Dielectric Properties of Fluorinated Aromatic Polyimide Films with Rigid Polymer Backbones
Abstract
:1. Introduction
2. Materials and Methods
2.1. Materials
2.2. Methods
2.3. Characterization
2.4. Computational Details
3. Results and Discussion
3.1. Characterization
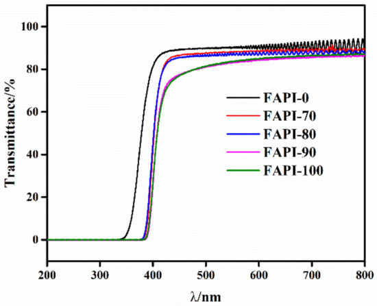
3.2. Mechanical and Optical Properties
3.3. Thermal Properties
3.4. Dielectric Properties
3.5. Effect of Polymer Chain Orientation on Dielectric Properties
3.6. Molecular Simulation
3.6.1. Chain Rigidity
3.6.2. Intermolecular Force
3.6.3. Chain Stacking
4. Conclusions
Author Contributions
Funding
Institutional Review Board Statement
Informed Consent Statement
Data Availability Statement
Acknowledgments
Conflicts of Interest
References
- Liaw, D.-J.; Wang, K.-L.; Huang, Y.-C.; Lee, K.-R.; Lai, J.-Y.; Ha, C.-S. Advanced polyimide materials: Syntheses, physical properties and applications. Prog. Polym. Sci. 2012, 37, 907–974. [Google Scholar] [CrossRef]
- Yang, S.-Y.; Yuan, L.-L. Advanced Polyimide Materials; Yang, S.-Y., Ed.; Elsevier: Beijing, China, 2018; pp. 1–66. [Google Scholar]
- Ni, H.-j.; Liu, J.-g.; Wang, Z.-h.; Yang, S.-y. A review on colorless and optically transparent polyimide films: Chemistry, process and engineering applications. J. Ind. Eng. Chem. 2015, 28, 16–27. [Google Scholar] [CrossRef]
- Hasegawa, T.; Horie, K. Photophysics, photochemistry, and optical properties of polyimides. Prog. Polym. Sci. 2001, 26, 259–335. [Google Scholar] [CrossRef]
- Zhang, S.-J.; Bu, Q.-Q.; Li, Y.-F.; Gong, C.-L.; Xu, X.-Y.; Li, H. High organosolubility and optical transparency of novel polyimides derived from 2′,7′-bis(4-amino-2-trifluoromethylphenoxy)-spiro (fluorene-9,9′-xanthene). Mater. Chem. Phys. 2011, 128, 392–399. [Google Scholar] [CrossRef]
- Toltyo, M.; Sasaki, S.; Telegraph, S.; Corporation, T. Synthesis of Fluorinated Polyimides. Available online: http://www.op.titech.ac.jp/polymer/lab/sando/Book_Old/Sasaki_Polyimides.pdf (accessed on 10 December 2021).
- Bruma, M.; Fitch, J.W.; Cassidy, P.E. Hexafluoroisopropylidene-Containing Polymers for High-Performance Applications. J. Macromol. Sci. Part C 1996, 36, 119–159. [Google Scholar] [CrossRef]
- Maier, G. Low dielectric constant polymers for microelectronics. Prog. Polym. Sci. 2001, 26, 3–65. [Google Scholar] [CrossRef]
- Zhuang, Y.; Seong, J.G.; Lee, Y.M. Polyimides containing aliphatic/alicyclic segments in the main chains. Prog. Polym. Sci. 2019, 92, 35–88. [Google Scholar] [CrossRef]
- Matsumoto, T. Colorless Full-alicyclic Polyimides with Low Dielectric Constant. J. Photopolym. Sci. Technol. 2001, 14, 725–730. [Google Scholar] [CrossRef]
- Hasegawa, M.; Horiuchi, M.; Kumakura, K.; Koyama, J. Colorless polyimides with low coefficient of thermal expansion derived from alkyl-substituted cyclobutanetetracarboxylic dianhydrides. Polym. Int. 2014, 63, 486–500. [Google Scholar] [CrossRef]
- Liu, Y.; Qian, C.; Qu, L.; Wu, Y.; Zhang, Y.; Wu, X.; Zou, B.; Chen, W.; Chen, Z.; Chi, Z.; et al. A Bulk Dielectric Polymer Film with Intrinsic Ultralow Dielectric Constant and Outstanding Comprehensive Properties. Chem. Mater. 2015, 27, 6543–6549. [Google Scholar] [CrossRef]
- Bei, R.; Qian, C.; Zhang, Y.; Chi, Z.; Liu, S.; Chen, X.; Xu, J.; Aldred, M.P. Intrinsic low dielectric constant polyimides: Relationship between molecular structure and dielectric properties. J. Mater. Chem. C 2017, 5, 12807–12815. [Google Scholar] [CrossRef]
- Chen, W.; Zhou, Z.; Yang, T.; Bei, R.; Zhang, Y.; Liu, S.; Chi, Z.; Chen, X.; Xu, J. Synthesis and properties of highly organosoluble and low dielectric constant polyimides containing non-polar bulky triphenyl methane moiety. React. Funct. Polym. 2016, 108, 71–77. [Google Scholar] [CrossRef]
- Liu, Y.; Zhang, Y.; Lan, Q.; Liu, S.; Qin, Z.; Chen, L.; Zhao, C.; Chi, Z.; Xu, J.; Economy, J. High-Performance Functional Polyimides Containing Rigid Nonplanar Conjugated Triphenylethylene Moieties. Chem. Mater. 2012, 24, 1212–1222. [Google Scholar] [CrossRef]
- Goto, K.; Akiike, T.; Inoue, Y.; Matsubara, M. Polymer design for thermally stable polyimides with low dielectric constant. Macromol. Symp. 2003, 199, 321–332. [Google Scholar] [CrossRef]
- Shi, C.; Liu, S.; Li, Y.; Yuan, Y.; Zhao, J.; Fu, Y. Imparting low dielectric constant and high modulus to polyimides via synergy between coupled silsesquioxanes and crown ethers. Compos. Sci. Technol. 2017, 142, 117–123. [Google Scholar] [CrossRef]
- Chen, Z.; Zhu, D.; Tong, F.; Lu, X.; Lu, Q. Low Dielectric Constant Polyimide Hybrid Films Prepared by in Situ Blow-Balloon Method. ACS Appl. Polym. Mater. 2019, 1, 2189–2196. [Google Scholar] [CrossRef]
- Tsai, M.-H.; Whang, W.-T. Low dielectric polyimide/poly(silsesquioxane)-like nanocomposite material. Polymer 2001, 42, 4197–4207. [Google Scholar] [CrossRef]
- Leu, C.-M.; Chang, Y.-T.; Wei, K.-H. Polyimide-Side-Chain Tethered Polyhedral Oligomeric Silsesquioxane Nanocomposites for Low-Dielectric Film Applications. Chem. Mater. 2003, 15, 3721–3727. [Google Scholar] [CrossRef]
- Zhi, X.X.; Zhang, Y.; Zhang, X.M.; Wang, H.L.; Wu, L.; An, Y.C.; Wei, X.Y.; Liu, J.G. Preparation and properties of semi-alicyclic colorless polyimide films and light-colored sheets with low dielectric features for potential applications in optoelectronic integrated circuits. Express Polym. Lett. 2021, 15, 1051–1062. [Google Scholar] [CrossRef]
- Ma, Y.; He, Z.; Liao, Z.; Xie, J.; Yue, H.; Gao, X. Facile strategy for low dielectric constant polyimide/silsesquioxane composite films: Structural design inspired from nature. J. Mater. Sci. 2021, 56, 7397–7408. [Google Scholar] [CrossRef]
- Matsuura, T.; Hasuda, Y.; Nishi, S.; Yamada, N. Polyimide derived from 2,2′-bis(trifluoromethyl)-4,4′-diaminobiphenyl. 1. Synthesis and characterization of polyimides prepared with 2,2′-bis(3,4-dicarboxyphenyl)hexafluoropropane dianhydride or pyromellitic dianhydride. Macromolecules 1991, 24, 5001–5005. [Google Scholar] [CrossRef]
- Wang, X.-Y.; Veld, P.J.; Lu, Y.; Freeman, B.D.; Sanchez, I.C. A molecular simulation study of cavity size distributions and diffusion in para and meta isomers. Polymer 2005, 46, 9155–9161. [Google Scholar] [CrossRef]
- Hofmann, D.; Ulbrich, J.; Fritsch, D.; Paul, D. Molecular modelling simulation of gas transport in amorphous polyimide and poly(amide imide) membrane materials. Polymer 1996, 37, 4773–4785. [Google Scholar] [CrossRef]
- Ma, X.; Zheng, F.; van Sittert, C.; Lu, Q. Role of Intrinsic Factors of Polyimides in Glass Transition Temperature: An Atomistic Investigation. J. Phys. Chem. B 2019, 123, 8569–8579. [Google Scholar] [CrossRef]
- Volksen, W.; Miller, R.D.; Dubois, G. Low Dielectric Constant Materials. Chem. Rev. 2010, 110, 56–110. [Google Scholar] [CrossRef]
- Simpson, J.O.; St. Clair, A.K. Fundamental insight on developing low dielectric constant polyimides. Thin Solid Film. 1997, 308-309, 480–485. [Google Scholar] [CrossRef] [Green Version]
- Hasegawa, M. Development of Solution-Processable, Optically Transparent Polyimides with Ultra-Low Linear Coefficients of Thermal Expansion. Polymers 2017, 9, 520. [Google Scholar] [CrossRef]
- Mohammadi, M.; Davoodi, J.; Javanbakht, M.; Rezaei, H. Glass transition temperature of PMMA/modified alumina nanocomposite: Molecular dynamic study. Mater. Res. Express 2019, 6, 035309. [Google Scholar] [CrossRef] [Green Version]
- Scatchard, G. Equilibria in Non-electrolyte Solutions in Relation to the Vapor Pressures and Densities of the Components. Chem. Rev. 1931, 8, 321–333. [Google Scholar] [CrossRef]
- Thran, A.; Kroll, G.; Faupel, F. Correlation between fractional free volume and diffusivity of gas molecules in classy polymers. J. Polym. Sci. Part B-Polym. Phys. 1999, 37, 3344–3358. [Google Scholar] [CrossRef]












| FAPI Films | TM/GPa | Ts/MPa | Eb/% | Thickness/μm |
|---|---|---|---|---|
| FAPI-0 | 3.1 | 99.4 | 5.8 | 65.5 |
| FAPI-70 | 4.9 | 168.5 | 16.5 | 55.0 |
| FAPI-80 | 5.9 | 203.3 | 22.5 | 47.5 |
| FAPI-90 | 7.1 | 256.4 | 36.2 | 48.0 |
| FAPI-100 | 8.4 | 326.7 | 43.2 | 50.0 |
| FAPI Films | T500 a/% | λcut b/nm | YIc | HZd |
|---|---|---|---|---|
| FAPI-0 | 89.7 | 334 | 1.3 | 1.7 |
| FAPI-70 | 87.7 | 379 | 2.6 | 1.3 |
| FAPI-80 | 86.1 | 376 | 3.3 | 1.2 |
| FAPI-90 | 81.2 | 381 | 6.4 | 4.7 |
| FAPI-100 | 81.4 | 381 | 6.9 | 4.1 |
| FAPI Films | Tg/°C | Td5a/°C | Td10b/°C | R750c/% |
|---|---|---|---|---|
| FAPI-0 | 351.0 | 541.8 | 564.3 | 53.3 |
| FAPI-70 | 354.2 | 563.8 | 598.0 | 57.5 |
| FAPI-80 | 346.3 | 576.7 | 605.0 | 58.4 |
| FAPI-90 | 348.4 | 593.4 | 616.0 | 59.4 |
| FAPI-100 | 351.6 | 596.7 | 616.7 | 60.1 |
| FAPI Films | 10 GHz | 24 GHz | 40 GHz | 60 GHz | F% | Wa/% | ||||
|---|---|---|---|---|---|---|---|---|---|---|
| ε’ | tanδ | ε’ | tanδ | ε’ | tanδ | ε’ | tanδ | |||
| FAPI-0 | 2.68 | 0.0059 | 2.73 | 0.0067 | 2.72 | 0.0076 | 2.70 | 0.0087 | 31.3 | 0.25 |
| FAPI-70 | 2.93 | 0.0059 | 2.95 | 0.0069 | 2.96 | 0.0079 | 2.94 | 0.0084 | 23.2 | 0.30 |
| FAPI-80 | 3.04 | 0.0047 | 3.11 | 0.0057 | 3.11 | 0.0065 | 3.03 | 0.0073 | 22.0 | 0.21 |
| FAPI-90 | 3.14 | 0.0046 | 3.22 | 0.0054 | 3.22 | 0.0062 | 3.22 | 0.0072 | 20.8 | 0.40 |
| FAPI-100 | 3.25 | 0.0045 | 3.24 | 0.0054 | 3.25 | 0.0060 | 3.23 | 0.0065 | 19.7 | 0.37 |
| FAPI Films | 2θ/° | d/Å | nTE | nTM | Δn |
|---|---|---|---|---|---|
| FAPI-0 | 13.2 | 6.7 | 1.5613 | 1.5379 | 0.0234 |
| FAPI-70 | 17.0 | 5.5 | 1.6543 | 1.5523 | 0.1020 |
| FAPI-80 | 17.1 | 5.4 | 1.6669 | 1.5496 | 0.1173 |
| FAPI-90 | 17.6 | 5.1 | 1.6813 | 1.5294 | 0.1518 |
| FAPI-100 | 17.9 | 4.8 | 1.7303 | 1.5250 | 0.2053 |
| FAPI Films | Rg/Å | lb/Å | CED/ ×108 J·m−3 | Va/Å3 | VWb/Å3 | FFVc |
|---|---|---|---|---|---|---|
| FAPI-0 | 41.26 | 23.85 | 3.13 | 171,000 | 100,477 | 23.61% |
| FAPI-70 | 49.06 | 35.05 | 3.56 | 141,940 | 89,624 | 17.91% |
| FAPI-80 | 53.31 | 42.44 | 4.25 | 137,822 | 88,157 | 16.85% |
| FAPI-90 | 56.42 | 50.47 | 3.92 | 134,362 | 86,610 | 16.20% |
| FAPI-100 | 51.40 | 46.76 | 4.34 | 127,904 | 84,962 | 13.65% |
Publisher’s Note: MDPI stays neutral with regard to jurisdictional claims in published maps and institutional affiliations. |
© 2022 by the authors. Licensee MDPI, Basel, Switzerland. This article is an open access article distributed under the terms and conditions of the Creative Commons Attribution (CC BY) license (https://creativecommons.org/licenses/by/4.0/).
Share and Cite
He, J.-J.; Yang, H.-X.; Zheng, F.; Yang, S.-Y. Dielectric Properties of Fluorinated Aromatic Polyimide Films with Rigid Polymer Backbones. Polymers 2022, 14, 649. https://doi.org/10.3390/polym14030649
He J-J, Yang H-X, Zheng F, Yang S-Y. Dielectric Properties of Fluorinated Aromatic Polyimide Films with Rigid Polymer Backbones. Polymers. 2022; 14(3):649. https://doi.org/10.3390/polym14030649
Chicago/Turabian StyleHe, Jian-Jun, Hai-Xia Yang, Feng Zheng, and Shi-Yong Yang. 2022. "Dielectric Properties of Fluorinated Aromatic Polyimide Films with Rigid Polymer Backbones" Polymers 14, no. 3: 649. https://doi.org/10.3390/polym14030649
APA StyleHe, J.-J., Yang, H.-X., Zheng, F., & Yang, S.-Y. (2022). Dielectric Properties of Fluorinated Aromatic Polyimide Films with Rigid Polymer Backbones. Polymers, 14(3), 649. https://doi.org/10.3390/polym14030649
