Sequential Infiltration Synthesis into Maltoheptaose and Poly(styrene): Implications for Sub-10 nm Pattern Transfer
Abstract
:1. Introduction
2. Results and Discussion
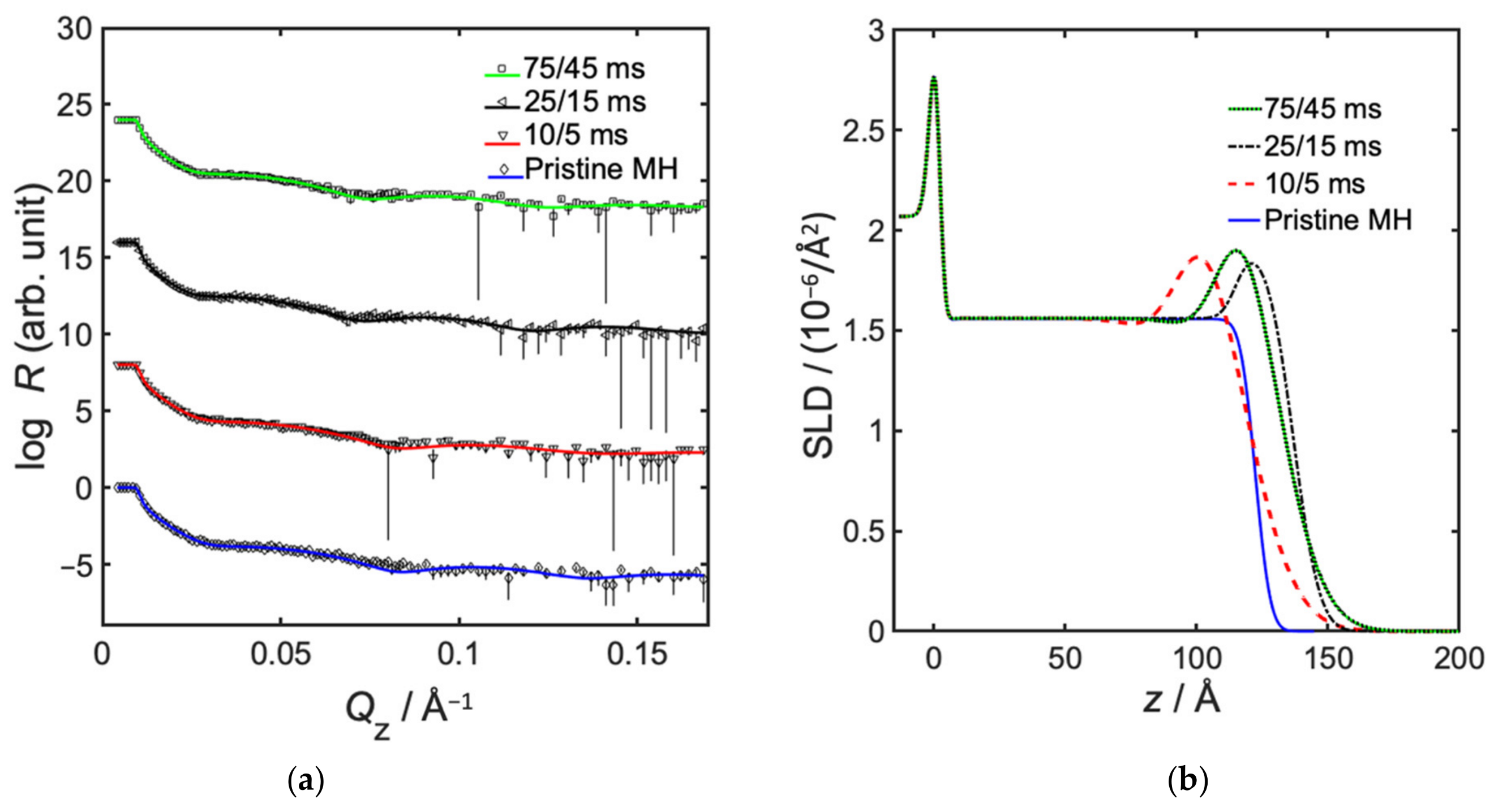
2.1. Process Parameter Effect on MH Infiltration
2.2. Process Parameter Effect on PS-OH Infiltration
2.3. Infiltration into PS-b-MH for Pattern Transfer
3. Methods/Experimental
3.1. Sample Preparation
3.2. Sequential Infiltration Synthesis
3.3. Neutron Reflectometry Characterization
3.4. Pattern Transfer
4. Conclusions
Supplementary Materials
Author Contributions
Funding
Institutional Review Board Statement
Data Availability Statement
Acknowledgments
Conflicts of Interest
References
- Cara, E.; Murataj, I.; Milano, G.; De Leo, N.; Boarino, L.; Ferrarese Lupi, F. Recent Advances in Sequential Infiltration Synthesis (SIS) of Block Copolymers (BCPs). Nanomaterials 2021, 11, 994. [Google Scholar] [CrossRef] [PubMed]
- Cummins, C.; Ghoshal, T.; Holmes, J.D.; Morris, M.A. Strategies for Inorganic Incorporation using Neat Block Copolymer Thin Films for Etch Mask Function and Nanotechnological Application. Adv. Mater. 2016, 28, 5586–5618. [Google Scholar] [CrossRef] [PubMed]
- Sinturel, C.; Bates, F.S.; Hillmyer, M.A. High χ–Low N Block Polymers: How Far Can We Go? ACS Macro Lett. 2015, 4, 1044–1050. [Google Scholar] [CrossRef]
- International Roadmap for Devices and Systems, 2020 Update, More Moore. Available online: https://irds.ieee.org/editions/2020/more-moore (accessed on 1 April 2021).
- O’Driscoll, S.; Demirel, G.; Farrell, R.A.; Fitzgerald, T.G.; O’Mahony, C.; Holmes, J.D.; Morris, M.A. The morphology and structure of PS-b-P4VP block copolymer films by solvent annealing: Effect of the solvent parameter. Polym. Adv. Technol. 2011, 22, 915–923. [Google Scholar] [CrossRef]
- Chen, Y.; Xiong, S. Directed self-assembly of block copolymers for sub-10 nm fabrication. Int. J. Extrem. Manuf. 2020, 2, 032006. [Google Scholar] [CrossRef]
- Leng, C.Z.; Losego, M.D. Vapor phase infiltration (VPI) for transforming polymers into organic–inorganic hybrid materials: A critical review of current progress and future challenges. Mater. Horiz. 2017, 4, 747–771. [Google Scholar] [CrossRef]
- Elam, J.W.; Biswas, M.; Darling, S.B.; Yanguas-Gil, A.; Emery, J.D.; Martinson, A.B.F.; Nealey, P.F.; Segal-Peretz, T.; Peng, Q.; Winterstein, J.; et al. New Insights into Sequential Infiltration Synthesis. ECS Trans. 2015, 69, 147–157. [Google Scholar] [CrossRef] [Green Version]
- Weisbord, I.; Shomrat, N.; Azoulay, R.; Kaushansky, A.; Segal-Peretz, T. Understanding and Controlling Polymer–Organometallic Precursor Interactions in Sequential Infiltration Synthesis. Chem. Mater. 2020, 32, 4499–4508. [Google Scholar] [CrossRef]
- Löfstrand, A.; Jafari Jam, R.; Mothander, K.; Nylander, T.; Mumtaz, M.; Vorobiev, A.; Chen, W.-C.; Borsali, R.; Maximov, I. Poly(styrene)-block-Maltoheptaose Films for Sub-10 nm Pattern Transfer: Implications for Transistor Fabrication. ACS Appl. Nano Mater. 2021, 4, 5141–5151. [Google Scholar] [CrossRef]
- Yang, F.; Brede, J.; Ablat, H.; Abadia, M.; Zhang, L.; Rogero, C.; Elliott, S.D.; Knez, M. Reversible and Irreversible Reactions of Trimethylaluminum with Common Organic Functional Groups as a Model for Molecular Layer Deposition and Vapor Phase Infiltration. Adv. Mater. Interfaces 2017, 4, 1700237. [Google Scholar] [CrossRef] [Green Version]
- Snelgrove, M.; McFeely, C.; Shiel, K.; Hughes, G.; Yadav, P.; Weiland, C.; Woicik, J.C.; Mani-Gonzalez, P.G.; Lundy, R.; Morris, M.A.; et al. Analysing trimethylaluminum infiltration into polymer brushes using a scalable area selective vapor phase process. Mater. Adv. 2021, 2, 769–781. [Google Scholar] [CrossRef]
- Biswas, M.; Libera, J.A.; Darling, S.B.; Elam, J.W. New Insight into the Mechanism of Sequential InfiltrationSynthesis from Infrared Spectroscopy. Chem. Mater. 2014, 26, 6135–6141. [Google Scholar] [CrossRef]
- Peng, Q.; Tseng, Y.-C.; Long, Y.; Mane, A.U.; DiDona, S.; Darling, S.B.; Elam, J.W. Effect of Nanostructured Domains in Self-Assembled Block Copolymer Films on Sequential Infiltration Synthesis. Langmuir 2017, 33, 13214–13223. [Google Scholar] [CrossRef]
- Segal-Peretz, T.; Winterstein, J.; Doxastakis, M.; Ramírez-Hernández, A.; Biswas, M.; Ren, J.; Suh, H.S.; Darling, S.B.; Liddle, J.A.; Elam, J.W.; et al. Characterizing the Three-Dimensional Structure of Block Copolymers via Sequential Infiltration Synthesis and Scanning Transmission Electron Tomography. ACS Nano 2015, 9, 5333–5347. [Google Scholar] [CrossRef]
- Cianci, E.; Nazzari, D.; Seguini, G.; Perego, M. Trimethylaluminum Diffusion in PMMA Thin Films during Sequential Infiltration Synthesis: In Situ Dynamic Spectroscopic Ellipsometric Investigation. Adv. Mater. Interfaces 2018, 5, 1801016. [Google Scholar] [CrossRef]
- Müller-Buschbaum, P. GISAXS and GISANS as metrology technique for understanding the 3D morphology of block copolymer thin films. Eur. Polym. J. 2016, 81, 470–493. [Google Scholar] [CrossRef]
- Torikai, N.; Yamada, N.L.; Noro, A.; Harada, M.; Kawaguchi, D.; Takano, A.; Matsushita, Y. Neutron Reflectometry on Interfacial Structures of the Thin Films of Polymer and Lipid. Polym. J. 2007, 39, 1238. [Google Scholar] [CrossRef] [Green Version]
- Löfstrand, A.; Vorobiev, A. Investigation of Static Sequential Infiltration Synthesis into Polystyrene-block-Maltoheptaose by Neutron Reflectivity [Data Set]; Institut Laue-Langevin (ILL): Grenoble, France, 2021. [Google Scholar] [CrossRef]
- Vorobiev, A.; Devishvilli, A.; Palsson, G.; Rundlöf, H.; Johansson, N.; Olsson, A.; Dennison, A.; Wollf, M.; Giroud, B.; Aguettaz, O.; et al. Recent upgrade of the polarized neutron reflectometer Super ADAM. Neutron News 2015, 26, 25–26. [Google Scholar] [CrossRef]
- Devishvili, A.; Zhernenkov, K.; Dennison, A.J.C.; Toperverg, B.P.; Wolff, M.; Hjörvarsson, B.; Zabel, H. SuperADAM: Upgraded polarized neutron reflectometer at the Institut Laue-Langevin. Rev. Sci. Instrum. 2013, 84, 025112. [Google Scholar] [CrossRef]
- Braun, L.; Uhlig, M.; von Klitzing, R.; Campbell, R.A. Polymers and surfactants at fluid interfaces studied with specular neutron reflectometry. Adv. Colloid Interface Sci. 2017, 247, 130–148. [Google Scholar] [CrossRef]
- pySAred; v1.5; Institut Laue-Langevin (ILL): Grenoble, France, 2019.
- Bjorck, M.; Andersson, G. GenX: An extensible X-ray reflectivity refinement program utilizing differential evolution. J. Appl. Crystallogr. 2007, 40, 1174–1178. [Google Scholar] [CrossRef]
- Russell, T.P. X-ray and neutron reflectivity for the investigation of polymers. Mater. Sci. Rep. 1990, 5, 171–271. [Google Scholar] [CrossRef]
- Sears, V.F. Neutron scattering lengths and cross sections. Neutron News 1992, 3, 26–37. [Google Scholar] [CrossRef]
- Neutron scattering Lengths and Cross Sections. Available online: https://www.ncnr.nist.gov/resources/n-lengths/ (accessed on 27 January 2021).
- Sun, H.-S.; Chen, Y.; Lee, W.-Y.; Chiu, Y.-C.; Isono, T.; Satoh, T.; Kakuchi, T.; Chen, W.-C. Synthesis, morphology, and electrical memory application of oligosaccharide-based block copolymers with π-conjugated pyrene moieties and their supramolecules. Polym. Chem. 2016, 7, 1249–1263. [Google Scholar] [CrossRef]
- Kroh, L.W. Caramelisation in food and beverages. Food Chem. 1994, 51, 373–379. [Google Scholar] [CrossRef]
- Mark, E.J. The Polymer Data Handbook, 2nd ed.; Oxford University Press: Oxford, MS, USA, 2009. [Google Scholar]
- Waldman, R.Z.; Mandia, D.J.; Yanguas-Gil, A.; Martinson, A.B.F.; Elam, J.W.; Darling, S.B. The chemical physics of sequential infiltration synthesis—A thermodynamic and kinetic perspective. J. Chem. Phys. 2019, 151, 190901. [Google Scholar] [CrossRef]






| Material | ρ/103 (kg/m3) | ∑ibc,i/10−15 m | M/10−3 (kg/mol) | SLD/10−6 Å−2 |
|---|---|---|---|---|
| Si | 2.33 | 4.15 | 28.1 | 2.07 |
| SiO2 | 2.65 | 15.8 | 60.1 | 4.18 |
| Al2O3 | 3.95 | 24.3 | 102 | 5.67 |
| PS (C8H8)n | 1.00 | 23.3 | 104 | 1.35 |
| MH (C42H72O36) | 1.85 | 219 | 1152 | 2.12 |
| MH | Pristine | Infiltrated | ||
|---|---|---|---|---|
| Exposure Time/s | 0 | 20 | 60 * | 100 |
| Thickness top layer/Å | - | 13.8 ± 0.8 | 22 ± 3 | 23 ± 3 |
| SLD top layer/10−6 Å−2 | - | 3.2 ± 0.2 | 1.9 ± 0.1 | 1.6 ± 0.1 |
| Top roughness top layer/Å | - | 14 ± 1 | 8 ± 2 | 2 ± (+6/−1) |
| Included Al2O3/vol% | 0 | 40 | 8 | 2 |
| Thickness lower layer/Å | 120 ± 3 | 107 ± 3 | 113 ± 3 | 120 ± 3 |
| SLD lower layer/10−6 Å−2 | 1.56 ± 0.03 | 1.56 | 1.56 | 1.56 |
| Top roughness lower layer/Å | 5 ± 2 | 9 | 4 | 4 |
| Thickness native oxide layer/Å | 2 | 2 | 2 | 2 |
| SLD native oxide layer/10−6 Å−2 | 4.16 | 4.16 | 4.16 | 4.16 |
| Top roughness native oxide layer/Å | 2 | 2 | 2 | 2 |
| SLD silicon substrate layer/10−6 Å−2 | 2.07 | 2.07 | 2.07 | 2.07 |
| Top roughness silicon substrate layer/Å | 3 | 3 | 3 | 3 |
| MH | Pristine | Infiltrated | ||
|---|---|---|---|---|
| Temperature/°C | - | 64 | 80 * | 100 |
| Thickness top layer/Å | - | 25 ± 3 | 22 ± 3 | 27 ± 2 |
| SLD top layer/10−6 Å−2 | - | 1.79 ± 0.09 | 1.9 ± 0.1 | 1.70 ± 0.06 |
| Top roughness top layer/Å | - | 7 ± 2 | 8 ± 2 | 4 ± 3 |
| Included Al2O3/vol% | 0 | 6 | 8 | 3 |
| Thickness lower layer/Å | 120 ± 3 | 109 ± 3 | 113 ± 3 | 110 ± 2 |
| SLD lower layer/10−6 Å−2 | 1.56 ± 0.03 | 1.56 | 1.56 | 1.56 |
| Top roughness lower layer/Å | 5 ± 2 | 4 | 4 | 4 |
| Thickness native oxide layer/Å | 2 | 2 | 2 | 2 |
| SLD native oxide layer/10−6 Å−2 | 4.16 | 4.16 | 4.16 | 4.16 |
| Top roughness native oxide layer/Å | 2 | 2 | 2 | 2 |
| SLD silicon substrate layer/10−6 Å−2 | 2.07 | 2.07 | 2.07 | 2.07 |
| Top roughness silicon substrate layer/Å | 3 | 3 | 3 | 3 |
| MH | Pristine | Infiltrated | ||
|---|---|---|---|---|
| Pulse Duration (TMA/H2O)/ms | - | 10/5 | 25/15 * | 75/45 |
| Thickness top layer/Å | - | 16.3 ± 0.7 | 22 ± 3 | 15.1 ± 0.9 |
| SLD top layer/10−6 Å−2 | - | 3.22 ± 0.2 | 1.9 ± 0.1 | 3.21 ± 0.2 |
| Top roughness top layer/Å | - | 17.6 ± 0.9 | 8 ± 2 | 16 ± 1 |
| Included Al2O3/vol% | 0 | 40 | 8 | 40 |
| Thickness lower layer/Å | 120 ± 3 | 93 ± 3 | 113 ± 3 | 109 ± 3 |
| SLD lower layer/10−6 Å−2 | 1.56 ± 0.03 | 1.56 | 1.56 | 1.56 |
| Top roughness lower layer/Å | 5 ± 2 | 10 | 4 | 9 |
| Thickness native oxide layer/Å | 2 | 2 | 2 | 2 |
| SLD native oxide layer/10−6 Å−2 | 4.16 | 4.16 | 4.16 | 4.16 |
| Top roughness native oxide layer/Å | 2 | 2 | 2 | 2 |
| SLD silicon substrate layer/10−6 Å−2 | 2.07 | 2.07 | 2.07 | 2.07 |
| Top roughness silicon substrate layer/Å | 3 | 3 | 3 | 3 |
| PS-OH | Pristine | Infiltrated | ||
|---|---|---|---|---|
| Pulse Duration (TMA/H2O)/ms | - | 10/5 | 25/15 * | 75/45 |
| Thickness top layer/Å | 140 ± 2 | 140 ± 3 | 148 ± 2 | 148 ± 2 |
| SLD top layer/10−6 Å−2 | 1.36 ± 0.03 | 1.34 ± 0.04 | 1.34 ± 0.03 | 1.35 ± 0.03 |
| Top roughness top layer/Å | 6 ± 4 | 5 ± 5 | 3 ± 3 | 2 ± (+4/−2) |
| Included Al2O3/vol% | 0 | 0 | 0 | 0 |
| Thickness native oxide layer/Å | 2 | 2 | 2 | 2 |
| SLD native oxide layer/10−6 Å−2 | 4.16 | 4.16 | 4.16 | 4.16 |
| Top roughness native oxide layer/Å | 2 | 2 | 2 | 2 |
| SLD silicon substrate layer/10−6 Å−2 | 2.07 | 2.07 | 2.07 | 2.07 |
| Top roughness silicon substrate layer/Å | 3 | 3 | 3 | 3 |
Publisher’s Note: MDPI stays neutral with regard to jurisdictional claims in published maps and institutional affiliations. |
© 2022 by the authors. Licensee MDPI, Basel, Switzerland. This article is an open access article distributed under the terms and conditions of the Creative Commons Attribution (CC BY) license (https://creativecommons.org/licenses/by/4.0/).
Share and Cite
Löfstrand, A.; Vorobiev, A.; Mumtaz, M.; Borsali, R.; Maximov, I. Sequential Infiltration Synthesis into Maltoheptaose and Poly(styrene): Implications for Sub-10 nm Pattern Transfer. Polymers 2022, 14, 654. https://doi.org/10.3390/polym14040654
Löfstrand A, Vorobiev A, Mumtaz M, Borsali R, Maximov I. Sequential Infiltration Synthesis into Maltoheptaose and Poly(styrene): Implications for Sub-10 nm Pattern Transfer. Polymers. 2022; 14(4):654. https://doi.org/10.3390/polym14040654
Chicago/Turabian StyleLöfstrand, Anette, Alexei Vorobiev, Muhammad Mumtaz, Redouane Borsali, and Ivan Maximov. 2022. "Sequential Infiltration Synthesis into Maltoheptaose and Poly(styrene): Implications for Sub-10 nm Pattern Transfer" Polymers 14, no. 4: 654. https://doi.org/10.3390/polym14040654
APA StyleLöfstrand, A., Vorobiev, A., Mumtaz, M., Borsali, R., & Maximov, I. (2022). Sequential Infiltration Synthesis into Maltoheptaose and Poly(styrene): Implications for Sub-10 nm Pattern Transfer. Polymers, 14(4), 654. https://doi.org/10.3390/polym14040654

