Study on Fire Behavior, Thermal Stability and Degradation Kinetics of Thiol-Ene with Poly(aminopropyl/phenyl)silsesquioxane
Abstract
:1. Introduction
2. Materials and Methods
2.1. Materials
2.2. Synthesis of Poly(aminopropyl/phenyl)silsesquioxane (PA)
2.3. Preparation of TE Composites
2.4. Characterization and Measurement
2.5. Thermal Degradation Theory
- (1)
- Kissinger method [33]
- (2)
3. Results and Discussion
3.1. Flame Retardancy
3.2. Thermal Stability
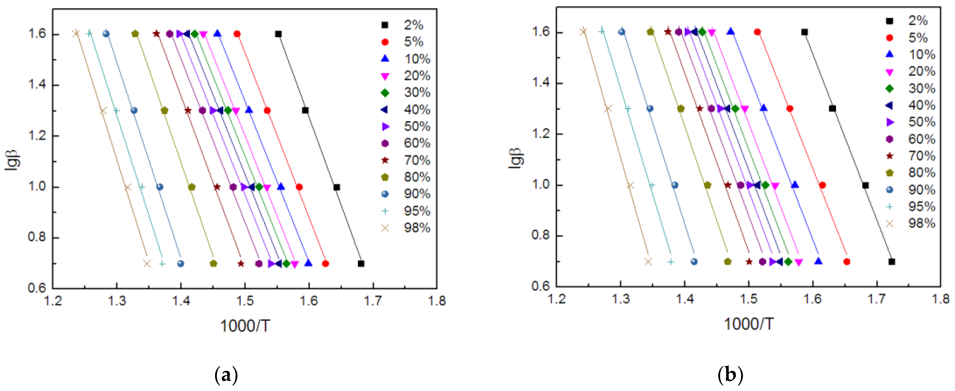
3.3. Thermal Degradation Kinetics
4. Conclusions
Funding
Institutional Review Board Statement
Informed Consent Statement
Data Availability Statement
Acknowledgments
Conflicts of Interest
References
- Yao, H.-Y.; Lin, H.-R.; Sue, G.-P.; Lin, Y.-J. Chitosan-based hydrogels prepared by UV polymerization for wound dressing. Polym. Polym. Compos. 2019, 27, 155–167. [Google Scholar] [CrossRef]
- Wang, X.; Wang, X.; Song, L.; Xing, W.; Tang, G.; Hua, W.; Hu, Y. Preparation and thermal stability of UV-cured epoxy-based coatings modified with octamercaptopropyl POSS. Thermochim. Acta 2013, 568, 130–139. [Google Scholar] [CrossRef]
- Qian, J.; Li, Z.; Huang, N.; Lu, Q.; Xia, J. UV-Irradiation Polymerization of Bis-EDOT Methane Derivatives and Their Application for Br2 Detection. Polymer 2021, 226, 123808. [Google Scholar] [CrossRef]
- Kalaithong, W.; Molloy, R.; Nalampang, K.; Somsunan, R. Design and optimization of polymerization parameters of carboxymethyl chitosan and sodium 2-acrylamido-2-methylpropane sulfonate hydrogels as wound dressing materials. Eur. Polym. J. 2021, 143, 110186. [Google Scholar] [CrossRef]
- Wang, J.; Tsai, C.; Tsai, N.; Chiang, C.; Li, Y. An injectable, dual crosslinkable hybrid pectin methacrylate (PECMA)/gelatin methacryloyl (GelMA) hydrogel for skin hemostasis applications. Int. J. Biol. Macromol. 2021, 185, 441–450. [Google Scholar] [CrossRef] [PubMed]
- Manjunath, M.; Naveen, K.; Vinod, P.; Balashanmugam, N.; Shankar, M. Mechanical characterization of UV photopolymerized PMMA with different photo-initiator concentration. Appl. Mech. Mater. 2021, 903, 11–16. [Google Scholar]
- Kwisnek, L.; Heinz, S.; Wiggins, J.; Nazarenko, S. Multifunctional thiols as additives in UV-cured PEG-diacrylate membranes for CO2 separation. J. Membr. Sci. 2011, 369, 429–436. [Google Scholar] [CrossRef]
- Sparks, B.; Kuchera, T.; Jungman, M.; Richardson, A.; Savin, D.; Hait, S.; Lichtenhan, J.; Striegel, M.; Patton, D. Cyclic Tetravinylsiloxanetetraols as Hybrid Inorganic-Organic Thiol-Ene Networks. J. Mater. Chem. 2012, 22, 3817–3824. [Google Scholar] [CrossRef]
- Hoyle, C.; Bowman, C. Thiol-ene click chemistry. Angew. Chem. Int. Ed. 2010, 49, 1540–1573. [Google Scholar] [CrossRef] [PubMed]
- Ma, S.; Wang, Y.; Zhang, H.; Li, Y.; Ou, J.; Wei, Y.; Ye, M. One-step fabrication of cinchona-based hybrid monolithic chiral stationary phases via photo-initiated thiol-ene polymerization for cLC enantioseparation. Talanta 2019, 198, 432–439. [Google Scholar] [CrossRef] [PubMed]
- Romera, C.; Oliveira, D.; Araújo, P.; Sayer, C. Biobased ester 2-(10-undecenoyloxy)ethyl methacrylate as asymmetrical diene monomer in thiol-ene polymerization. Ind. Eng. Chem. Res. 2019, 58, 21044–21055. [Google Scholar] [CrossRef]
- Le, C.M.Q.; Morlet-Savary, F.; Chemtob, A. Role of thiol oxidation by air in the mechanism of the self-initiated thermal thiol–ene polymerization. Polym. Chem. 2021, 12, 6594–6605. [Google Scholar] [CrossRef]
- Lee, J.; Lee, Y.; Park, S.; Ha, K. Preparation and Properties of Thiol-ene UV-cured Nanocomposites with Methacrylate-grafted Cellulose Nanocrystals as Fillers. Polym. Korea 2019, 43, 612–620. [Google Scholar] [CrossRef]
- Çakmakçı, E.; Mülazim, Y.; Kahraman, M.; Apohan, N. Flame retardant thiol-ene photocured coatings. React. Funct. Polym. 2011, 71, 36–41. [Google Scholar] [CrossRef]
- Çakmakçı, E.; Mülazim, Y.; Kahraman, M.; Apohan, N. Preparation and characterization of boron containing thiol-ene photocured. Prog. Org. Coat. 2012, 75, 28–32. [Google Scholar] [CrossRef]
- Covaci, A.; Harrad, S.; Abdallah, M.; Ali, N.; Law, R.; Herzke, D.; Wit, C. Novel brominated flame retardants: A review of their analysis, environmental fate and behaviour. Environ. Int. 2011, 37, 532–556. [Google Scholar] [CrossRef] [PubMed]
- Wit, C.; Herzke, D.; Vorkamp, K. Brominated flame retardants in the Arctic environment—Trends and new candidates. Sci. Total Environ. 2010, 15, 2885–2888. [Google Scholar] [CrossRef]
- Rakotomalala, M.; Wagner, S.; Döring, M. Recent developments in halogen free flame retardants for epoxy resins for electrical and electronic applications. Materials 2010, 3, 4300–4327. [Google Scholar] [CrossRef] [PubMed] [Green Version]
- Levchik, S.; Weil, E. Thermal decomposition, combustion and flame-retardancy of epoxy resins—A review of the recent literature. Polym. Int. 2004, 53, 1901–1929. [Google Scholar] [CrossRef]
- Zhao, X.; Vignesh, H.; Llorca, J.; Wang, D. Impact of halogen-free flame retardant with varied phosphorus chemical surrounding on the properties of diglycidyl ether of bisphenol—A type epoxy resin: Synthesis, fire behaviour, flame-retardant mechanism and mechanical properties. RSC Adv. 2016, 6, 59226–59236. [Google Scholar] [CrossRef] [Green Version]
- Wang, Y.; Feng, W.; Dong, Q.; Xie, M.; Peng, L.; Ding, Y.; Zhang, S.; Yang, M.; Zheng, G. Core-shell expandable graphite @ aluminum hydroxide as a flame-retardant for rigid polyurethane foams. Polym. Degrad. Stab. 2017, 146, 267–276. [Google Scholar] [CrossRef]
- Chen, S.; Bao, X.; Wu, F.; Wang, J. Fire Retardancy and Thermogravimetric Kinetics of Thiol-Ene Degradation as Affected by Added 9,10-Dihydro-9-Oxa-10-Phosphaphenanthrene-10-Oxide (DOPO). J. Macromol. Sci. Part B 2021, 61, 1–9. [Google Scholar] [CrossRef]
- Chen, X.; Yu, J.; He, M.; Guo, S.; Luo, L. Effects of zinc borate and microcapsulated red phosphorus on mechanical properties and flame retardancy of polypropylene/magnesium hydroxide composites. J. Polym. Res. 2009, 16, 357–362. [Google Scholar] [CrossRef]
- Vahabi, H.; Laoutid, F.; Mehrpouya, M.; Saeb, S.; Dubois, S. Flame retardant polymer materials: An update and the future for 3D printing developments. Mater. Sci. Eng. R Rep. 2021, 144, 100604. [Google Scholar] [CrossRef]
- Wang, W.; Peng, L.; Hsiue, G. Characterization and properties of new silicone-containing epoxy resin. Polymer 2000, 41, 6113–6120. [Google Scholar] [CrossRef]
- Liu, S.; Ye, H.; Zhou, Y.; He, J.; Jiang, Z.; Zhao, J.; Huang, X. Study on flame-retardant mechanism of polycarbonate containing sulfonate-silsesquioxane-fluoro retardants by TGA and FTIR. Polym. Degrad. Stab. 2006, 91, 1808–1814. [Google Scholar] [CrossRef]
- Wang, J.; Xin, Z. Flame retardancy, thermal, rheological and mechanical properties of polycarbonate/polysilsesquioxane system. J. Appl. Polym. Sci. 2010, 115, 330–337. [Google Scholar] [CrossRef]
- Wu, K.; Song, L.; Hu, Y.; Lu, H.; Kandola, B.; Kandare, E. Synthesis and characterization of a functional polyhedral oligomeric silsesquioxane and its flame retardancy in epoxy resin. Prog. Org. Coat. 2009, 65, 490–497. [Google Scholar] [CrossRef]
- Liu, S.; Lang, X.; Ye, H.; Zhang, S.; Zhao, J. Preparation and characterization of copolymerized aminopropyl/phenylsilsesquioxane microparticles. Eur. Polym. J. 2005, 41, 996–1001. [Google Scholar] [CrossRef]
- Wu, F.; Bao, X.; Xu, H.; Kong, D.; Wang, J. Functionalization of graphene oxide with polysilicone: Synthesis, characterization and fire retardancy in thiol-ene systems. J. Macromol. Sci. Part B 2021, 60, 339–349. [Google Scholar] [CrossRef]
- Bao, X.; Wu, F.; Wang, J. Thermal degradation behavior of epoxy resin containing modified carbon nanotubes. Polymers 2021, 13, 3332. [Google Scholar] [CrossRef] [PubMed]
- Wang, J. Silicon-aluminum synergistic mechanism in flame retardancy of epoxy resin. Polym. Compos. 2014, 35, 1553–1558. [Google Scholar] [CrossRef]
- Kissinger, H. Reaction kinetics in differential thermal analysis. Anal. Chem. 1957, 29, 1702–1706. [Google Scholar] [CrossRef]
- Flynn, J. A quick, direct method for the determination of activation energy from thermogravimetric data. J. Polym. Sci. Polym. Lett. 1966, 4, 323–328. [Google Scholar] [CrossRef]
- Flynn, J. Initial kinetic parameters from thermogravimetric rate and conversion data. J. Polym. Sci. Polym. Lett. 1967, 5, 191–196. [Google Scholar] [CrossRef]
- Wang, L.; Yu, J.; Tang, Z.; Jiang, P. Synthesis, characteristic, and flammability of modified carbon nanotube/poly(ethylene-co-vinyl acetate) nanocomposites containing phosphorus and silicon. J. Mater. Sci. 2010, 45, 6668–6676. [Google Scholar] [CrossRef]
- Vahabi, H.; Kandola, B.; Saeb, M. Flame Retardancy Index for thermoplastic composites. Polymers 2019, 11, 407. [Google Scholar] [CrossRef] [Green Version]
- Qi, Y.; Weng, Z.; Zhang, K.; Wang, J.; Zhang, S.; Liu, C.; Jian, X. Magnolol-based bio-epoxy resin with acceptable glass transition temperature, processability and flame retardancy. Chem. Eng. J. 2020, 387, 124115. [Google Scholar] [CrossRef]
- Wang, S.; Yang, X.; Li, Z.; Xu, X.; Liu, H.; Wang, D.; Min, H.; Shang, S. Novel eco-friendly maleopimaric acid based polysiloxane flame retardant and application in rigid polyurethane foam. Compos. Sci. Technol. 2020, 198, 108272. [Google Scholar] [CrossRef]
- Wang, Q.; Xiong, L.; Liang, H.; Chen, L.; Huang, S. Synthesis of a novel polysiloxane containing phosphorus, and boron and its effect on flame retardancy, mechanical, and thermal properties of epoxy resin. Polym. Compos. 2018, 39, 807–814. [Google Scholar] [CrossRef]
- Emre, B.; Oktay, B.; Kahraman, M.; Apohan, N. UV cured thiol-ene flame retardant hybrid coatings. Prog. Org. Coat. 2013, 76, 936–943. [Google Scholar]
- Ahuja, D.; Kumar, L.; Kaushik, A. Thermal stability of starch bionanocomposites films: Exploring the role of esterified cellulose nanofibers isolated from crop residue. Carbohydr. Polym. 2021, 255, 117466. [Google Scholar] [CrossRef] [PubMed]
- Zhou, W.; Yang, H. Flame retarding mechanism of polycarbonate containing methylphenyl-silicone. Thermochim. Acta 2007, 452, 43–48. [Google Scholar] [CrossRef]
- Liu, B.; Wang, H.; Guo, X.; Yang, R.; Li, X. Effects of an Organic-Inorganic Hybrid Containing Allyl Benzoxazine and POSS on Thermal Properties and Flame Retardancy of Epoxy Resin. Polymers 2019, 11, 770. [Google Scholar] [CrossRef] [PubMed] [Green Version]










| Sample | PHRR (kW/m2) | THR (MJ/m2) | TTI (s) | FRI | Flame Retardancy Performance |
|---|---|---|---|---|---|
| TE | 2152.4 | 188.0 | 102.5 | - | - |
| FRTE | 1642.8 | 160.7 | 154.5 | 2.31 | good |
| Sample | Temperature (°C) | Peak Rate (wt%/°C) | Residue Char (wt%) | |
|---|---|---|---|---|
| T5wt% | Tmax | |||
| TE | 345.7 | 385.9 | 1.95 | 1.33 |
| FRTE | 327.3 | 387.8 | 1.76 | 4.60 |
| Sample | Temperature (°C) | E (kJ/mol) | lnA (1/min) | |||
|---|---|---|---|---|---|---|
| 5 °C/min | 10 °C/min | 20 °C/min | 40 °C/min | |||
| TE | 367.5 | 385.9 | 407.5 | 433.4 | 107.4 | 11.4 |
| FRTE | 372.3 | 387.8 | 408.0 | 433.5 | 116.7 | 13.1 |
Publisher’s Note: MDPI stays neutral with regard to jurisdictional claims in published maps and institutional affiliations. |
© 2022 by the author. Licensee MDPI, Basel, Switzerland. This article is an open access article distributed under the terms and conditions of the Creative Commons Attribution (CC BY) license (https://creativecommons.org/licenses/by/4.0/).
Share and Cite
Wang, J. Study on Fire Behavior, Thermal Stability and Degradation Kinetics of Thiol-Ene with Poly(aminopropyl/phenyl)silsesquioxane. Polymers 2022, 14, 1142. https://doi.org/10.3390/polym14061142
Wang J. Study on Fire Behavior, Thermal Stability and Degradation Kinetics of Thiol-Ene with Poly(aminopropyl/phenyl)silsesquioxane. Polymers. 2022; 14(6):1142. https://doi.org/10.3390/polym14061142
Chicago/Turabian StyleWang, Jiangbo. 2022. "Study on Fire Behavior, Thermal Stability and Degradation Kinetics of Thiol-Ene with Poly(aminopropyl/phenyl)silsesquioxane" Polymers 14, no. 6: 1142. https://doi.org/10.3390/polym14061142
APA StyleWang, J. (2022). Study on Fire Behavior, Thermal Stability and Degradation Kinetics of Thiol-Ene with Poly(aminopropyl/phenyl)silsesquioxane. Polymers, 14(6), 1142. https://doi.org/10.3390/polym14061142
