Poly(3-hexylthiophene)-Based Organic Thin-Film Transistors with Virgin Graphene Oxide as an Interfacial Layer
Abstract
1. Introduction
2. Experimental Section
2.1. Fabrication
2.2. Characterization
3. Results and Discussion
3.1. Electrical Properties
3.1.1. Voltage-Current Characterization
3.1.2. Mobility Determination
3.1.3. GO Impact on Electrical Properties
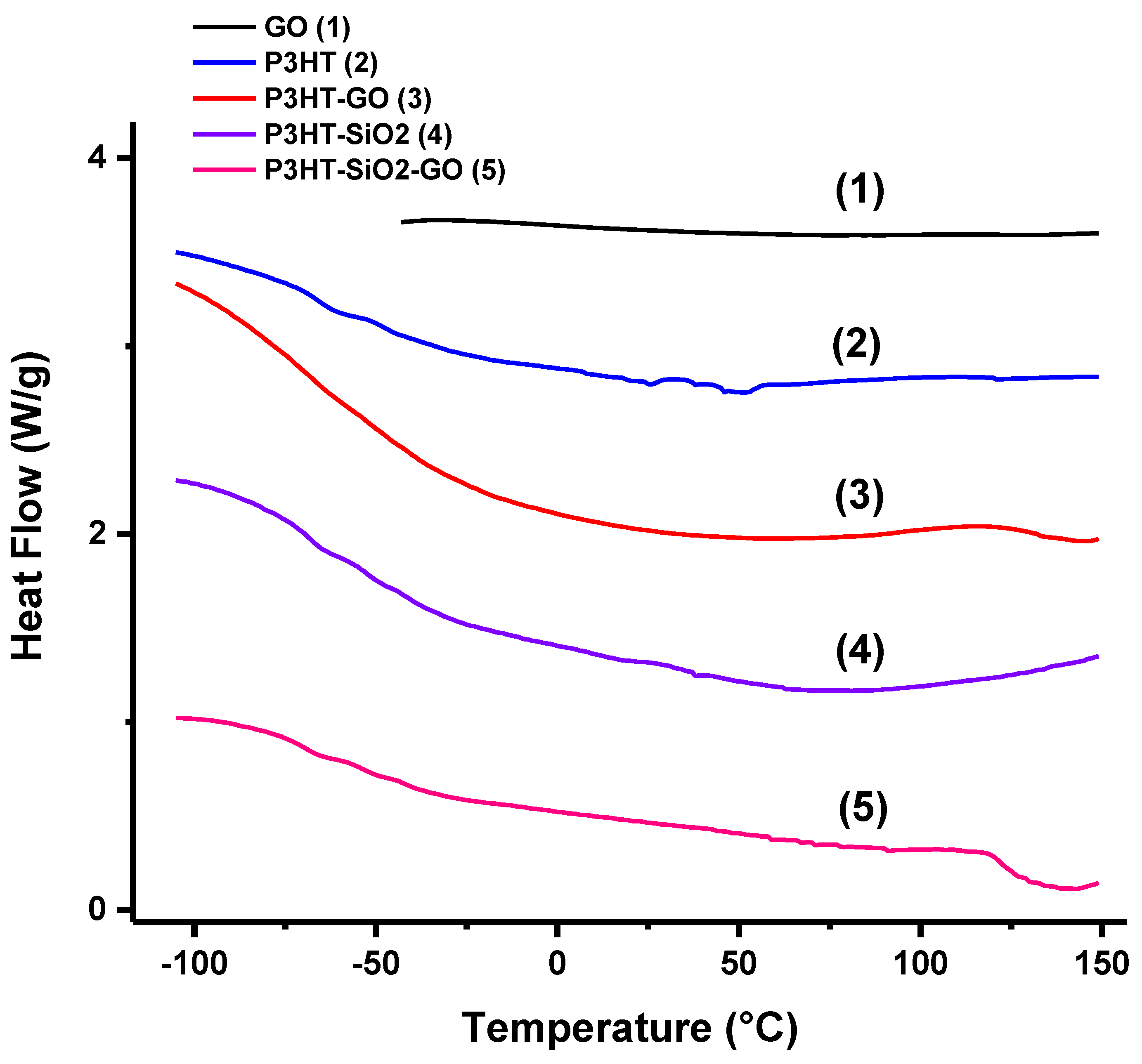
3.2. Structural Characteristics
3.2.1. Morphology via Atomic Force Microscopy
3.2.2. Assessment of the Interfacial Interactions
4. Conclusions
Supplementary Materials
Author Contributions
Funding
Data Availability Statement
Conflicts of Interest
References
- Sheraw, C.D.; Zhou, L.; Huang, J.R.; Gundlach, D.J.; Jackson, T.N.; Kane, M.G.; Hill, I.G.; Hammond, M.S.; Campi, J.; Greening, B.K.; et al. Organic thin-film transistor-driven polymer-dispersed liquid crystal displays on flexible polymeric substrates. Appl. Phys. Lett. 2002, 80, 1088–1090. [Google Scholar] [CrossRef]
- Zhu, Z.-T.; Mason, J.T.; Dieckmann, R.; Malliaras, G.G. Humidity sensors based on pentacene thin-film transistors. Appl. Phys. Lett. 2002, 81, 4643–4645. [Google Scholar] [CrossRef]
- Baude, P.F.; Ender, D.A.; Haase, M.A.; Kelley, T.W.; Muyres, D.V.; Theiss, S.D. Pentacene-based radio-frequency identification circuitry. Appl. Phys. Lett. 2003, 82, 3964–3966. [Google Scholar] [CrossRef]
- Kuribara, K.; Wang, H.; Uchiyama, N.; Fukuda, K.; Yokota, T.; Zschieschang, U.; Jaye, C.; Fischer, D.; Klauk, H.; Yamamoto, T.; et al. Organic transistors with high thermal stability for medical applications. Nat. Commun. 2012, 3, 723. [Google Scholar] [CrossRef] [PubMed]
- Tsumura, A.; Koezuka, H.; Ando, T. Macromolecular electronic device: Field-effect transistor with a polythiophene thin film. Appl. Phys. Lett. 1986, 49, 1210–1212. [Google Scholar] [CrossRef]
- Kumar, B.; Kaushik, B.K.; Negi, Y.S. Organic thin film transistors: Structures, models, materials, fabrication, and applications: A review. Polym. Rev. 2014, 54, 33–111. [Google Scholar] [CrossRef]
- Klauk, H. Organic thin-film transistors. Chem. Soc. Rev. 2010, 39, 2643. [Google Scholar] [CrossRef]
- Di, C.-A.; Liu, Y.; Yu, G.; Zhu, D. Interface engineering: An effective approach toward high-performance organic field-effect transistors. Acc. Chem. Res. 2009, 42, 1573–1583. [Google Scholar] [CrossRef]
- Liu, D.; Miao, Q. Recent progress in interface engineering of organic thin film transistors with self-assembled monolayers. Mater. Chem. Front. 2018, 2, 11–21. [Google Scholar] [CrossRef]
- Park, Y.D.; Lim, J.A.; Lee, H.S.; Cho, K. Interface engineering in organic transistors. Mater. Today 2007, 10, 46–54. [Google Scholar] [CrossRef]
- Steudel, S.; De Vusser, S.; De Jonge, S.; Janssen, D.; Verlaak, S.; Genoe, J.; Heremans, P. Influence of the dielectric roughness on the performance of pentacene transistors. Appl. Phys. Lett. 2004, 85, 4400. [Google Scholar] [CrossRef]
- Di, C.-A.; Yu, G.; Liu, Y.; Guo, Y.; Sun, X.; Zheng, J.; Wen, Y.; Wang, Y.; Wu, W.; Zhu, D. Effect of dielectric layers on device stability of pentacene-based field-effect transistors. Phys. Chem. Chem. Phys. 2009, 11, 7268. [Google Scholar] [CrossRef] [PubMed]
- Yang, S.Y.; Shin, K.; Park, C.E. The effect of gate-dielectric surface energy on pentacene morphology and organic field-effect transistor characteristics. Adv. Funct. Mater. 2005, 15, 1806–1814. [Google Scholar] [CrossRef]
- Kim, D.H.; Jang, Y.; Park, Y.D.; Cho, K. Surface-induced conformational changes in poly(3-hexylthiophene) monolayer films. Langmuir 2005, 21, 3203–3206. [Google Scholar] [CrossRef] [PubMed]
- Kim, D.H.; Jang, Y.; Park, Y.D.; Cho, K. Layered molecular ordering of self-organized poly(3-hexylthiophene) thin films on hydrophobized surfaces. Macromolecules 2006, 39, 5843–5847. [Google Scholar] [CrossRef]
- Kim, D.H.; Park, Y.D.; Jang, Y.; Yang, H.; Kim, Y.H.; Han, J.I.; Moon, D.G.; Park, S.; Chang, T.; Chang, C.; et al. Enhancement of field-effect mobility due to surface-mediated molecular ordering in regioregular polythiophene thin film transistors. Adv. Funct. Mater. 2005, 15, 77–82. [Google Scholar] [CrossRef]
- Chen, H.; Zhang, W.; Li, M.; He, G.; Guo, X. Interface engineering in organic field-effect transistors: Principles, applications, and perspectives. Chem. Rev. 2020, 120, 2879–2949. [Google Scholar] [CrossRef]
- Dong, H.; Jiang, L.; Hu, W. Interface engineering for high-performance organic field-effect transistors. Phys. Chem. Chem. Phys. 2012, 14, 14165–14180. [Google Scholar] [CrossRef]
- Casalini, S.; Bortolotti, C.A.; Leonardi, F.; Biscarini, F. Self-assembled monolayers in organic electronics. Chem. Soc. Rev. 2017, 46, 40–71. [Google Scholar] [CrossRef]
- Shao, W.; Dong, H.; Jiang, L.; Hu, W. Morphology control for high performance organic thin film transistors. Chem. Sci. 2011, 2, 590–600. [Google Scholar] [CrossRef]
- Chu, C.-W.; Li, S.-H.; Chen, C.-W.; Shrotriya, V.; Yang, Y. High-performance organic thin-film transistors with metal oxide/metal bilayer electrode. Appl. Phys. Lett. 2005, 87, 193508. [Google Scholar] [CrossRef]
- Di, C.-A.; Yu, G.; Liu, Y.; Guo, Y.; Wu, W.; Wei, D.; Zhu, D. Efficient modification of Cu electrode with nanometer-sized copper tetracyanoquinodimethane for high performance organic field-effect transistors. Phys. Chem. Chem. Phys. 2008, 10, 2302. [Google Scholar] [CrossRef] [PubMed]
- Di, C.-A.; Yu, G.; Liu, Y.; Xu, X.; Wei, D.; Song, Y.; Sun, Y.; Wang, Y.; Zhu, D.; Liu, J.; et al. High-performance low-cost organic field-effect transistors with chemically modified bottom electrodes. J. Am. Chem. Soc. 2006, 128, 16418–16419. [Google Scholar] [CrossRef] [PubMed]
- Chen, X.; Zhang, S.; Wu, K.; Xu, Z.; Li, H.; Meng, Y.; Ma, X.; Liu, L.; Li, L. Improving the charge injection in organic transistors by covalently linked graphene oxide/metal electrodes. Adv. Electron. Mater. 2016, 2, 1500409. [Google Scholar] [CrossRef]
- Lee, C.-G.; Park, S.; Ruoff, R.S.; Dodabalapur, A. Integration of reduced graphene oxide into organic field-effect transistors as conducting electrodes and as a metal modification layer. Appl. Phys. Lett. 2009, 95, 023304. [Google Scholar] [CrossRef]
- Pang, S.; Tsao, H.N.; Feng, X.; Müllen, K. Patterned graphene electrodes from solution-processed graphite oxide films for organic field-effect transistors. Adv. Mater. 2009, 21, 3488–3491. [Google Scholar] [CrossRef]
- Tiwari, S.; Singh, A.K.; Prakash, R. Poly(3-hexylthiophene) (P3HT)/graphene nanocomposite material based organic field effect transistor with enhanced mobility. J. Nanosci. Nanotechnol. 2014, 14, 2823–2828. [Google Scholar] [CrossRef]
- Nketia-Yawson, B.; Noh, Y.-Y. Organic thin film transistor with conjugated polymers for highly sensitive gas sensors. Macromol. Res. 2017, 25, 489–495. [Google Scholar] [CrossRef]
- Díez-Pascual, A.M.; Rahdar, A. Graphene-based polymer composites for flexible electronic applications. Micromachines 2022, 13, 1123. [Google Scholar] [CrossRef]
- Yadav, A.; Upadhyaya, A.; Gupta, S.K.; Verma, A.S.; Negi, C.M.S. Poly-(3-hexylthiophene)/graphene composite based organic photodetectors: The influence of graphene insertion. Thin Solid Films 2019, 675, 128–135. [Google Scholar] [CrossRef]
- Velasco Davoise, L.; Díez-Pascual, A.M.; Peña Capilla, R. Application of graphene-related materials in organic solar cells. Materials 2022, 15, 1171. [Google Scholar] [CrossRef] [PubMed]
- Tarekegn, E.N.; Harrell, W.R.; Luzinov, I.; Delaney, W. Photolithographic Fabrication of P3HT Based Organic Thin-Film Transistors with High Mobility. ECS J. Solid State Sci. Technol. 2022, 11, 025008. [Google Scholar] [CrossRef]
- Available online: https://www.goographene.com/store/p32/2000_ML_Single-Layer_Graphene_Oxide_Aqueous_Dispersion.html (accessed on 15 April 2022).
- Boudinet, D.; Le Blevennec, G.; Serbutoviez, C.; Verilhac, J.-M.; Yan, H.; Horowitz, G. Contact resistance and threshold voltage extraction in n-channel organic thin film transistors on plastic substrates. J. Appl. Phys. 2009, 105, 084510. [Google Scholar] [CrossRef]
- Schroder, D.K. Semiconductor Material and Device Characterization, 3rd ed.; Wiley: Hoboken, NJ, USA, 2006; pp. 222–224. [Google Scholar]
- Marinov, O.; Deen, M.J.; Zschieschang, U.; Klauk, H. Organic thin-film transistors: Part I—Compact DC modeling. IEEE Trans. Electron Devices 2009, 56, 2952–2961. [Google Scholar] [CrossRef]
- Marinov, O.; Deen, M.J.; Iniguez, B. Charge transport in organic and polymer thin-film transistors: Recent issues. IEE Proc.-Circuits Devices Syst. 2005, 152, 189–209. [Google Scholar] [CrossRef]
- Persson, N.; McBride, M.; Grover, M.; Reichmanis, E. Silicon Valley meets the ivory tower: Searchable data repositories for experimental nanomaterials research. Curr. Opin. Solid State Mater. Sci. 2016, 20, 338–343. [Google Scholar] [CrossRef]
- Dadhich, S.; Dwivedi, A.D.D.; Singh, A.K. Fabrication, characterization, numerical simulation and compact modeling of P3HT based organic thin film transistors. J. Semicond. 2021, 42, 074102. [Google Scholar] [CrossRef]
- Rajeev, V.R.; Paulose, A.K.; Unni, K.N.N. Ammonia gas detection using field-effect transistor based on a solution-processable organic semiconductor. Vacuum 2018, 158, 271–277. [Google Scholar] [CrossRef]
- Bielecka, U.; Lutsyk, P.; Janus, K.; Sworakowski, J.; Bartkowiak, W. Effect of solution aging on morphology and electrical characteristics of regioregular P3HT FETs fabricated by spin coating and spray coating. Org. Electron. 2011, 12, 1768–1776. [Google Scholar] [CrossRef]
- Zhao, J.; Liu, L.; Li, F. Graphene Oxide Physics and Applications; Springer: Heidelberg, Germany; New York, NY, USA; Dordrecht, The Netherlands; London, UK, 2015; p. 154. [Google Scholar]
- Savchak, M.; Borodinov, N.; Burtovyy, R.; Anayee, M.; Hu, K.S.; Ma, R.L.; Grant, A.; Li, H.M.; Cutshall, D.B.; Wen, Y.M.; et al. Highly conductive and transparent reduced graphene oxide nanoscale films via thermal conversion of polymer-encapsulated graphene oxide sheets. ACS Appl. Mater. Interfaces 2018, 10, 3975–3985. [Google Scholar] [CrossRef]
- Wang, Y.; Chen, Y.; Lacey, S.D.; Xu, L.; Xie, H.; Li, T.; Danner, V.A.; Hu, L. Reduced graphene oxide film with record-high conductivity and mobility. Mater. Today 2018, 21, 186–192. [Google Scholar] [CrossRef]
- García, R. Phase imaging atomic force microscopy. In Amplitude Modulation Atomic Force Microscopy; Wiley-VCH: Weinheim, Germany, 2010; pp. 91–101. [Google Scholar]
- Horowitz, G.; Hajlaoui, M.E. Mobility in polycrystalline oligothiophene field-effect transistors dependent on grain size. Adv. Mater. 2000, 12, 1046–1050. [Google Scholar] [CrossRef]
- Horowitz, G.; Hajlaoui, M.E. Grain size dependent mobility in polycrystalline organic field-effect transistors. Synth. Met. 2001, 122, 185–189. [Google Scholar] [CrossRef]
- Kang, S.J.; Noh, M.; Park, D.S.; Kim, H.J.; Whang, C.N.; Chang, C.H. Influence of postannealing on polycrystalline pentacene thin film transistor. J. Appl. Phys. 2004, 95, 2293–2296. [Google Scholar] [CrossRef]
- Horowitz, G.; Hajlaoui, M.E.; Hajlaoui, R. Temperature and gate voltage dependence of hole mobility in polycrystalline oligothiophene thin film transistors. J. Appl. Phys. 2000, 87, 4456–4463. [Google Scholar] [CrossRef]
- Singh, C.R.; Gupta, G.; Lohwasser, R.; Engmann, S.; Balko, J.; Thelakkat, M.; Thurn-Albrecht, T.; Hoppe, H. Correlation of charge transport with structural order in highly ordered melt-crystallized poly(3-hexylthiophene) thin films. J. Polym. Sci. Part B Polym. Phys. 2013, 51, 943–951. [Google Scholar] [CrossRef]
- Yang, H.; Shin, T.J.; Yang, L.; Cho, K.; Ryu, C.Y.; Bao, Z. Effect of mesoscale crystalline structure on the field-effect mobility of regioregular poly(3-hexyl thiophene) in thin-film transistors. Adv. Funct. Mater. 2005, 15, 671–676. [Google Scholar] [CrossRef]
- Kline, R.J.; McGehee, M.D.; Kadnikova, E.N.; Liu, J.; Fréchet, J.M.J. Controlling the field-effect mobility of regioregular polythiophene by changing the molecular weight. Adv. Mater. 2003, 15, 1519–1522. [Google Scholar] [CrossRef]
- Sperling, L.H. Introduction to Physical Polymer Science, 4th ed.; Wiley-Interscience: Hoboken, NJ, USA, 2006; p. 845. [Google Scholar]
- Wu, S. Calculation of interfacial tension in polymer systems. J. Polym. Sci. Part C Polym. Symp. 1971, 34, 19–30. [Google Scholar] [CrossRef]
- Owens, D.K.; Wendt, R.C. Estimation of the surface free energy of polymers. J. Appl. Polym. Sci. 1969, 13, 1741–1747. [Google Scholar] [CrossRef]
- Wang, X.; Ederth, T.; Inganäs, O. In situ wilhelmy balance surface energy determination of poly(3-hexylthiophene) and poly(3,4-ethylenedioxythiophene) during electrochemical doping−dedoping. Langmuir 2006, 22, 9287–9294. [Google Scholar] [CrossRef] [PubMed]
- Roy, S.; Ansari, K.J.; Jampa, S.S.K.; Vutukuri, P.; Mukherjee, R. Influence of substrate wettability on the morphology of thin polymer films spin-coated on topographically patterned substrates. ACS Appl. Mater. Interfaces 2012, 4, 1887–1896. [Google Scholar] [CrossRef] [PubMed]
- Ruiz, R.; Papadimitratos, A.; Mayer, A.C.; Malliaras, G.G. Thickness dependence of mobility in pentacene thin-film transistors. Adv. Mater. 2005, 17, 1795–1798. [Google Scholar] [CrossRef]
- Wu, S. Polymer Interface and Adhesion; Dekker: New York, NY, USA, 1982; p. 630. [Google Scholar]
- McCulloch, B.; Ho, V.; Hoarfrost, M.; Stanley, C.; Do, C.; Heller, W.T.; Segalman, R.A. Polymer chain shape of poly(3-alkylthiophenes) in solution using small-angle neutron scattering. Macromolecules 2013, 46, 1899–1907. [Google Scholar] [CrossRef]
- Lipatov, Y.S. Polymer Reinforcement; ChemTec: Toronto-Scarborough, ON, Canada, 1995; p. 401. [Google Scholar]
- Lipatov, Y.S.; Sergeeva, L.M. Adsorption of Polymers; Wiley: New York, NY, USA, 1974; p. 177. [Google Scholar]
- Miozzo, L.; Yassar, A.; Horowitz, G. Surface engineering for high performance organic electronic devices: The chemical approach. J. Mater. Chem. 2010, 20, 2513–2538. [Google Scholar] [CrossRef]
- Erickson, K.; Erni, R.; Lee, Z.; Alem, N.; Gannett, W.; Zettl, A. Determination of the local chemical structure of graphene oxide and reduced graphene oxide. Adv. Mater. 2010, 22, 4467–4472. [Google Scholar] [CrossRef]
- Foller, T.; Daiyan, R.; Jin, X.; Leverett, J.; Kim, H.; Webster, R.; Yap, J.E.; Wen, X.; Rawal, A.; De Silva, K.K.H.; et al. Enhanced graphitic domains of unreduced graphene oxide and the interplay of hydration behaviour and catalytic activity. Mater. Today 2021, 50, 44–54. [Google Scholar] [CrossRef]
- Moll, J.; Kumar, S.K. Glass transitions in highly attractive highly filled polymer nanocomposites. Macromolecules 2012, 45, 1131–1135. [Google Scholar] [CrossRef]
- Yim, A.; Chahal, R.S.; Pierre, L.E.S. The effect of polymer—filler interaction energy on the T′g of filled polymers. J. Colloid Interface Sci. 1973, 43, 583–590. [Google Scholar] [CrossRef]
- Townsend, J.; Burtovyy, R.; Aprelev, P.; Kornev, K.G.; Luzinov, I. Enhancing Mechanical and Thermal Properties of Epoxy Nanocomposites via Alignment of Magnetized SiC Whiskers. ACS Appl. Mater. Interfaces 2017, 9, 22927–22940. [Google Scholar] [CrossRef]
- Hiura, S.; Okada, N.; Wakui, J.; Narita, H.; Kanehashi, S.; Shimomura, T. Thermoelectric Properties of Poly(3-Hexylthiophene) Nanofiber Mat with a Large Void Fraction. Materials 2017, 10, 468. [Google Scholar] [CrossRef]
- Pan, G.; Gu, Z.; Zhou, Y.; Li, T.; Gong, H.; Liu, Y. Preparation of silane modified SiO2 abrasive particles and their Chemical Mechanical Polishing (CMP) performances. Wear 2011, 273, 100–104. [Google Scholar] [CrossRef]
- McBride, M.; Zhang, G.; Grover, M.; Reichmanis, E. Poly(3-alkylthiophenes): Controlled manipulation of microstructure and its impact on charge transport. In Conjugated Polymers: Properties, Processing, and Applications, 4th ed.; Reynolds, J., Thompson, B.C., Skotheim, T.A., Eds.; CRC Press: Boca Raton, FL, USA, 2019; pp. 351–389. [Google Scholar]
- Paternó, G.; Cacialli, F.; García-Sakai, V. Structural and dynamical characterization of P3HT/PCBM blends. Chem. Phys. 2013, 427, 142–146. [Google Scholar] [CrossRef]
- Zhao, Y.; Yuan, G.; Roche, P.; Leclerc, M. A calorimetric study of the phase transitions in poly(3-hexylthiophene). Polymer 1995, 36, 2211–2214. [Google Scholar] [CrossRef]
- Zhao, J.; Swinnen, A.; Van Assche, G.; Manca, J.; Vanderzande, D.; Mele, B.V. Phase diagram of P3HT/PCBM blends and its implication for the stability of morphology. J. Phys. Chem. B 2009, 113, 1587–1591. [Google Scholar] [CrossRef]
- Kim, J.Y.; Frisbie, C.D. Correlation of phase behavior and charge transport in conjugated polymer/fullerene blends. J. Phys. Chem. C 2008, 112, 17726–17736. [Google Scholar] [CrossRef]
- Luzinov, I.; Xi, K.; Pagnoulle, C.; Huynh-Ba, G.; Jerome, R. Composition Effect on the Core-Shell Morphology and Mechanical Properties of Ternary Polystyrene/Styrene-Butadiene Rubber/polystyrene Blends. Polymer 1999, 40, 2511–2520. [Google Scholar] [CrossRef]
- Zenekiewicz, M. Methods for the calculation of surface free energy of solids. J. Achiev. Mater. Manuf. Eng. 2007, 24, 137–145. [Google Scholar]
- Janczuk, B.; Wojcik, W.; Zdziennicka, A.; Bruque, J.M. Components of the surface free energy of low rank coals in the presence of n-alkanes. Power Technol. 1996, 86, 229–238. [Google Scholar] [CrossRef]






| Publisher’s Note: MDPI stays neutral with regard to jurisdictional claims in published maps and institutional affiliations. | 
© 2022 by the authors. Licensee MDPI, Basel, Switzerland. This article is an open access article distributed under the terms and conditions of the Creative Commons Attribution (CC BY) license (https://creativecommons.org/licenses/by/4.0/).
Share and Cite
Tarekegn, E.N.; Seyedi, M.; Luzinov, I.; Harrell, W.R. Poly(3-hexylthiophene)-Based Organic Thin-Film Transistors with Virgin Graphene Oxide as an Interfacial Layer. Polymers 2022, 14, 5061. https://doi.org/10.3390/polym14235061
Tarekegn EN, Seyedi M, Luzinov I, Harrell WR. Poly(3-hexylthiophene)-Based Organic Thin-Film Transistors with Virgin Graphene Oxide as an Interfacial Layer. Polymers. 2022; 14(23):5061. https://doi.org/10.3390/polym14235061
Chicago/Turabian StyleTarekegn, Eyob N., Mastooreh Seyedi, Igor Luzinov, and William R. Harrell. 2022. "Poly(3-hexylthiophene)-Based Organic Thin-Film Transistors with Virgin Graphene Oxide as an Interfacial Layer" Polymers 14, no. 23: 5061. https://doi.org/10.3390/polym14235061
APA StyleTarekegn, E. N., Seyedi, M., Luzinov, I., & Harrell, W. R. (2022). Poly(3-hexylthiophene)-Based Organic Thin-Film Transistors with Virgin Graphene Oxide as an Interfacial Layer. Polymers, 14(23), 5061. https://doi.org/10.3390/polym14235061
 
        



