Next Article in Journal
Methylene Blue Dye as Photosensitizer for Scavenger-Less Water Photo Splitting: New Insight in Green Hydrogen Technology
Next Article in Special Issue
Investigation on the Correlation between Dispersion Characteristics at Terahertz Range and Dielectric Permittivity at Low Frequency of Epoxy Resin Nanocomposites
Previous Article in Journal
Drug Delivery from Stimuli-Responsive Poly(N-isopropylacrylamide-co-N-isopropylmethacrylamide)/Chitosan Core/Shell Nanohydrogels
Previous Article in Special Issue
Natural Fillers as Potential Modifying Agents for Epoxy Composition: A Review
 
 
Font Type:
Arial Georgia Verdana
Font Size:
Aa Aa Aa
Line Spacing:
Column Width:
Background:
Article

Preparation, Structure and Properties of Urethane-Containing Elastomers Based on Epoxy Terminal Oligomers

by
Alexey Slobodinyuk
*,
Vladimir Strelnikov
,
Valeriy Yu Senichev
and
Daria Slobodinyuk
Institute of Technical Chemistry Ural Branch of the Russian Academy of Sciences, Ac. Korolev 3, 614130 Perm, Russia
*
Author to whom correspondence should be addressed.
Polymers 2022, 14(3), 524; https://doi.org/10.3390/polym14030524
Submission received: 17 December 2021 / Revised: 23 January 2022 / Accepted: 25 January 2022 / Published: 27 January 2022
(This article belongs to the Special Issue Epoxy Resins and Composites)

Abstract

:
The effect of polyester oligoethylene adipate molecular weight, diisocyanate structure, and chain extender on the properties of epoxyurethane-based oligomer elastomers was studied in this research. Oligoethylene adipates were obtained via polycondensation of adipic acid and ethylene glycol. Epoxyurethane oligomers were synthesized according to a two-step route with an oligodiisocyanate as an intermediate product. The elastomers with hard urethane hydroxyl blocks were synthesized from oligodiisocyanates. The deformation and strength properties of the elastomers were studied.

1. Introduction

Urethane-containing elastomers (UCEs) constitute a unique series of block copolymers with the structure and properties that can be modified within a wide range [1]. Owing to a high mechanical strength, elasticity, damping ability, abrasion and corrosion resistance, such elastomers are widely used as polymer sealants, foams, coatings, and lining materials [2,3,4,5].
Segmented polyurethanes (SPU) and polyurethane ureas (SPUM) are block copolymers with macromolecular chains consist of alternating flexible soft and hard segments, SS and HS respectively [6,7]. These polymers are usually synthesized via a two-step route. At the first step, oligodiol reacts with a double excess of diisocyanate to form an isocyanate terminal compound-oligodiisocyanate. At the second step, these products react with chain extenders, amines or alcohols, to form polyurethane ureas (SPUM) or polyurethanes (SPU). The structure of soft segments is defined by oligodiols used for SPU synthesis [8]. Hard segments are formed by the reaction of isocyanate terminated compounds, oligodiisocyanates, with low molecular weight chain extenders diamines or diols [9].
Undoubtedly, SPUs and SPUMs have several advantages over other polymers. However, the final properties of these elastomers depend on moisture, as the isocyanate group of oligodiisocyanates can react with moisture. To solve this problem and to reduce the toxicity of isocyanate terminated compounds, shielding of the isocyanate groups of oligodiisocyanates with an epoxy alcohol is the most efficient approach. For example, 2,3-epoxy-1-propanol can be used for this purpose [10]. In this case, the isocyanate groups of the oligodiisocyanate and the hydroxyl group of 2,3-epoxy-1-propanol react to give epoxyurethane oligomer (EUO). The deformation and strength properties of the elastomers, based on these oligomers, are only slightly dependent on the presence of moisture. Amines, dicarboxylic acid anhydrides, carboxyl-containing compounds, and imidazoles are used for curing of epoxyurethane oligomers [11,12,13,14,15,16].
Elastomers based on epoxyurethane oligomers are characterized by good dielectric properties and mechanical characteristics. In addition, adhesion characteristics of these elastomers are higher than that of SPUs and SPUMs. So, they are widely used as adhesives, polymer matrices of casting low-modulus compounds for different purposes, and biomedical materials.
Elastomers based on epoxyurethane oligomers consist of alternating soft and urethane hydroxyl hard segments. The polarity difference of these structural units leads to microphase separation, and a separate phase, or domains, is formed. The domains play the role of a reinforcing nanodispersed filler, or nodes of a specific physical network, which is important for achievement of high strength characteristics of the developed materials. In the domains hydrogen bonds play a crucial role in stabilization of the hard phase structure. In this case, the structure of the hard segments can affect the structural organization of the polymer phase.
The use of a polyester as a precursor of an epoxyurethane oligomer makes it possible to obtain polymer coatings with improved oil and petrol resistance [17]. In addition, when using polyester oligomer, biocompatible and biodegradable polymers can be obtained [18,19]. For this purpose, polycaprolactone diols of different molecular weight are used as an oligodiol. Biodegradable and biocompatible polyester, oligo(1,4-butylene adipate) (OBA) characterized by semi-crystalline structure and hydrophobicity [18], can be also used for preparation of biodegradable polymers [18,19].
The present study was aimed at the synthesis and characterization of a number of biodegradable polyurethane elastomers with high oil and petrol resistance. Three polyesters of different molecular weights were synthesized from adipic acid and ethylene glycol. These polyesters were used for preparation of six epoxy terminated oligomers. The oligomer curing takes place due to epoxy ring opening with amines, extra hydroxyl moieties in the polymer backbone being formed. The presence of these groups, as well as oligodiol hydroxy groups, was considered to be the main condition of high hydrophilicity and hydrolysis rate of resulting elastomers.

2. Materials and Methods

2.1. Materials and Synthesis

2.1.1. Materials

The following reactants were used in experiments: adipic acid (grade pure, 99.9%, (Sigma-Aldrich Co., St. Louis, MO, USA), ethylene glycol (grade pure, 99.9%, (Sigma-Aldrich Co., St. Louis, MO, USA), 3-isocyanatomethyl-3,5,5-trimethylcyclohexyl isocyanate (isophorone diisocyanate) (grade pure, 99.9%, BASF SE, Germany), 2,4-toluene diisocyanate (grade pure, 99.8%, Evonic Chemistry), Dibutyltin dilaurate (grade pure, 99.8%), glycidol (grade pure, 99.0%, Research Institute of Polymer Materials, Perm, Russia); titanium tetrabutylate (grade pure, 99.5%, Sigma-Aldrich Co., St. Louis, MO, USA), aminoethylpiperazine (grade pure, 99.9%, KhIMEKS Limited, Saint Petersburg, Russia), and 3-aminomethyl-3,5,5-trimethylcyclohexylamine-(isophorone diamine) (grade pure, 99.0%, KhIMEKS Limited, Saint Petersburg, Russia).

2.1.2. Synthesis of Oligoethylene Glycol Adipinates

A synthetic scheme for oligoethylene glycol adipates (OEA) is shown in Figure 1.
For the synthesis, a glass laboratory reactor equipped with a paddle stirrer, column, capillary for inert gas supply, and temperature sensor was used. In Table 1 the amounts of adipic acid and ethylene glycol loaded into the reactor are given.
A Liebig condenser equipped with a vacuum adapter and a round-bottomed flask (receiver) was connected to the reactor vessel. Before the synthesis, the stirrer was turned on and the reactor was purged with nitrogen at a supply rate of 0.5 L/min, then the supply rate was reduced to 0.1–0.3 L/min. First, the reaction mixture was quickly heated to 140–150 °C, then at a heating rate of 10 deg/min until the temperature of 220 °C was achieved. This temperature was maintained throughout the synthesis. When the flow rate of distillate noticeably decreased, the catalyst, tetrabutoxytitanium (C4H9O)4Ti, was added. The catalyst amount depends on the molecular weight of the target product.
After adding the catalyst, the pressure in the reactor was lowered to 75 mm Hg. The synthesis was continued until the acid number of the reaction mixture became less than 0.6 mg KOH/g. The resulting product, oligoethylene glycol adipate, was cooled to 140–150 °C at stirring under constant purging with argon.
The hydroxyl and acid numbers of the synthesized diols were determined. An acid number below 0.6 indicated the end of the esterification reaction.

2.1.3. Synthesis of Epoxyurethane Oligomers

A two-step synthetic route for epoxyurethane oligomers via oligodiisocyanate formation is shown in Figure 2:
The pre-synthesized polyesters were dried at 90 °C for 7 h. Oligodiisocyanates were obtained via interaction of oligodiols and diisocyanate (NCO/OH = 2.05) at constant temperature of the reaction mixture of 70 °C at stirring for 8 h. The content of NCO groups in the prepolymers was determined by titration with n-butylamine (standard method ASTM D 2572-97).
Then the reaction mixture was cooled to 40 °C and the catalyst, di-n-butyl tin dilaurate, and the calculated amount of glycidol was added. The catalyst amount was 0.03 wt.% of the reaction mixture. Then the reaction mixture was heated to 70 °C and stirred for 8 h. The completeness of the reaction was confirmed by IR spectroscopy. No band at 2270 cm−1, characteristic for isocyanate group [20], was observed in the IR spectra of the reaction products. The content of free epoxy groups was determined according to the technique described in [21]. The composition and properties of the synthesized oligomers are summarized in Table 2.

2.1.4. Polymer Synthesis

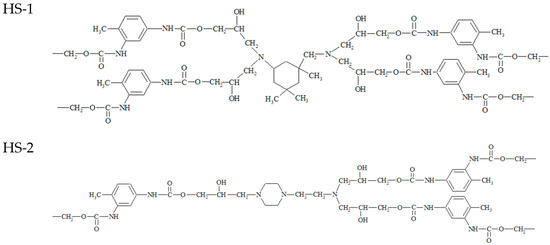
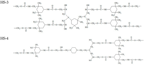
At the final synthetic step, epoxyurethane oligomers were mixed with a curing agent, isophorone diamine or aminoethylpiperazine, for 10 min under vacuum (1–2 kPa) at 90 °C. The resulting reaction mixture was cured for 48 h at 90 °C. Cure monitoring by FTIR was used to determine the required cure time. Disappearance of the absorption band at 910 cm−1 indicated the completeness of the epoxy group conversion [22]. Four types of hard blocks can be distinguished in the structure of these polymers, products of interaction of the synthesized oligomers and two types of amines (Figure 3):
(1)
Based on 2,4-toluene diisocyanate and isophorondiamine.
(2)
Based on 2,4-toluene diisocyanate and aminoethylpiperazine.
(3)
Based on isophorone diisocyanate and isophoronediamine.
(4)
Based on isophorone diisocyanate and aminoethylpiperazine.
The difference in the HS structure means the supramolecular structure of the polymers is also different. This reflects in the mechanical characteristics of the polymers [23]. The composition of the synthesized oligomers is given in Table 3.

2.2. Methods

2.2.1. 1H- and 13C-NMR Spectroscopy

1H and 13C NMR spectra were recorded using a Bruker Avance Neo IIIHD spectrometer (1H: 400 MHz, 13C: 100 MHz), tetramethyl silane was used as an internal standard. NMR chemical shifts were calibrated using the deuterium signal of CDCl3 (7.26 ppm) and 77.16 ppm for 13C.

2.2.2. Determination of Hydroxyl and Carboxyl Number

Hydroxyl numbers of synthesized oligoethylene glycol adipates were determined according to ASTM E1899-97. The method is based on the interaction of acetic anhydride with oligoethylene adipate. Excessive acetic anhydride is hydrolyzed with formation of acetic acid, which is titrated with a KOH alcohol solution. The hydroxyl number is given in mg KOH per g sample.
The hydroxyl number value was calculated by the formula (1):
X = 56.1   · c ·   ( V 1 V 2 ) m + X 1
where
  • V1—volume of potassium hydroxide solution spent for titration of the reference sample, mL;
  • V2—volume of potassium hydroxide solution spent for titration of the polyester sample, mL;
  • c—actual molar concentration (actual normality), or equivalent of potassium hydroxide solution, mol/L;
  • 56.1—equivalent weight of potassium hydroxide, g/mol;
  • m—weight of polyester sample, g.

2.2.3. Determination of Acid Number

The acid number of the synthesized oligodiols was determined according to ASTM D4662-87. An oligodiol weight of 6–8 g was dissolved in 50 mL of a titrating solvent in an Erlenmeyer flask. Then 0.5 mL of phenolphthalein indicator solution was added and the sample was titrated with 0.1 N potassium hydroxide solution. The acid number was calculated by the following formula:
Y = 56.1   · N ·   ( V 2 V 1 )   W
where
  • V1—volume of potassium hydroxide spent in the titration of the reference solution, mL;
  • V2—volume of potassium hydroxide spent in the titration of the polyester solution, mL;
  • W—weight of the sample, g;
  • N—normality of potassium hydroxide solution, eq/L.

2.2.4. Differential Scanning Calorimetry (DSC)

Endothermic and exothermic effects in the samples within the temperature range from −100 °C to +100 °C were recorded using a Mettler Toledo MDSC Q100 calorimeter. Heating and cooling rates were 5 K min−1.

2.2.5. FTIR Spectroscopy

FTIR spectra in the area of carbonyl valence vibrations (between wave numbers ν = 1600 and 1760 cm−1) of the investigated samples were recorded using a IFS-66/S spectrometer (Bruker, Germany) with spectral resolution of 1 cm−1. The spectra were normalized with respect to the band at 2860 cm−1, corresponding to symmetric vibrations of aliphatic –CH2 groups [24].

2.2.6. Mechanical Tests

Mechanical tests of specimens of the materials obtained were performed with an Instron 3365 testing machine at the extension velocity υ = 0.417 s−1 and a temperature of 25 ± 1 °C by the standard procedure. The following characteristics were measured: the nominal strength σk (MPa), i.e., the maximal stress per initial specimen cross section; the relative critical strain εk (%); the nominal elastic modulus E100 (stress at the relative strain ε = 100%). The synthesized polymer was subjected to 5 tests.

2.2.7. Contact Angle Measurement

Wetting properties of the elastomer samples were examined using a 10 μL double-distilled water drop. The contact angle was measured using a CRUSS DSA-100 goniometer. For data treatment, a CRUSS ADVANCE software was used. The synthesized polymer was subjected to 5 tests.

2.2.8. Water Uptake

The swelling degree of the copolymers was determined gravimetrically according to the procedure described in [25].
The water uptake was calculated using Equation (3).
Water Uptake = (Wwet − Wdry) × 100/Wdry
where
  • Wwet—weight of an initial sample;
  • Wdry—weight of a swallen sample.

2.2.9. Determination of the Equilibrium Swelling Degree of the Synthesized Elastomers in Industrial Oil and Gasoline

For estimation of oil and petrol resistance, the equilibrium swelling degree was determined in industrial oil I-50 A (GOST 20799-88) and gasoline (GOST 10214-78). The equilibrium swelling degree was calculated by formula (3).

2.2.10. Determination of Mass Fraction of Free Isocyanate and Epoxy Groups

The content of free NCO groups in the prepolymers was determined by titration with n-butylamine (standard method ASTM D 2572-97).
The content of free epoxy groups in the prepolymers was determined by reverse titration of excessive hydrochloric acid unreacted with the EUO epoxide groups by sodium hydroxide solution (GOST R 56752-201).

3. Results

3.1. NMR Spectra of Epoxyurethanes

The structure of the synthesized oligoethylene adipates 13 was confirmed by NMR 1H (Figure 4a) and 13C (Figure 4b) data.
In the 1H spectrum, there are two peaks attributed to protons of methylene groups of the adipate fragment- at 1.65 (C(O)-CH2-CH2-CH2-CH2-C(O) (a)) and 2.33 (C(O)-CH2-CH2-CH2-CH2-C(O) (b)) ppm, respectively. Triplet signals at 3.78 (d) and 4.18 (c) ppm correspond to the protons of methylene groups of the terminal ethylene glycol fragment. The signal at 4.25 ppm (e) corresponds to the remaining protons of the ethylene glycol fragment. This NMR signal interpretation corresponds to the one reported in [26,27]. At the same time, integration of the 1H-spectra peaks showed the molecular weights of oligoethylene glycol adipates 1–3 to be different.
In the 13C spectrum, the signals of carbon atoms of the carbonyl bond in ester groups are observed at 172.9 ppm (C = O (f)). The peaks at 24.2 (a) and 33.6 (b) ppm refer to the CH2 groups of the adipate fragment. The signals of the methylene carbon atoms in the terminal ethylene glycol fragment are observed at 60.9 (-CH2-CH2-OH (d)) and 65.9 (-CH2-CH2-OH (c)) ppm. The peak at 62.1 ppm (e) corresponds to the remaining CH2 groups of the ethylene glycol fragment.

3.2. Differential Scanning Calorimetry Data

The thermal properties of the synthesized elastomers were studied by differential scanning calorimetry. First the samples were heated to 150 °C, then cooled to 100 °C below zero, kept for 30 min, and heated at a heating rate of 5 K/min. In Figure 5a–d the reheating thermograms of the samples K1–12 are shown. The thermophysical properties of the synthesized elastomers are shown in Table 4.
From DSC thermograms, it can be seen that the glass transition temperature of the soft phase decreases with the increase in the soft segment molecular weight from 991 to 3430. At higher molecular weights this tendency is leveled. This is associated with lower segmental mobility of polymer chains due to the increased degree of crystallinity. In this case, when aminoethylpiperazine is used a hardener, a lower glass transition temperature of elastomers with a soft segment molecular weight of 991 can be achieved. The soft phase crystallizes at the soft segment molecular weight of 3437. In this case, the melting point of the soft phase is 41–42 °C. No noticeable effect of the hard block type or molecular weight of polyester on melting temperature was observed. It is worth noting that the higher molecular weight of initial polyester, the higher are ΔHm values of the elastomer samples. This is due to the presence of longer soft segments which are able to crystallize more easily.

3.3. FTIR Data

The FTIR spectra of the synthesized elastomers are shown in Figure 6a,b. The NH band of urethane can be found at 3350 cm−1 as a broad absorption. A broad band with the center at 2950 cm−1 and the one at 2860 cm−1 were assigned to the CH asymmetric stretching and the symmetric one in the CH2 groups. The absorption bands at 1542, 1454, and 1412 cm−1 were assigned to the amide−NH stretching. It should be noted that important differences in structure between the synthesized elastomers are reflected on the carbonyl absorption region at 1600–1760 cm−1. These are the differences determining mechanical behavior of the materials. So, this FTIR spectra region was examined in more detail.
The band at 1730 cm−1 appears in the spectra of the samples, synthesized from 2,4-toluene diisocyanate and aminoethylpiperazine (Figure 7a), due to the absorption of carbonyl in free urethane groups. It can be assigned to the hard segments dissolved in the soft phase [28]. As expected, the intensity of this absorption band increases with the molecular weight of the polyester soft segment. The intensity of the band at 1650 cm−1 characterizing the microphase separation in elastomers containing this type of the hard segments, is negligibly low. Therefore, the degree of microphase separation in the elastomer decreases with an increase in the molecular weight of the polyester used in the synthesis.
When using aminoethylpiperazine instead of isophorone diamine, a more complex picture appears. The increase in the intensity of the absorption band at 1730 cm−1 (Figure 7b) is not additive. The intensity of this band for the elastomer with a soft segment molecular length of 3437, was found to be the highest. Hence, this elastomer is characterized by the lowest degree of microphase separation. This contributes to manifestation of the soft segment crystallization in case of the sample K-5, in contrast to K-6 (Figure 7a,b). In addition, for the samples containing the hard segments of the second type, an absorption band at 1712 cm−1 appears. It is this band that characterizes the microphase separation for the hard segments of the second type.
For the elastomers with hard urethane hydroxyl segments based on isophorone diisocyanate, the absorption band characteristic for the microphase separation is observed in the range of 1695–1698 cm−1 [28]. In Figure 8a,b the FTIR spectra sections are presented for the elastomers prepared using isophorone diisocyanate and cured with aminoethylpiperazine (Figure 8a) or isophorone diamine (Figure 8b). In all spectra, the two absorption bands can be easily distinguished: at 1730 cm−1 and at 1695–1698 cm−1. When using aminoethylpiperazine, the highest degree of SS-HS microphase separation is achieved at the soft segment molecular weight of 991. Further increase in the soft segment molecular weight results in a lower degree of microphase separation. At the same time, structural phase organization in the elastomers K-8 and K-12 is similar.
For elastomers K-3, K-7, and K-11, the picture is somewhat different. The number of the hard segments, dissolved in a soft polyester matrix, increases with the soft segment molecular weight.
In general, for all elastomers, the degree of microphase separation decreases inversely to the soft segment molecular weight.

3.4. Deformation and Strength Characteristics

According to the data obtained at mechanical testing (Figure 9a–d, Table 5), deformation properties of the elastomers depend on the nature of a curing agent. Deformation properties of isophorone diamine-cured elastomers are higher. It should be noted that mechanical properties of the elastomers prepared using isophorone diisocyanate over than two times exceed the values obtained for 2,4-toluene diisocyanate-based elastomers.

3.5. The Study of Elastomer Hydrofilicity

The surface hydrophilicity of the synthesized samples, characterized by the statistical contact angle of water, is illustrated in Figure 10, and the contact angle values are given in Table 6. The higher is molecular weight of oligoethylene adipate used in the EUO synthesis, the higher the soft segment length is. Epoxyurethane oligomer reacts with an amine to form additional hydroxyl groups due to oxirane rings opening. Hence, an elastomer with longer soft segments contains fewer hydroxyl and its surface becomes less hydrophilic. This tendency was demonstrated by measuring the contact angle of water.
The surface hydrophilicity of the synthesized samples, characterized by the statistical contact angle of water, is illustrated in Figure 10, and the contact angle values are given in Table 6. The surface hydrophilicity is inversely proportional to the molecular weight of the OEA used in the EUO synthesis, i.e., to the length soft segment chain. As was expected, a gradual increase in the contact angle of water was observed. In addition, hydrophilicity decreases with lowering the content of hydroxyl groups which are formed as a result of the oxirane ring opening at epoxyurethane oligomer–amine interaction. There is no considerable increase in the water amount absorbed at different time intervals. This means that crosslinking of the polymer network has no impact on its ability to take up water. The OEA molecular weight is the main factor that can control the absorbed water amount. The water uptake of the samples decreases as the polyol molecular weight increases.

3.6. Determination of the Equilibrium Swelling Degree of the Synthesized Elastomers in Industrial Oil and Gasoline

The data on the equilibrium swelling of the synthesized elastomers in industrial oil I-50 A and in gasoline are shown in Table 7. It is seen that the swelling degree slightly increases with the molecular weight of the polyester soft block. Nevertheless, as the data on swelling are rather low, the elastomers can be considered to be oil/gasoline-resistant.

4. Conclusions

Three polyesters of different molecular weights were synthesized from adipic acid and ethylene glycol. The polyester structure was identified by NMR spectroscopy. Six epoxyurethane oligomers were prepared using the synthesized polyesters, isophorone diisocyanate, 2.4-toluene diisocyanate, and epoxy alcohol- glycidol. Twelve oligomer-based elastomers with urethane hydroxyl hard segments were prepared using isophorone diamine and aminoethylpiperazine.
The glass transition temperature of the synthesized elastomers was found to be decreased inversely to the soft segment molecular weight taken in the range from 991 to 3437. No effect on the glass transition temperature was observed at a further increase in the soft segment molecular weight. This phenomenon can be explained by decreased segmental mobility of the polymer chains due to the polymer crystallization.
The interaction with an amine or reaction of oxirane ring opening resulted in an increase in the hydroxyl group number in the polymer chain. The contact angle of water on the elastomer surface was shown to be decreased inversely to hydroxyl group content. This means that the material became more hydrophilic.

Author Contributions

Conceptualization, A.S.; methodology, V.Y.S.; investigation, A.S. and D.S.; resources, V.Y.S.; writing—original draft preparation, A.S.; writing—review and editing, A.S. and D.S.; project administration, V.S. All authors have read and agreed to the published version of the manuscript.

Funding

The study was financially supported by the Russian Foundation for Basic Research and Perm krai government (project 19-43-590005).

Institutional Review Board Statement

Not applicable.

Informed Consent Statement

Not applicable.

Data Availability Statement

The most significant data generated or analyzed during this study are included in this published article. Further results obtained during the current study are available from the corresponding author on reasonable request.

Acknowledgments

The study was performed using the equipment of the Center for Shared Use Studies of Materials and Substances at the Perm Federal Research Center. Ural Branch. Russian Academy of Sciences. The authors are grateful to D. Kisel’kov for recording the IR spectra and A. Starostin for determining the contact angle of water.

Conflicts of Interest

The authors declare no conflict of interest.

References

  1. Fuensanta, M.; Martín-Martínez, J.M. Structural and Viscoelastic Properties of Thermoplastic Polyurethanes Containing Mixed Soft Segments with Potential Application as Pressure Sensitive Adhesives. Polymers 2021, 13, 3097. [Google Scholar] [CrossRef] [PubMed]
  2. Sebenik, U.; Krajnc, M. Influence of the soft segment length and content on the synthesis and properties of isocyanate-terminated urethane prepolymers. Int. J. Adhes. Adhes. 2007, 27, 527–535. [Google Scholar] [CrossRef]
  3. Jung, Y.C.; Kim, J.H.; Hayashi, T.; Kim, Y.A.; Endo, M.; Terrones, M.; Dresselhaus, M.S. Fabrication of transparent, tough, and conductive shape-memory polyurethane films by incorporating a small amount of high-quality grapheme. Macromol. Rapid Commun. 2012, 33, 628–634. [Google Scholar] [CrossRef] [PubMed]
  4. Deka, H.; Karak, N.; Kalita, R.D.; Buragohain, A.K. Biocompatible hyperbranched polyurethane/multi-walled carbon nanotube composites as shape memory materials. Carbon 2010, 48, 2013–2022. [Google Scholar] [CrossRef]
  5. Kaushik, A.; Ahuja, D.; Salwani, V. Synthesis and characterization of organically modified clay/castor oil based chain extended polyurethane nanocomposites. Compos. Part A. 2011, 42, 1534–1541. [Google Scholar] [CrossRef]
  6. Kasprzyk, P.; Benes, H.; Donato, R.K.; Datta, J. The role of hydrogen bonding on tuning hard-soft segments in bio-based thermoplastic poly (ether-urethane)s. J. Clean. Prod. 2020, 274, 122678. [Google Scholar] [CrossRef]
  7. Wenning, C.; Schmidt, A.M.; Leimenstoll, M.C. Evolution of Reaction-Induced Phase Segregations in Bi-Soft Segment Urethane Oligomers. Macromol. Chem. Phys. 2020, 221, 1900458. [Google Scholar] [CrossRef] [Green Version]
  8. Ospina, A.C.; Orozco, V.H.; Giraldo, L.F.; Fuensanta, M.; Martín-Martínez, J.M.; Mateo-Oliveras, N. Study of waterborne polyurethane materials under aging treatments. Effect of the soft segment length. Prog. Org. Coat. 2020, 138, 105357. [Google Scholar] [CrossRef]
  9. Que, Y.H.; Shi, Y.; Liu, L.Z.; Wang, Y.X.; Wang, C.C.; Zhang, H.C.; Han, X.Y. The Crystallisation, Microphase Separation and Mechanical Properties of the Mixture of Ether-Based TPU with Different Ester-Based TPUs. Polymers 2021, 13, 3475. [Google Scholar] [CrossRef]
  10. Mathew, A.; Kurmvanshi, S.; Mohanty, S.; Nayak, S.K. Influence of diisocyanate, glycidol and polyol molar ratios on the mechanical and thermal properties of glycidyl-terminated biobased polyurethanes. Polym. Int. 2017, 66, 1546–1554. [Google Scholar] [CrossRef]
  11. Izadi, M.; Mardani, H.; Roghani-Mamaqani, H.; Salami-Kalajahi, M.; Khezri, K. Hyperbranched Poly (amidoamine)-Grafted Graphene Oxide as a Multifunctional Curing Agent for Epoxy-Terminated Polyurethane Composites. ChemistrySelect 2021, 6, 2692–2699. [Google Scholar] [CrossRef]
  12. Byczyński, Ł.; Dutkiewicz, M.; Maciejewski, H. Synthesis and properties of high-solids hybrid materials obtained from epoxy functional urethanes and siloxanes. Prog. Org. Coat. 2015, 84, 59–69. [Google Scholar] [CrossRef]
  13. Levchik, S.V.; Weil, E.D. Thermal decomposition, combustion and flame-retardancy of epoxy resins—A review of the recent literature. Polym. Int. 2004, 53, 1901–1929. [Google Scholar] [CrossRef]
  14. Levchik, S.; Piotrowski, A.; Weil, E.; Yao, Q. New developments in flame retardancy of epoxy resins. Polym. Degrad. Stab. 2005, 88, 57–62. [Google Scholar] [CrossRef]
  15. Wang, J.S.; Liu, Y.; Zhao, H.B.; Liu, J.; Wang, D.Y.; Song, Y.P.; Wang, Y.Z. Metal compound-enhanced flame retardancy of intumescent epoxy resins containing ammonium polyphosphate. Polym. Degrad. Stab. 2009, 94, 625–631. [Google Scholar] [CrossRef]
  16. Dogan, M.; Unlu, S.M. Flame retardant effect of boron compounds on red phosphorus containing epoxy resins. Polym. Degrad. Stab. 2014, 99, 12–17. [Google Scholar] [CrossRef]
  17. Slobodinyuk, A.I.; Strel’nikov, V.N.; Senichev, V.Y. Effect of a Plasticizer on the Properties of Elastomers Based on Polyester with Urethane–Hydroxyl Hard Blocks. Russ. J. Appl. Chem. 2021, 94, 940–946. [Google Scholar] [CrossRef]
  18. Lin, Y.H.; Chou, N.K.; Wu, W.J.; Hsu, S.H.; Whu, S.W.; Ho, G.H.; Tsai, C.L.; Wang, S.S.; Chu, S.H.; Hsieh, K.H. Physical properties of water-borne polyurethane blended with chitosan. J. Appl. Polym. Sci. 2007, 104, 2683–2689. [Google Scholar] [CrossRef]
  19. Lindström, A.; Albertsson, A.C.; Hakkarainen, M. Quantitative determination of degradation products an effective means to study early stages of degradation in linear and branched poly (butylene adipate) and poly (butylene succinate). Polym. Degrad. Stab. 2004, 83, 487–493. [Google Scholar] [CrossRef]
  20. Yeganeh, H.; Lakouraj, M.M.; Jamshidi, S. Synthesis and characterization of novel biodegradable epoxy-modified polyurethane elastomers. J. Polym. Sci. Part A Polym. Chem. 2005, 43, 2985–2996. [Google Scholar] [CrossRef]
  21. Lee, H.; Neville, K. Handbook of Epoxy Resins; McGraw-Hill: New York, NY, USA, 1967. [Google Scholar]
  22. Guadagno, L.; Vertuccio, L.; Sorrentino, A.; Raimondo, M.; Naddeo, C.; Vittoria, V.; Iannuzzo, G.; Calvi, E.; Russo, S. Mechanical and barrier properties of epoxy resin filled with multi-walled carbon nanotubes. Carbon 2009, 47, 2419–2430. [Google Scholar] [CrossRef]
  23. Tereshatov, V.; Vnutskikh, Z.; Slobodinyuk, A.; Makarova, M.; Senichev, V. New multi-block isophorone diisocyanate-based copolymers with urethane urea hard segments. J. Elastomer. Plast. 2016, 48, 289–304. [Google Scholar] [CrossRef]
  24. Socrates, G. Infrared and Raman Characteristic Group Frequencies: Tables and Charts, 3rd ed.; Wiley: New York, NY, USA, 2004. [Google Scholar]
  25. Loh, X.J.; Sng, K.B.C.; Li, J. Synthesis and water-swelling of thermo-responsive poly (ester urethane) s containing poly (ε-caprolactone), poly (ethylene glycol) and poly (propylene glycol). Biomaterials 2008, 29, 3185–3194. [Google Scholar] [CrossRef] [PubMed]
  26. Weinberger, S.; Pellis, A.; Comerford, J.W.; Farmer, T.J.; Guebitz, G.M. Efficient physisorption of Candida Antarctica Lipase B on Polypropylene Beads and application for polyester synthesis. Catalysts 2018, 8, 369. [Google Scholar] [CrossRef] [Green Version]
  27. Assem, Y.; Mohamed, H.A.; Said, R.; El-Masry, A. Preparation of amphiphilic block copolymers (polyethylene adipate-block-polyethylene glycol) and its application in rotogravure ink formulations. Pigm. Resin Technol. 2018, 47, 415–423. [Google Scholar] [CrossRef]
  28. Strel’nikov, V.N.; Senichev, V.Y.; Slobodinyuk, A.I.; Savchuk, A.V.; Volkova, E.R.; Makarova, M.A.; Nechaev, A.I.; Krasnosel’skikh, S.F.; Ukhin, K.O. Preparation and properties of frost-resistant room-temperature-curable compounds based on oligoethertetraurethanediepoxides of various chemical structures. Russ. J. Appl. Chem. 2018, 91, 463–468. [Google Scholar] [CrossRef]
Figure 1. Synthesis of oligoethylene glycol adipinates.
Figure 1. Synthesis of oligoethylene glycol adipinates.
Polymers 14 00524 g001
Figure 2. Synthetic route for epoxyurethane oligomers.
Figure 2. Synthetic route for epoxyurethane oligomers.
Polymers 14 00524 g002
Figure 3. Structural formulas of the hard segments formed upon oligomer curing.
Figure 3. Structural formulas of the hard segments formed upon oligomer curing.
Polymers 14 00524 g003aPolymers 14 00524 g003b
Figure 4. 1H (a) and 13C (b) NMR spectra: 1—OEA 991, 2—OEA 3437, 3—OEA 5505.
Figure 4. 1H (a) and 13C (b) NMR spectra: 1—OEA 991, 2—OEA 3437, 3—OEA 5505.
Polymers 14 00524 g004
Figure 5. DSC-curves of the epoxy urethane samples from: (a) HS-1, isophorone diamine and different type of oligomer: 1—K-1 (OL1), 2—K-5 (OL3), 3—K-9 (OL5); (b) HS-2, aminoethylpiperazine and different type of oligomer: 1—K-2 (OL1), 2—K-6 (OL3), 3—K-10 (OL5); (c) HS-3, isophorone diamine and different type of oligomer: 1—K-3 (OL 2), 2—K-7 (OL 4), 3—K-11 (OL 6); (d) HS-4, aminoethylpiperazine and different type of oligomer: 1—K-4 (OL2), 2—K-8 (OL 4), 3—K-12 (OL6).
Figure 5. DSC-curves of the epoxy urethane samples from: (a) HS-1, isophorone diamine and different type of oligomer: 1—K-1 (OL1), 2—K-5 (OL3), 3—K-9 (OL5); (b) HS-2, aminoethylpiperazine and different type of oligomer: 1—K-2 (OL1), 2—K-6 (OL3), 3—K-10 (OL5); (c) HS-3, isophorone diamine and different type of oligomer: 1—K-3 (OL 2), 2—K-7 (OL 4), 3—K-11 (OL 6); (d) HS-4, aminoethylpiperazine and different type of oligomer: 1—K-4 (OL2), 2—K-8 (OL 4), 3—K-12 (OL6).
Polymers 14 00524 g005
Figure 6. The FTIR spectra for the samples: (a) K–1, K–2, K–5, K–6, K–9, K–10; (b) K–3, K–4, K–7, K–8, K–11, K–12.
Figure 6. The FTIR spectra for the samples: (a) K–1, K–2, K–5, K–6, K–9, K–10; (b) K–3, K–4, K–7, K–8, K–11, K–12.
Polymers 14 00524 g006
Figure 7. Sections of the FTIR spectra for the samples: (a) K–2, K–6, K–10; (b) K–1, K–5, K–9.
Figure 7. Sections of the FTIR spectra for the samples: (a) K–2, K–6, K–10; (b) K–1, K–5, K–9.
Polymers 14 00524 g007
Figure 8. Sections of the FTIR spectra for the samples: (a) K–4, K–8, K–12; (b) K–3, K–7, K–11.
Figure 8. Sections of the FTIR spectra for the samples: (a) K–4, K–8, K–12; (b) K–3, K–7, K–11.
Polymers 14 00524 g008
Figure 9. Stress–strain curves of elastomer samples at 25 °C: (a) K–1, K–5, K–9; (b) K–2, K–6, K–10; (c) K–3, K–7, K–11; (d) K–4, K–8, K–12.
Figure 9. Stress–strain curves of elastomer samples at 25 °C: (a) K–1, K–5, K–9; (b) K–2, K–6, K–10; (c) K–3, K–7, K–11; (d) K–4, K–8, K–12.
Polymers 14 00524 g009
Figure 10. Contact angle of water for the elastomer samples K-1–K-12.
Figure 10. Contact angle of water for the elastomer samples K-1–K-12.
Polymers 14 00524 g010
Table 1. Composition of polyester oligodiol.
Table 1. Composition of polyester oligodiol.
No.Adipic Acid, gEthylene Glycol, gTetrabuthoxytitanium, gHydroxyl NumberAcid Number
11100 566.5 0.027113.220.38
21100 500.0 0.30032.650.49
31100 435.72 0.57020.380.51
Table 2. Composition and properties of the synthesized oligomers.
Table 2. Composition and properties of the synthesized oligomers.
Product CodeMolecular Weight of PolyesterDiisocyanate TypeContent of Free Isocyanate Groups, wt %Content of Free Epoxy Groups, wt %
OL-19912,4-toluene diisocyanate6.32 ± 0.035.86 ± 0.03
OL-2991isophorone diisocyanate5.95 ± 0.035.59 ± 0.03
OL-334372,4-toluene diisocyanate2.23 ± 0.032.52 ± 0.03
OL-43437isophorone diisocyanate2.21 ± 0.032.23 ± 0.03
OL-555052,4-toluene diisocyanate1.41 ± 0.031.45 ± 0.03
OL-65505isophorone diisocyanate1.45 ± 0.031.36 ± 0.03
Table 3. Composition and properties of the synthesized oligomers.
Table 3. Composition and properties of the synthesized oligomers.
Composition CodeOligomer CodeCuring AgentHS Code
K-1OL-1isophorone diamineHS-1
K-2OL-1aminoethylpiperazineHS-2
K-3OL-2isophorone diamineHS-3
K-4OL-2aminoethylpiperazineHS-4
K-5OL-3isophorone diamineHS-1
K-6OL-3aminoethylpiperazineHS-2
K-7OL-4isophorone diamineHS-3
K-8OL-4aminoethylpiperazineHS-4
K-9OL-5isophorone diamineHS-1
K-10OL-5aminoethylpiperazineHS-2
K-11OL-6isophorone diamineHS-3
K-12OL-6aminoethylpiperazineHS-4
Table 4. Thermophysical properties of synthesized elastomers.
Table 4. Thermophysical properties of synthesized elastomers.
Composition CodeGlass Transition Temperature of the Soft Phase, °CMelting Temperature of the Soft Phase, °CEnthalpy of Melting, ΔHm, J/g
K-1−2--
K-2−6--
K-3−3--
K-4−7--
K-5−324231.6
K-6−37421.3
K-7−374125.4
K-8−334242.7
K-9−344243.2
K-10−324247.9
K-11−354235.2
K-12−324244.4
Table 5. Physical–mechanical characteristics of the synthesized elastomers.
Table 5. Physical–mechanical characteristics of the synthesized elastomers.
Codeσk, MPaεk, %E100, MPa
K-115.6 ± 0.8248 ± 104.80 ± 0.15
K-210.3 ± 0.6491 ± 251.59 ± 0.10
K-322.2 ± 1.1266 ± 107.98 ± 0.15
K-49.0 ± 0.6305 ± 151.71 ± 0.10
K-522.6 ± 1.2602 ± 256.66 ± 0.15
K-611.1 ± 0.5411 ± 208.73 ± 0.15
K-729.8 ± 1.6712 ± 305.06 ± 0.10
K-88.5 ± 0.8394 ± 255.30 ± 0.10
K-921.2 ± 1.0593 ± 206.84 ± 0.15
K-108.7 ± 0.586 ± 5-
K-1116.9 ± 0.9523 ± 156.4 ± 0.15
K-1210.2 ± 0.6403 ± 207.5 ± 0.15
Table 6. Contact angle of water for the synthesized elastomers.
Table 6. Contact angle of water for the synthesized elastomers.
CodeContact AngleMass Fraction of Hydroxide GroupsWater Uptake (%)
First DaySecond DayThird Day
K-156.5 ± 1.01.13 7.036.977.04
K-255.5 ± 1.01.138.508.488.34
K-354.5 ± 1.01.087.167.167.42
K-455.0 ± 1.01.088.228.308.60
K-573.0 ± 1.00.494.674.494.58
K-678.5 ± 1.50.494.965.545.21
K-778.5 ± 1.00.445.135.134.99
K-876.0 ± 0.50.445.025.145.14
K-982.0 ± 1.00.293.403.253.29
K-1085.0 ± 1.00.292.892.892.98
K-1180.0 ± 0.50.273.713.643.86
K-1280.5 ± 2.00.272.643.273.64
Table 7. Equilibrium swelling degree of the synthesized samples in industrial oil and gasoline.
Table 7. Equilibrium swelling degree of the synthesized samples in industrial oil and gasoline.
CodeEquilibrium Swelling Degree in Industrial Oil I-50 A (GOST 20799-88), wt. %Equilibrium Swelling Degree in Gasoline (GOST 10214-78), wt. %
K-10.165.6
K-20.165.8
K-30.175.7
K-40.185.4
K-50.356.1
K-60.366.2
K-70.546.0
K-80.455.9
K-90.627.0
K-100.657.1
K-110.587.3
K-120.617.0
Publisher’s Note: MDPI stays neutral with regard to jurisdictional claims in published maps and institutional affiliations.

Share and Cite

MDPI and ACS Style

Slobodinyuk, A.; Strelnikov, V.; Senichev, V.Y.; Slobodinyuk, D. Preparation, Structure and Properties of Urethane-Containing Elastomers Based on Epoxy Terminal Oligomers. Polymers 2022, 14, 524. https://doi.org/10.3390/polym14030524

AMA Style

Slobodinyuk A, Strelnikov V, Senichev VY, Slobodinyuk D. Preparation, Structure and Properties of Urethane-Containing Elastomers Based on Epoxy Terminal Oligomers. Polymers. 2022; 14(3):524. https://doi.org/10.3390/polym14030524

Chicago/Turabian Style

Slobodinyuk, Alexey, Vladimir Strelnikov, Valeriy Yu Senichev, and Daria Slobodinyuk. 2022. "Preparation, Structure and Properties of Urethane-Containing Elastomers Based on Epoxy Terminal Oligomers" Polymers 14, no. 3: 524. https://doi.org/10.3390/polym14030524

APA Style

Slobodinyuk, A., Strelnikov, V., Senichev, V. Y., & Slobodinyuk, D. (2022). Preparation, Structure and Properties of Urethane-Containing Elastomers Based on Epoxy Terminal Oligomers. Polymers, 14(3), 524. https://doi.org/10.3390/polym14030524

Note that from the first issue of 2016, this journal uses article numbers instead of page numbers. See further details here.

Article Metrics

Back to TopTop