; Cheng, F.; Jiao, X.; Lai, G. Fabrication of UV-curable solvent-free epoxy modified silicone resin coating with high transparency and low volume shrinkage. Prog. Org. Coat. 2019, 129, 96–100. [Google Scholar] [CrossRef]
- Yu, Z.; Di, H.; Ma, Y.; He, Y.; Liang, L.; Lv, L.; Ran, X.; Pan, Y.; Luo, Z. Preparation of graphene oxide modified by titanium dioxide to enhance the anti-corrosion performance of epoxy coatings. Surf. Coat. Technol. 2015, 276, 471–478. [Google Scholar] [CrossRef]
- Cui, M.; Ren, S.; Zhao, H.; Xue, Q.; Wang, L. Polydopamine coated graphene oxide for anticorrosive reinforcement of water-borne epoxy coating. Chem. Eng. J. 2018, 335, 255–266. [Google Scholar] [CrossRef]
- Zhong, F.; He, Y.; Wang, P.; Chen, C.; Lin, Y.; Wu, Y.; Chen, J. Self-assembled graphene oxide-graphene hybrids for enhancing the corrosion resistance of waterborne epoxy coating. Appl. Surf. Sci. 2019, 488, 801–812. [Google Scholar] [CrossRef]
- Jiang, F.; Zhao, W.; Wu, Y.; Dong, J.; Zhou, K.; Lu, G.; Pu, J. Anti-corrosion behaviors of epoxy composite coatings enhanced via graphene oxide with different aspect ratios. Prog. Org. Coat. 2019, 127, 70–79. [Google Scholar] [CrossRef]
- Ramezanzadeh, B.; Bahlakeh, G.; Ramezanzadeh, M. Polyaniline-cerium oxide (PAni-CeO2) coated graphene oxide for enhancement of epoxy coating corrosion protection performance on mild steel. Corros. Sci. 2018, 137, 111–126. [Google Scholar] [CrossRef]
- Cai, G.; Wang, H.; Zhao, W.; Dong, Z. Effect of nano-CeO2 on corrosion resistance of polyurethane coating. Chin. J. Corros. Prot. 2017, 37, 411–420. [Google Scholar]
- Liu, X.; Jie, H.; Liu, R.; Liu, Y.; Li, T.; Lyu, K. Research on the Preparation and Anticorrosion Properties of EP/CeO2-GO Nanocomposite Coating. Polymers 2021, 13, 183. [Google Scholar] [CrossRef] [PubMed]
- Liu, X.; Liu, R.; Li, T.; Liu, Y.; Liu, L.; Lyu, K.; Shah Surendra, P. Research on the Anticorrosion Properties of CeO2-GO/EP Nanocomposite Coating in Simulated Sea Water. Polymers 2021, 13, 2072. [Google Scholar] [CrossRef] [PubMed]
- Wang, W.; Xu, L.; Li, X.; Yang, Y.; An, E. Self-healing properties of protective coatings containing isophorone diisocyanate microcapsules on carbon steel surfaces. Corros. Sci. 2014, 80, 528–535. [Google Scholar] [CrossRef]
- Gu, S.; Shi, H.; Zhang, C.; Wang, W.; Liu, F.; Han, E.-H. Mesoporous CeO2 containers in water-borne epoxy coatings for dual active corrosion protection of mild steel. Prog. Org. Coat. 2021, 158, 106376. [Google Scholar] [CrossRef]
- Wang, C.; Qin, Z.; Feng, K.; Zhong, B. CeO2 modified graphene nanoplatelets composite powders enhanced the cathodic protection of waterborne zinc-rich epoxy coatings. J. Polym. Res. 2020, 27, 367. [Google Scholar] [CrossRef]
- Liu, X.; Zhang, T.C.; He, H.; Ouyang, L.; Yuan, S. A stearic Acid/CeO2 bilayer coating on AZ31B magnesium alloy with superhydrophobic and self-cleaning properties for corrosion inhibition. J. Alloy. Compd. 2020, 834, 155210. [Google Scholar] [CrossRef]
- Li, H.; Wang, J.; Yang, J.; Zhang, J.; Ding, H. Large CeO2 nanoflakes modified by graphene as barriers in waterborne acrylic coatings and the improved anticorrosion performance. Prog. Org. Coat. 2020, 143, 105607. [Google Scholar] [CrossRef]















| Component | NaHCO3 | CaCl2 | Na2SO4 | MgCl2 | NaCl |
|---|---|---|---|---|---|
| Concentration (g/L) | 0.113 | 0.232 | 2.5304 | 0.5698 | 3.1069 |
| Coating | Ecorr (V) | Icorr (A/cm2) | η (%) | Rp (ohm) |
|---|---|---|---|---|
| G1 | −0.669 | 6.788 × 10−8 | - | 4.985 × 105 |
| G2 | −0.631 | 5.783 × 10−8 | 14.81 | 5.078 × 105 |
| G3 | −0.514 | 1.056 × 10−8 | 84.44 | 4.093 × 106 |
| G4 | −0.527 | 2.878 × 10−9 | 95.76 | 1.475 × 107 |
| Coating | 1 d ND (cm−3) | 11 d ND (cm−3) | 21 d ND (cm−3) | 31 d ND (cm−3) |
|---|---|---|---|---|
| G1 | 9.484 × 1014 | 7.349 × 1015 | 9.039 × 1016 | 4.243 × 1016 |
| G2 | 8.923 × 1014 | 2.327 × 1015 | 9.039 × 1015 | 9.289 × 1015 |
| G3 | 1.494 × 1013 | 1.664 × 1013 | 1.808 × 1014 | 5.530 × 1015 |
| G4 | 5.970 × 1011 | 3.56 × 1012 | 5.165 × 1012 | 9.088 × 1012 |
| Coating | Corrosion Area (μm2) | |||
|---|---|---|---|---|
| 1 | 2 | 3 | Total | |
| G1 | 443 | 1674 | 3744 | 5862 |
| G2 | 160 | 1295 | 2750 | 4205 |
| G3 | 75 | 639 | 3306 | 4020 |
| G4 | 98 | 415 | 2000 | 2513 |
Publisher’s Note: MDPI stays neutral with regard to jurisdictional claims in published maps and institutional affiliations. |
© 2022 by the authors. Licensee MDPI, Basel, Switzerland. This article is an open access article distributed under the terms and conditions of the Creative Commons Attribution (CC BY) license (https://creativecommons.org/licenses/by/4.0/).
Share and Cite
Lyu, K.; Liu, X.; Liu, R.; Yang, H.; Qiao, Y.; Shah, S.P. Evaluation of the Anticorrosion Performance of CeO2-Modified Graphene Oxide Nanocomposite Epoxy Coating Subjected to Simulated Saline-Alkali Solution. Polymers 2022, 14, 1412. https://doi.org/10.3390/polym14071412
Lyu K, Liu X, Liu R, Yang H, Qiao Y, Shah SP. Evaluation of the Anticorrosion Performance of CeO2-Modified Graphene Oxide Nanocomposite Epoxy Coating Subjected to Simulated Saline-Alkali Solution. Polymers. 2022; 14(7):1412. https://doi.org/10.3390/polym14071412
Chicago/Turabian StyleLyu, Kai, Xiaoyan Liu, Ruidan Liu, Heng Yang, Yang Qiao, and Surendra P. Shah. 2022. "Evaluation of the Anticorrosion Performance of CeO2-Modified Graphene Oxide Nanocomposite Epoxy Coating Subjected to Simulated Saline-Alkali Solution" Polymers 14, no. 7: 1412. https://doi.org/10.3390/polym14071412
APA StyleLyu, K., Liu, X., Liu, R., Yang, H., Qiao, Y., & Shah, S. P. (2022). Evaluation of the Anticorrosion Performance of CeO2-Modified Graphene Oxide Nanocomposite Epoxy Coating Subjected to Simulated Saline-Alkali Solution. Polymers, 14(7), 1412. https://doi.org/10.3390/polym14071412

