Scalable Manufacturing Process and Multifunctional Performance of Cotton Fibre-Reinforced Poly(Lactic Acid) (PLA) Bio-Composites Coated by Graphene Oxide
Abstract
1. Introduction
2. Experimental
2.1. Synthesis of GO Nanosheets
2.2. Fabrication of Graphene Nanoplatelet (GNP)-Coated Cotton/PLA Composite Laminate
2.3. Characterisations
3. Results and Discussion
3.1. Morphology of Graphene Oxide Nanosheets, Fibrous Nonwoven Mats and Cured Composite Laminates
3.2. Nanoindentation Properties on the Surface of Composites
3.3. Surface Electrical Resistivity and Three-Point Bending Properties of Composites
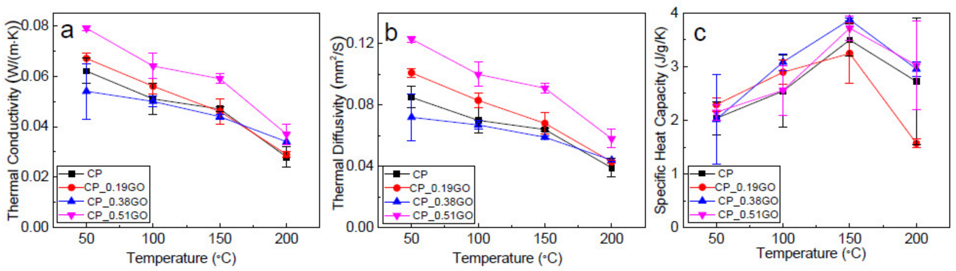
3.4. Thermal Behaviour of Composites
3.5. Electromechanical Response
4. Conclusions
Author Contributions
Funding
Informed Consent Statement
Data Availability Statement
Conflicts of Interest
References
- Pickering, K.L.; Efendy, M.G.A.; Le, T.M. A Review of Recent Developments in Natural Fibre Composites and Their Mechanical Performance. Compos. Part A 2016, 83, 98–112. [Google Scholar] [CrossRef]
- Gurunathan, T.; Mohanty, S.; Nayak, S.K. A Review of the Recent Developments in Biocomposites Based on Natural Fibres and Their Application Perspectives. Compos. Part A 2015, 77, 1–25. [Google Scholar] [CrossRef]
- Awais, H.; Nawab, Y.; Amjad, A.; Anjang, A.; Md Akil, H.; Zainol Abidin, M.S. Environmental Benign Natural Fibre Reinforced Thermoplastic Composites: A Review. Compos. Part C 2021, 4, 100082. [Google Scholar] [CrossRef]
- Mochane, M.J.; Magagula, S.I.; Sefadi, J.S.; Mokhena, T.C. A Review on Green Composites Based on Natural Fiber-Reinforced Polybutylene Succinate (Pbs). Polymers 2021, 13, 1200. [Google Scholar] [CrossRef]
- Stark, N.M.; White, R.H.; Mueller, S.A.; Osswald, T.A. Evaluation of Various Fire Retardants for Use in Wood Flour–Polyethylene Composites. Polym. Degrad. Stab. 2010, 95, 1903–1910. [Google Scholar] [CrossRef]
- Azwa, Z.N.; Yousif, B.F.; Manalo, A.C.; Karunasena, W. A Review on the Degradability of Polymeric Composites Based on Natural Fibres. Mater. Des. 2013, 47, 424–442. [Google Scholar] [CrossRef]
- Asyraf, M.R.M.; Syamsir, A.; Zahari, N.M.; Supian, A.B.M.; Ishak, M.R.; Sapuan, S.M.; Sharma, S.; Rashedi, A.; Razman, M.R.; Zakaria, S.Z.S.; et al. Product Development of Natural Fibre-Composites for Various Applications: Design for Sustainability. Polymers 2022, 14, 920. [Google Scholar] [CrossRef]
- Wang, J.; Bao, L.; Zhao, H.; Lei, J. Preparation and Characterization of Permanently Anti-Static Packaging Composites Composed of High Impact Polystyrene and Ion-Conductive Polyamide Elastomer. Compos. Sci. Technol. 2012, 72, 976–981. [Google Scholar] [CrossRef]
- Lukawski, D.; Hochmanska-Kaniewska, P.; Janiszewska, D.; Wroblewski, G.; Patmore, J.; Lekawa-Raus, A. Enriching Wpcs and Nfpcs with Carbon Nanotubes and Graphene. Polymers 2022, 14, 745. [Google Scholar] [CrossRef]
- Tamburrano, A.; Sarasini, F.; De Bellis, G.; D’Aloia, A.G.; Sarto, M.S. The Piezoresistive Effect in Graphene-Based Polymeric Composites. Nanotechnology 2013, 24, 465702. [Google Scholar] [CrossRef]
- Zhang, J.; Wang, J.; Lin, T.; Wang, C.H.; Ghorbani, K.; Fang, J.; Wang, X. Magnetic and Mechanical Properties of Polyvinyl Alcohol (Pva) Nanocomposites with Hybrid Nanofillers—Graphene Oxide Tethered with Magnetic Fe3o4 Nanoparticles. Chem. Eng. J. 2014, 237, 462–468. [Google Scholar] [CrossRef]
- Mahmoud Zaghloul, M.Y.; Yousry Zaghloul, M.M.; Yousry Zaghloul, M.M. Developments in Polyester Composite Materials—An in-Depth Review on Natural Fibres and Nano Fillers. Compos. Struct. 2021, 278, 114698. [Google Scholar] [CrossRef]
- Tian, H.; Shu, Y.; Wang, X.F.; Mohammad, M.A.; Bie, Z.; Xie, Q.Y.; Li, C.; Mi, W.T.; Yang, Y.; Ren, T.L. A Graphene-Based Resistive Pressure Sensor with Record-High Sensitivity in a Wide Pressure Range. Sci. Rep. 2015, 5, 8603. [Google Scholar] [CrossRef]
- Qin, Y.; Peng, Q.; Ding, Y.; Lin, Z.; Wang, C.; Li, Y.; Xu, F.; Li, J.; Yuan, Y.; He, X.; et al. Lightweight, Superelastic, and Mechanically Flexible Graphene Polyimide Nanocomposite Foam for Strain Sensor Application. ACS Nano 2015, 9, 8933–8941. [Google Scholar] [CrossRef] [PubMed]
- Chen, Z.; Ren, W.; Gao, L.; Liu, B.; Pei, S.; Cheng, H.M. Three-Dimensional Flexible and Conductive Interconnected Graphene Networks Grown by Chemical Vapour Deposition. Nat. Mater. 2011, 10, 424–428. [Google Scholar] [CrossRef] [PubMed]
- Wu, S.; Ladani, R.B.; Zhang, J.; Ghorbani, K.; Zhang, X.; Mouritz, A.P.; Kinloch, A.J.; Wang, C.H. Strain Sensors with Adjustable Sensitivity by Tailoring the Microstructure of Graphene Aerogel/Pdms Nanocomposites. ACS Appl. Mater. Interfaces 2016, 8, 24853–24861. [Google Scholar] [CrossRef] [PubMed]
- Smith, A.D.; Niklaus, F.; Paussa, A.; Schroder, S.; Fischer, A.C.; Sterner, M.; Wagner, S.; Vaziri, S.; Forsberg, F.; Esseni, D.; et al. Piezoresistive Properties of Suspended Graphene Membranes under Uniaxial and Biaxial Strain in Nanoelectromechanical Pressure Sensors. ACS Nano 2016, 10, 9879–9886. [Google Scholar] [CrossRef] [PubMed]
- Zhu, S.E.; Krishna Ghatkesar, M.; Zhang, C.; Janssen, G.C.A.M. Graphene Based Piezoresistive Pressure Sensor. Appl. Phys. Lett. 2013, 102, 161904. [Google Scholar] [CrossRef]
- Deng, C.; Jiang, J.; Liu, F.; Fang, L.; Wang, J.; Li, D.; Wu, J. Influence of Graphene Oxide Coatings on Carbon Fiber by Ultrasonically Assisted Electrophoretic Deposition on Its Composite Interfacial Property. Surf. Coat. Technol. 2015, 272, 176–181. [Google Scholar] [CrossRef]
- Kuilla, T.; Bhadra, S.; Yao, D.; Kim, N.H.; Bose, S.; Lee, J.H. Recent Advances in Graphene Based Polymer Composites. Prog. Polym. Sci. 2010, 35, 1350–1375. [Google Scholar] [CrossRef]
- Du, S.-S.; Li, F.; Xiao, H.-M.; Li, Y.-Q.; Hu, N.; Fu, S.-Y. Tensile and Flexural Properties of Graphene Oxide Coated-Short Glass Fiber Reinforced Polyethersulfone Composites. Compos. Part B 2016, 99, 407–415. [Google Scholar] [CrossRef]
- Mahmood, H.; Tripathi, M.; Pugno, N.; Pegoretti, A. Enhancement of Interfacial Adhesion in Glass Fiber/Epoxy Composites by Electrophoretic Deposition of Graphene Oxide on Glass Fibers. Compos. Sci. Technol. 2016, 126, 149–157. [Google Scholar] [CrossRef]
- Song, N.; Gao, Z.; Li, X. Tailoring Nanocomposite Interfaces with Graphene to Achieve High Strength and Toughness. Sci. Adv. 2020, 6, eaba7016. [Google Scholar] [CrossRef] [PubMed]
- Ummartyotin, S.; Manuspiya, H. A Critical Review on Cellulose: From Fundamental to an Approach on Sensor Technology. Renew. Sustain. Energy Rev. 2015, 41, 402–412. [Google Scholar] [CrossRef]
- Saba, N.; Tahir, P.; Jawaid, M. A Review on Potentiality of Nano Filler/Natural Fiber Filled Polymer Hybrid Composites. Polymers 2014, 6, 2247–2273. [Google Scholar] [CrossRef]
- Karim, N.; Sarker, F.; Afroj, S.; Zhang, M.; Potluri, P.; Novoselov, K.S. Sustainable and Multifunctional Composites of Graphene-Based Natural Jute Fibers. Adv. Sustain. Syst. 2021, 5, 2000228. [Google Scholar] [CrossRef]
- Alomayri, T.; Low, I.M. Synthesis and Characterization of Mechanical Properties in Cotton Fiber-Reinforced Geopolymer Composites. J. Asian Ceram. Soc. 2013, 1, 30–34. [Google Scholar] [CrossRef]
- Zonatti, W.F.; Guimarães, B.M.G.; Duleba, W.; Ramos, J.B. Thermoset Composites Reinforced with Recycled Cotton Textile Residues. Text. Cloth. Sustain. 2015, 1, 1. [Google Scholar] [CrossRef]
- Rukmini, K.; Ramaraj, B.; Shetty, S.K.; Taraiya, A.; Bandyopadhyay, S. Development of Eco-Friendly Cotton Fabric Reinforced Polypropylene Composites: Mechanical, Thermal, and Morphological Properties. Adv. Polym. Technol. 2013, 32, 21327. [Google Scholar] [CrossRef]
- Faruk, O.; Bledzki, A.K.; Fink, H.-P.; Sain, M. Progress Report on Natural Fiber Reinforced Composites. Macromol. Mater. Eng. 2014, 299, 9–26. [Google Scholar] [CrossRef]
- Piekarska, K.; Sowinski, P.; Piorkowska, E.; Haque, M.M.U.; Pracella, M. Structure and Properties of Hybrid Pla Nanocomposites with Inorganic Nanofillers and Cellulose Fibers. Compos. Part A 2016, 82, 34–41. [Google Scholar] [CrossRef]
- Olonisakin, K.; Fan, M.; Xin-Xiang, Z.; Ran, L.; Lin, W.; Zhang, W.; Wenbin, Y. Key Improvements in Interfacial Adhesion and Dispersion of Fibers/Fillers in Polymer Matrix Composites; Focus on Pla Matrix Composites. Compos. Interfaces 2021, 1–50. [Google Scholar] [CrossRef]
- Ali, A.; Andriyana, A. Properties of Multifunctional Composite Materials Based on Nanomaterials: A Review. RSC Adv. 2020, 10, 16390–16403. [Google Scholar] [CrossRef] [PubMed]
- George, G.; Dev, A.P.; Asok, N.N.; Anoop, M.S.; Anandhan, S. Dispersion Analysis of Nanofillers and Its Relationship to the Properties of the Nanocomposites. Mater. Today Proc. 2021, 47, 5104–5109. [Google Scholar] [CrossRef]
- Mohammed Basheer, E.P.; Marimuthu, K. Carbon Fibre-graphene Composite Polylactic acid (PLA) Material for COVID Shield Frame. Mater. Und Werkst. 2022, 53, 119–127. [Google Scholar] [CrossRef]
- Pierleoni, D.; Xia, Z.Y.; Christian, M.; Ligi, S.; Minelli, M.; Morandi, V.; Doghieri, F.; Palermo, V. Graphene-based Coatings on Polymer Films for Gas Barrier Applications. Carbon 2016, 96, 503–512. [Google Scholar] [CrossRef]
- Rouhani, S.; Hosseinnezhad, M.; Sohrab, N.; Gharanjig, K.; Salem, A.; Ranjbar, Z. Investigation of the Effect of rGO/TiO2 on Photovoltaic Performance of DSSCs Devices. Prog. Color Colorants Coat. 2022, 15, 123–131. [Google Scholar] [CrossRef]
- Hummers, W.S., Jr.; Offeman, R.E. Preparation of Graphitic Oxide. J. Am. Chem. Soc. 1958, 80, 1339. Available online: https://pubs.acs.org/doi/pdf/10.1021/ja01539a017 (accessed on 20 September 2022). [CrossRef]
- Kongahge, D.; Foroughi, J.; Gambhir, S.; Spinks, G.M.; Wallace, G.G. Fabrication of a Graphene Coated Nonwoven Textile for Industrial Applications. RSC Adv. 2016, 6, 73203–73209. [Google Scholar] [CrossRef]
- Krishnamoorthy, K.; Navaneethaiyer, U.; Mohan, R.; Lee, J.; Kim, S.-J. Graphene Oxide Nanostructures Modified Multifunctional Cotton Fabrics. Appl. Nanosci. 2011, 2, 119–126. [Google Scholar] [CrossRef]
- Rabiei, M.; Raziyan, M.S.; Ebrahimi-Kahrizsangi, R.; Nasiri, S.; Palevicius, A.; Janusas, G.; Vilkauskas, A. Effects of 5 wt.% Polycaprolactone, Polyhydroxybutyrate and Polyvinyltrimethoxysilane on the Properties of Ag/Zn/Mg Alloy. Polymers 2022, 15, 5421. [Google Scholar] [CrossRef]
- Ren, P.G.; Yan, D.X.; Ji, X.; Chen, T.; Li, Z.M. Temperature Dependence of Graphene Oxide Reduced by Hydrazine Hydrate. Nanotechnology 2011, 22, 055705. [Google Scholar] [CrossRef] [PubMed]
- Gao, W.; Alemany, L.B.; Ci, L.; Ajayan, P.M. New Insights into the Structure and Reduction of Graphite Oxide. Nat. Chem. 2009, 1, 403–408. [Google Scholar] [CrossRef] [PubMed]
- Allen, M.J.; Tung, V.C.; Kaner, R.B. Honeycomb Carbon a Review of Graphene. Chem. Rev. 2010, 1, 132–145. [Google Scholar] [CrossRef]
- Lu, J.; Peng, Q.; Wang, W.; Nan, C.; Li, L.; Li, Y. Nanoscale Coating of Limo2 (M = Ni, Co, Mn) Nanobelts with Li+-Conductive Li2TiO3: Toward Better Rate Capabilities for Li-Ion Batteries. J. Am. Chem. Soc. 2013, 135, 1649–1652. [Google Scholar] [CrossRef]
- Burger, N.; Laachachi, A.; Ferriol, M.; Lutz, M.; Toniazzo, V.; Ruch, D. Review of Thermal Conductivity in Composites: Mechanisms, Parameters and Theory. Prog. Polym. Sci. 2016, 61, 1–28. [Google Scholar] [CrossRef]
- Venkanna, B.K. Fundamentals of the Heat and Mass Transfer; PHI Learning: New Delhi, India, 2010. [Google Scholar]
- Martin-Gallego, M.; Verdejo, R.; Khayet, M.; de Zarate, J.M.O.; Essalhi, M.; Lopez-Manchado, M.A. Thermal Conductivity of Carbon Nanotubes and Graphene in Epoxy Nanofluids and Nanocomposites. Nanoscale Res. Lett. 2011, 1, 610. [Google Scholar] [CrossRef]
- Wang, D.Y.; Tao, L.Q.; Liu, Y.; Zhang, T.Y.; Pang, Y.; Wang, Q.; Jiang, S.; Yang, Y.; Ren, T.L. High Performance Flexible Strain Sensor Based on Self-Locked Overlapping Graphene Sheets. Nanoscale 2016, 8, 20090–20095. [Google Scholar] [CrossRef]
- Hu, N.; Karube, Y.; Yan, C.; Masuda, Z.; Fukunaga, H. Tunneling Effect in a Polymer/Carbon Nanotube Nanocomposite Strain Sensor. Acta Mater. 2008, 56, 2929–2936. [Google Scholar] [CrossRef]
- Hempel, M.; Nezich, D.; Kong, J.; Hofmann, M. A Novel Class of Strain Gauges Based on Layered Percolative Films of 2d Materials. Nano Lett. 2012, 12, 5714–5718. [Google Scholar] [CrossRef]











Publisher’s Note: MDPI stays neutral with regard to jurisdictional claims in published maps and institutional affiliations. |
© 2022 by the authors. Licensee MDPI, Basel, Switzerland. This article is an open access article distributed under the terms and conditions of the Creative Commons Attribution (CC BY) license (https://creativecommons.org/licenses/by/4.0/).
Share and Cite
He, Y.; Wu, S.; Yuen, A.C.Y.; Huang, F.; Boyer, C.; Wang, C.H.; Zhang, J. Scalable Manufacturing Process and Multifunctional Performance of Cotton Fibre-Reinforced Poly(Lactic Acid) (PLA) Bio-Composites Coated by Graphene Oxide. Polymers 2022, 14, 3946. https://doi.org/10.3390/polym14193946
He Y, Wu S, Yuen ACY, Huang F, Boyer C, Wang CH, Zhang J. Scalable Manufacturing Process and Multifunctional Performance of Cotton Fibre-Reinforced Poly(Lactic Acid) (PLA) Bio-Composites Coated by Graphene Oxide. Polymers. 2022; 14(19):3946. https://doi.org/10.3390/polym14193946
Chicago/Turabian StyleHe, Yilin, Shuying Wu, Anthony Chun Yin Yuen, Feng Huang, Cyrille Boyer, Chun H. Wang, and Jin Zhang. 2022. "Scalable Manufacturing Process and Multifunctional Performance of Cotton Fibre-Reinforced Poly(Lactic Acid) (PLA) Bio-Composites Coated by Graphene Oxide" Polymers 14, no. 19: 3946. https://doi.org/10.3390/polym14193946
APA StyleHe, Y., Wu, S., Yuen, A. C. Y., Huang, F., Boyer, C., Wang, C. H., & Zhang, J. (2022). Scalable Manufacturing Process and Multifunctional Performance of Cotton Fibre-Reinforced Poly(Lactic Acid) (PLA) Bio-Composites Coated by Graphene Oxide. Polymers, 14(19), 3946. https://doi.org/10.3390/polym14193946

