A Comparison of Cooking Conditions of Rhizoclonium Pulp as a Substitute for Wood Pulp
Abstract
1. Introduction
2. Materials and Methods
2.1. Rhizoclonium
2.2. Rhizoclonium Pulp Cooking Conditions
2.3. Composition Analysis
2.4. Characterization of Rhizoclonium Pulp Fiber
2.5. X-ray Diffraction (XRD) of Rhizoclonium Pulp Fibers
2.6. Handsheet Making
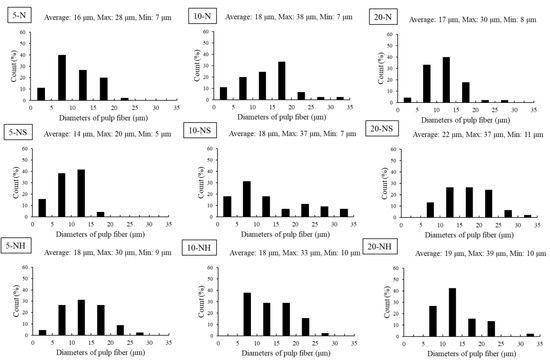
2.7. Scanning Electron Microscopy (SEM) and Diameter Distribution Analysis
2.8. Fourier Transform Infrared Spectroscopy (FTIR) Analysis
2.9. Atomic Force Microscopy (AFM) and Average Roughness Analysis
2.10. Mechanical Characterization of the Handsheets
2.10.1. Tensile Index
2.10.2. Tear Index
2.10.3. Burst Index
2.10.4. Opacity
2.11. Statistical Analysis
3. Results and Discussion
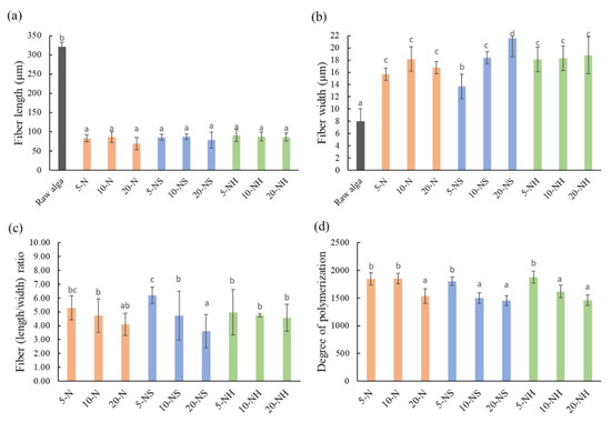
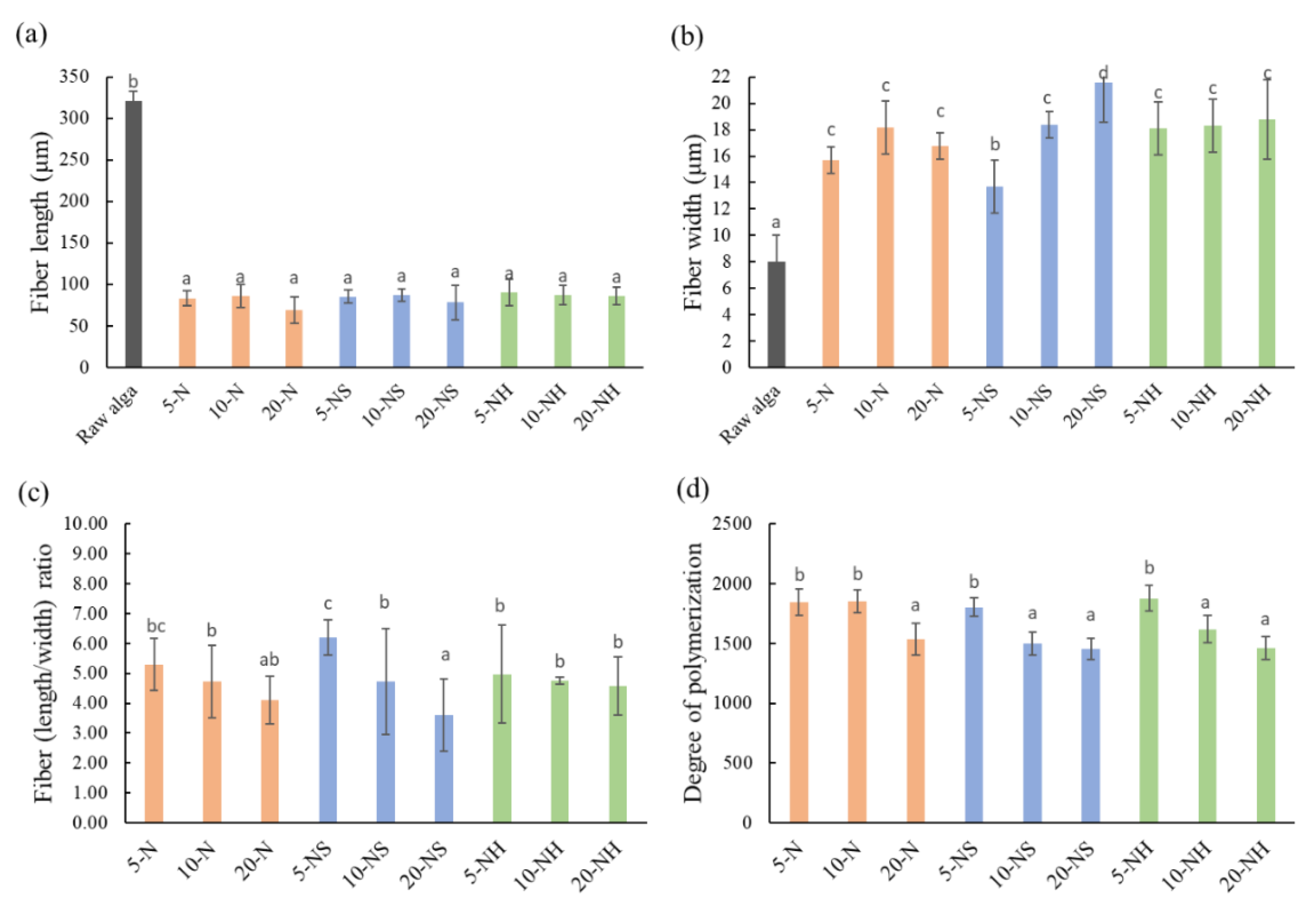
3.1. Characterization of Rhizoclonium Pulp
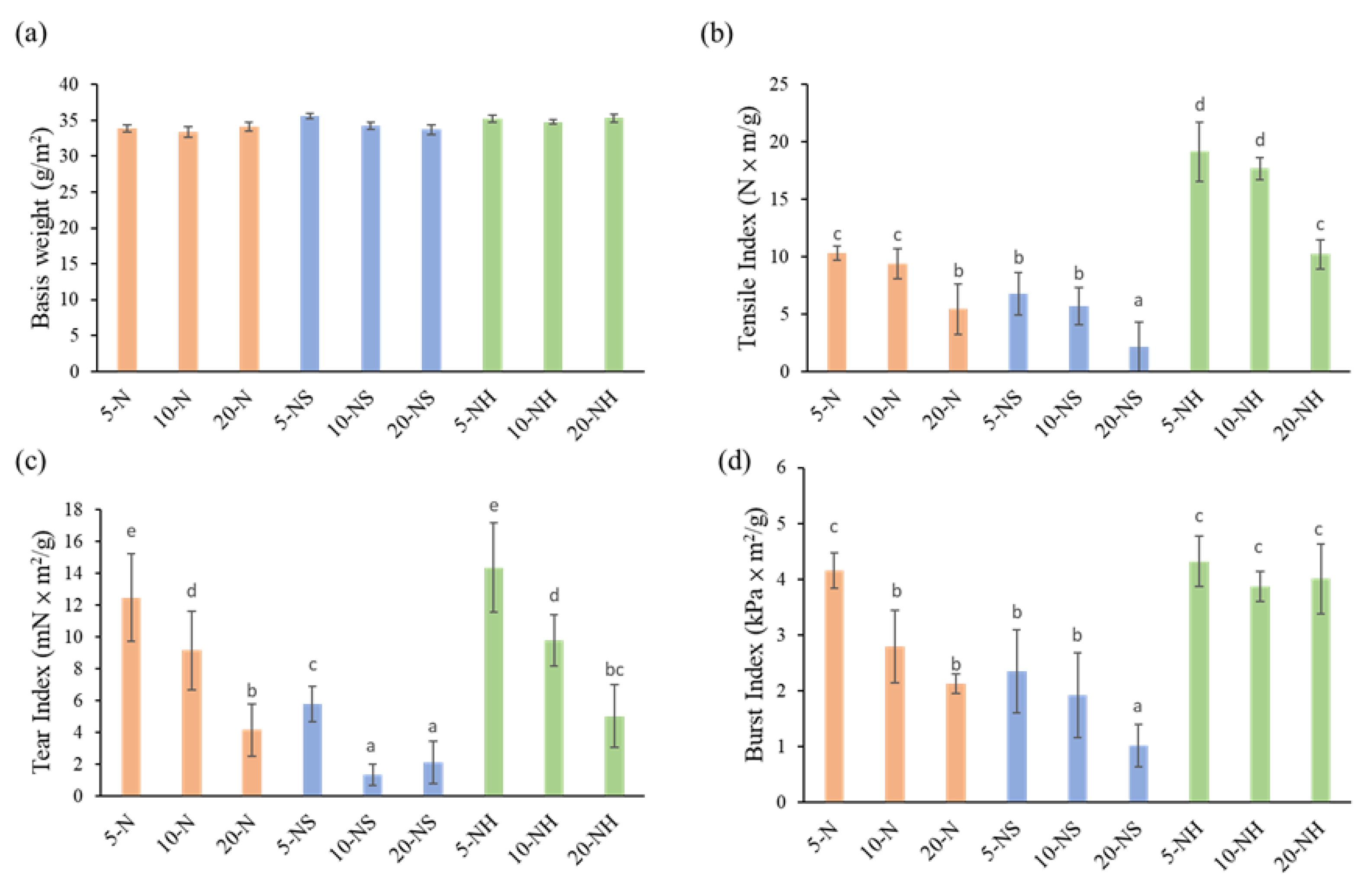
3.2. Characterization of Handsheets Produced from the Algal Pulp
3.3. Characterization of Handsheets Produced from Algal Pulp Mixed with Wood Pulp
4. Conclusions
Author Contributions
Funding
Institutional Review Board Statement
Data Availability Statement
Acknowledgments
Conflicts of Interest
References
- Biermann, C.J. Handbook of Pulping and Papermaking; Elsevier: Amsterdam, The Netherlands, 1996. [Google Scholar]
- Fortune Business Insights. Market Research Report (2021) Pulp and Paper Market Size, Share & COVID-19 Impact Analysis, by Category (Wrapping & Packaging, Printing & Writing, Sanitary, News Print, and Others), and Regional Forecast, 2021-2028; Fortune Business Insights: Pune, India, 2021. [Google Scholar]
- Baker, A. Effect of lignin on the in vitro digestibility of wood pulp. J. Anim. Sci. 1973, 36, 768–771. [Google Scholar] [CrossRef]
- Keenan, R.J.; Reams, G.A.; Achard, F.; de Freitas, J.V.; Grainger, A.; Lindquist, E. Dynamics of global forest area: Results from the FAO Global Forest Resources Assessment 2015. For. Ecol. Manag. 2015, 352, 9–20. [Google Scholar] [CrossRef]
- Wi, S.G.; Kim, H.J.; Mahadevan, S.A.; Yang, D.J.; Bae, H.J. The potential value of the seaweed Ceylon moss (Gelidium amansii) as an alternative bioenergy resource. Bioresour. Technol. 2009, 100, 6658–6660. [Google Scholar] [CrossRef]
- Venkatesan, J.; Lowe, B.; Anil, S.; Manivasagan, P.; Kheraif, A.A.A.; Kang, K.H.; Kim, S.K. Seaweed polysaccharides and their potential biomedical applications. Starke 2015, 67, 381–390. [Google Scholar] [CrossRef]
- Baghel, R.S.; Reddy, C.; Singh, R.P. Seaweed-based cellulose: Applications, and future perspectives. Carbohydr. Polym. 2021, 267, 118241. [Google Scholar] [CrossRef] [PubMed]
- Chao, K.-P.; Su, Y.-C.; Chen, C.-S. Chemical composition and potential for utilization of the marine alga Rhizoclonium sp. J. Appl. Phycol. 1999, 11, 525–533. [Google Scholar] [CrossRef]
- Chao, K.P.; Su, Y.C.; Chen, C.S. Feasibility of utilizing Rhizoclonium in pulping and papermaking. J. Appl. Phycol. 2000, 12, 53–62. [Google Scholar] [CrossRef]
- Seo, Y.B.; Lee, Y.W.; Lee, C.H.; Lee, M.W. Optical properties of red algae fibers. Ind. Eng. Chem. Res. 2010, 49, 9830–9833. [Google Scholar] [CrossRef]
- Doh, H.; Dunno, K.D.; Whiteside, W.S. Preparation of novel seaweed nanocomposite film from brown seaweeds Laminaria japonica and Sargassum natans. Food Hydrocoll. 2020, 105, 105744. [Google Scholar] [CrossRef]
- Chao, K.-P.; Chen, C.-S.; Wang, E.I.; Su, Y.-C. Aquacultural characteristics of Rhizoclonium riparium and an evaluation of its biomass growth potential. J. Appl. Phycol. 2005, 17, 67–73. [Google Scholar] [CrossRef]
- Serrano Jr, A.E.; Tumbokon, B.L.; Abalos, R.S.; de la Pena, R.; Bohulano, N.N.; Binh, M.N. Effects of dietary P: E ratio and Rhizoclonium in two stocking densities on growth and profitability of Nile tilapia in intensive pond culture. Isr. J. Aquac. Bamidgeh. 2020, 72, 1–10. [Google Scholar] [CrossRef]
- Headley, R. Pulp cooking developments focus on fiber yield, lower chemical use. Pulp Pap. 1996, 70, 49–53. [Google Scholar]
- Xiang, Z.; Gao, W.; Chen, L.; Lan, W.; Zhu, J.; Runge, T. A comparison of cellulose nanofibrils produced from Cladophora glomerata algae and bleached eucalyptus pulp. Cellulose 2016, 23, 493–503. [Google Scholar] [CrossRef]
- Moral, A.; Aguado, R.; Castelló, R.; Tijero, A.; Ballesteros, M. Potential use of green alga Ulva sp. for papermaking. BioResources 2019, 14, 6851–6862. [Google Scholar]
- AOAC. Official Method of Analysis, 18th ed.; Association of Officiating Analytical Chemists: Washington, DC, USA, 2005. [Google Scholar]
- Van Soest, P.V.; Robertson, J.B.; Lewis, B.A. Methods for dietary fiber, neutral detergent fiber, and nonstarch polysaccharides in relation to animal nutrition. Int. J. Dairy Sci. 1991, 74, 3583–3597. [Google Scholar] [CrossRef]
- AOAC. Official Methods of Analysis, 15th ed.; Association of Official Analytical Chemist: Washington, DC, USA, 1990. [Google Scholar]
- ISO 5351:2010; Pulps—determination of limiting viscosity number in cupri-ethylenediamine (CED) solution. ISO: Geneva, Switzerland, 2010.
- Weissberg, S.; Simha, R.; Rothman, S. Viscosity of dilute and moderately concentrated polymer solutions. J. Res. Natl. Bur. Stand. 1951, 47, 298–314. [Google Scholar] [CrossRef]
- Segal, L.; Creely, J.J.; Martin, A., Jr.; Conrad, C. An empirical method for estimating the degree of crystallinity of native cellulose using the X-ray diffractometer. Text. Res. J. 1959, 29, 786–794. [Google Scholar] [CrossRef]
- Gustafson, R.R.; Sleicher, C.A.; McKean, W.T.; Finlayson, B.A. Theoretical model of the kraft pulping process. Ind. Eng. Chem. Process Des. Dev. 1983, 22, 87–96. [Google Scholar] [CrossRef]
- Gurnagul, N. Sodium hydroxide addition during recycling: Effects on fiber swelling and sheet strength. Tappi J. 1995, 78, 119–124. [Google Scholar]
- McGovern, J.N.; Keller, E.L. Some Experiments in Sodium Sulfite Pulping; USDA: Madison, IA, USA, 1956.
- Hassan, A.; Salleh, S.M.; Jafferi, N. The effects of sodium hydroxide content on mechanical and physical properties of rice straw paper. ARPN J. Eng. Appl. Sci. 2016, 11, 12. [Google Scholar]
- Venter, J.S.; Vander Klashorst, G. The recovery of by-products and pulping chemicals from industrial soda bagasse spent liquors. Tappi J. 1989, 72, 127–132. [Google Scholar]
- Zhao, H.; Kwak, J.H.; Wang, Y.; Franz, J.A.; White, J.M.; Holladay, J.E. Effects of crystallinity on dilute acid hydrolysis of cellulose by cellulose ball-milling study. Energy Fuels 2006, 20, 807–811. [Google Scholar] [CrossRef]
- Moheimani, N.; Nwoba, E.; Owen, B.; Pluske, J.; Huisman, J. Bio-Prospecting and Growth of Macroalgae on Anaerobic Digestion Piggery Effluent (ADPE); Pork CRC/Australian Government. Dept of Industry: Canberra, Australia, 2016.
- Hedenskog, G.; Hofsten, A.v. The Ultrastructure of Spirulina platensis—A New Source of Microbial Protein. Physiol. Plant 1970, 23, 209–216. [Google Scholar] [CrossRef]
- Armisen, R.; Galatas, F. Production, properties and uses of agar. Production and utilization of products from commercial seaweeds. FAO Fish. Tech. Pap. 1987, 288, 1–57. [Google Scholar]
- Yamazaki, T. Method for Desalting Sea Algae. Japan Patent JP2002325562A, 3 February 2004. [Google Scholar]
- Santos, R.B.; Hart, P.; Jameel, H.; Chang, H.M. Wood based lignin reactions important to the biorefinery and pulp and paper industries. BioResources 2013, 8, 1456–1477. [Google Scholar] [CrossRef]
- Trivedi, N.; Baghel, R.S.; Bothwell, J.; Gupta, V.; Reddy, C.; Lali, A.M.; Jha, B. An integrated process for the extraction of fuel and chemicals from marine macroalgal biomass. Sci. Rep. 2016, 6, 1–8. [Google Scholar] [CrossRef]
- Baghel, R.S.; Suthar, P.; Gajaria, T.K.; Bhattacharya, S.; Anil, A.; Reddy, C. Seaweed biorefinery: A sustainable process for valorising the biomass of brown seaweed. J. Clean Prod. 2020, 263, 121359. [Google Scholar] [CrossRef]
- Khan, R.A.; Salem, H.J.; Korehei, R.; Martinez, D.M.; Olson, J.A. Application of fractionated bleached pulp fibres on sodium alginate films. Can. J. Chem. Eng. 2017, 95, 33–38. [Google Scholar] [CrossRef]
- Fowler, P.A.; Hughes, J.M.; Elias, R.M. Biocomposites: Technology, environmental credentials and market forces. J. Sci. Food Agric. 2006, 86, 1781–1789. [Google Scholar] [CrossRef]
- Chinga-Carrasco, G.; Miettinen, A.; Hendriks, C.L.L.; Gamstedt, E.K.; Kataja, M. Structural characterisation of kraft pulp fibres and their nanofibrillated materials for biodegradable composite applications. In Nanocomposites and Polymers with Analytical Methods; Cuppoletti, J., Ed.; IntechOpen: London, UK, 2011; pp. 243–260. [Google Scholar]
- Townsend, B.A. Full circle in cellulose. In Manmade Fibers: Their Origin and Development; Seymour, R.B., Porter, R.S., Eds.; Elsevier Applied Science: Amsterdam, The Netherlands, 1993. [Google Scholar]
- Su, J.; Zhu, H.; Wang, L.; Liu, X.; Nie, S.; Xiong, J. Optimization of microwave-hydrogen peroxide pretreatment of cellulose. BioResources 2016, 11, 7416–7430. [Google Scholar] [CrossRef]
- Imai, T.; Sugiyama, J.; Itoh, T.; Horii, F. Almost pure Iα cellulose in the cell wall of Glaucocystis. J. Struct. Biol. 1999, 127, 248–257. [Google Scholar] [CrossRef] [PubMed]
- French, A.D. Idealized powder diffraction patterns for cellulose polymorphs. Cellulose 2014, 21, 885–896. [Google Scholar] [CrossRef]
- Xu, X.; Liu, F.; Jiang, L.; Zhu, J.; Haagenson, D.; Wiesenborn, D.P. Cellulose nanocrystals vs. cellulose nanofibrils: A comparative study on their microstructures and effects as polymer reinforcing agents. ACS Appl. Mater. Interfaces 2013, 5, 2999–3009. [Google Scholar] [CrossRef]
- Müller, C.M.; Laurindo, J.B.; Yamashita, F. Effect of cellulose fibers on the crystallinity and mechanical properties of starch-based films at different relative humidity values. Carbohydr. Polym. 2009, 77, 293–299. [Google Scholar] [CrossRef]
- Dinand, E.; Vignon, M.; Chanzy, H.; Heux, L. Mercerization of primary wall cellulose and its implication for the conversion of cellulose I→ cellulose II. Cellulose 2002, 9, 7–18. [Google Scholar] [CrossRef]
- Shibazaki, H.; Kuga, S.; Okano, T. Mercerization and acid hydrolysis of bacterial cellulose. Cellulose 1997, 4, 75–87. [Google Scholar] [CrossRef]
- Bhutiya, P.L.; Misra, N.; Rasheed, M.A.; Hasan, S.Z. Nested seaweed cellulose fiber deposited with cuprous oxide nanorods for antimicrobial activity. Int. J. Biol. Macromol. 2018, 117, 435–444. [Google Scholar] [CrossRef]
- Wang, X.; He, W. Mechanical properties of irregular fiber (invited review paper). Int. J. Eng. 2003, 16, 99–108. [Google Scholar]
- Lakshmi, D.S.; Trivedi, N.; Reddy, C. Synthesis and characterization of seaweed cellulose derived carboxymethyl cellulose. Carbohydr. Polym. 2017, 157, 1604–1610. [Google Scholar] [CrossRef]
- Seo, Y.B.; Lee, Y.W.; Lee, C.H.; You, H.C. Red algae and their use in papermaking. Bioresour. Technol. 2010, 101, 2549–2553. [Google Scholar] [CrossRef]
- Latibari, A.J.; Hossein, M.A.; Hossienpour, R. Application of alkaline sulfite pulping on corn stalks. BioResources 2011, 6, 48–58. [Google Scholar] [CrossRef]
- Amin, H.H. Ulvan as A new trend in agriculture, food processing and medicine. J. Fish Aquat. Res. 2020, 6, 47–54. [Google Scholar] [CrossRef]
- Morán, J.I.; Alvarez, V.A.; Cyras, V.P.; Vázquez, A. Extraction of cellulose and preparation of nanocellulose from sisal fibers. Cellulose 2008, 15, 149–159. [Google Scholar] [CrossRef]
- LeBozec, N.; Persson, D.; Thierry, D. In situ studies of the initiation and propagation of filiform corrosion on aluminum. J. Electrochem. Soc. 2004, 151, B440. [Google Scholar] [CrossRef]
- Forney, C.F.; Brandl, D.G. Control of humidity in small controlled-environment chambers using glycerol-water solutions. HortTechnology 1992, 2, 52–54. [Google Scholar] [CrossRef]
- Fernandes, A.N.; Thomas, L.H.; Altaner, C.M.; Callow, P.; Forsyth, V.T.; Apperley, D.C.; Kennedy, C.J.; Jarvis, M.C. Nanostructure of cellulose microfibrils in spruce wood. Proc. Natl. Acad. Sci. USA 2011, 108, E1195–E1203. [Google Scholar] [CrossRef]
- Kılıç, M.; Burdurlu, E.; Aslan, S.; Altun, S.; Tümerdem, Ö. The effect of surface roughness on tensile strength of the medium density fiberboard (MDF) overlaid with polyvinyl chloride (PVC). Mater. Des. 2009, 30, 4580–4583. [Google Scholar] [CrossRef]









| Term | Chemicals * | Temperature (°C) | Cooking Time (h) | pH Level of Solvent from Initial to End | Yield (%) |
|---|---|---|---|---|---|
| 5-N | 5% NaOH | 95 | 4 | 13.5–12.2 | 49.4 ± 0.3 b |
| 10-N | 10% NaOH | 95 | 4 | 13.8–12.7 | 48.9 ± 0.4 b |
| 20-N | 20% NaOH | 95 | 4 | 13.9–13.1 | 47.8 ± 0.1 b |
| 5-NS | 5% Na2SO3 | 95 | 4 | 9.6–9.7 | 42.5 ± 0.5 c |
| 10-NS | 10% Na2SO3 | 95 | 4 | 10.1–9.5 | 42.4 ± 0.2 c |
| 20-NS | 20% Na2SO3 | 95 | 4 | 11.3–9.6 | 41.1 ± 0.5 c |
| 5-NH | 5% NaOH | 95 | 2 | 13.5–11.8 | 52.5 ± 0.2 a |
| 1% H2O2 | 95 | 2 | 4.2–8.6 | ||
| 10-NH | 10% NaOH | 95 | 2 | 13.8–12.6 | 52.1 ± 0.3 a |
| 1% H2O2 | 95 | 2 | 4.2–8.3 | ||
| 20-NH | 20% NaOH | 95 | 2 | 13.9–12.8 | 48.3 ± 0.2 b |
| 1% H2O2 | 95 | 2 | 4.2–9.0 |
| Moisture | Crude Protein | Crude Lipid | Ash | Carbohydrate | Cellulose | Hemicellulose | Lignin | |
|---|---|---|---|---|---|---|---|---|
| Raw alga | 12.8 ± 0.1 a | 15.9 ± 0.5 a | 0.8 ± 0.3 | 30.7 ± 0.2 a | 52.6 ± 0.6 a | 18.4 ± 0.1 a | 5.6 ± 0.2 a | - |
| 5-N | 10.2 ± 0.4 b | 8.3 ± 0.2 c | 0.8 ± 0.1 | 21.4 ± 0.3 b | 69.5 ± 0.2 b | 35.8 ± 0.1 b | 12.5 ± 0.4 c | - |
| 10-N | 9.9 ± 0.2 b | 7.9 ± 0.3 c | 0.7 ± 0.3 | 21.6 ± 0.5 b | 69.8 ± 0.2 b | 36.4 ± 0.5 b | 12.1 ± 0.5 c | - |
| 20-N | 10.5 ± 0.1 b | 8.2 ± 0.4 c | 0.8 ± 0.2 | 20.5 ± 0.2 b | 70.5 ± 0.5 b | 36.1 ± 0.3 b | 10.8 ± 0.2 b | - |
| 5-NS | 10.2 ± 0.1 b | 10.5 ± 0.2 b | 0.8 ± 0.3 | 21.5 ± 0.3 b | 67.2 ± 0.2 c | 35.5 ± 0.3 b | 10.5 ± 0.3 b | - |
| 10-NS | 9.8 ± 0.3 b | 11.9 ± 0.3 b | 0.8 ± 0.1 | 20.3 ± 0.1 b | 67.0 ± 0.3 c | 36.1 ± 0.2 b | 11.2 ± 0.5 bc | - |
| 20-NS | 10.3 ± 0.2 b | 11.4 ± 0.4 b | 0.8 ± 0.2 | 20.4 ± 0.2 b | 66.2 ± 0.5 c | 36.2 ± 0.3 b | 11.8 ± 0.2 c | - |
| 5-NH | 10.2 ± 0.3 b | 10.1 ± 0.4 b | 0.8 ± 0.2 | 21.9 ± 0.4 b | 67.2 ± 0.2 c | 35.9 ± 0.8 b | 11.9 ± 0.4 bc | - |
| 10-NH | 10.1 ± 0.3 b | 10.3 ± 0.2 b | 0.8 ± 0.2 | 21.8 ± 0.5 b | 67.1 ± 0.3 c | 36.4 ± 0.4 b | 10.5 ± 0.3 b | - |
| 20-NH | 10.4 ± 0.2 b | 10.9 ± 0.3 b | 0.8 ± 0.1 | 20.7 ± 0.1 b | 67.6 ± 0.5 c | 35.4 ± 0.2 b | 12.6 ± 0.5 c | - |
| Basis Weight (g/m2) | Tensile Index (N × m/g) | Tear Index (mN × m2/g) | Burst Index (kPa × m2/g) | Opacity (%) | |
|---|---|---|---|---|---|
| 0% 10-NH | 35.8 ± 1.2 | 38.24 ± 2.31 a | 17.86 ± 0.91 a | 15.16 ± 0.65 a | 94.0 ± 0.8 |
| 20% 10-NH | 36.4 ± 0.9 | 37.50 ± 1.65 a | 17.46 ± 1.25 a | 14.06 ± 0.55 a | 96.5 ± 0.6 |
| 40% 10-NH | 36.6 ± 1.4 | 28.74 ± 1.84 b | 12.76 ± 2.57 b | 10.85 ± 0.41 b | 98.4 ± 0.7 |
| 60% 10-NH | 37.8 ± 1.5 | 17.88 ± 0.96 c | 5.79 ± 2.14 c | 4.71 ± 0.39 c | 99.1 ± 1.5 |
Publisher’s Note: MDPI stays neutral with regard to jurisdictional claims in published maps and institutional affiliations. |
© 2022 by the authors. Licensee MDPI, Basel, Switzerland. This article is an open access article distributed under the terms and conditions of the Creative Commons Attribution (CC BY) license (https://creativecommons.org/licenses/by/4.0/).
Share and Cite
Hwang, P.-A.; Wong, S.-L.; Liu, Y.-C. A Comparison of Cooking Conditions of Rhizoclonium Pulp as a Substitute for Wood Pulp. Polymers 2022, 14, 4162. https://doi.org/10.3390/polym14194162
Hwang P-A, Wong S-L, Liu Y-C. A Comparison of Cooking Conditions of Rhizoclonium Pulp as a Substitute for Wood Pulp. Polymers. 2022; 14(19):4162. https://doi.org/10.3390/polym14194162
Chicago/Turabian StyleHwang, Pai-An, Song-Ling Wong, and Yu-Ching Liu. 2022. "A Comparison of Cooking Conditions of Rhizoclonium Pulp as a Substitute for Wood Pulp" Polymers 14, no. 19: 4162. https://doi.org/10.3390/polym14194162
APA StyleHwang, P.-A., Wong, S.-L., & Liu, Y.-C. (2022). A Comparison of Cooking Conditions of Rhizoclonium Pulp as a Substitute for Wood Pulp. Polymers, 14(19), 4162. https://doi.org/10.3390/polym14194162
