Withdrawal Performance of Nails and Screws in Cross-Laminated Timber (CLT) Made of Poplar (Populus alba) and Fir (Abies alba)
Abstract
:1. Introduction
2. Material and Methods
2.1. Wood and Manufacturing of CLT
2.2. Fasteners
2.3. Experimental Setup
2.4. Statistical Analysis
3. Results and Discussion
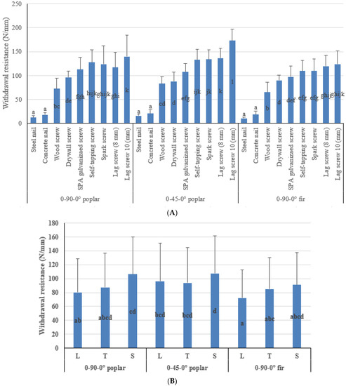
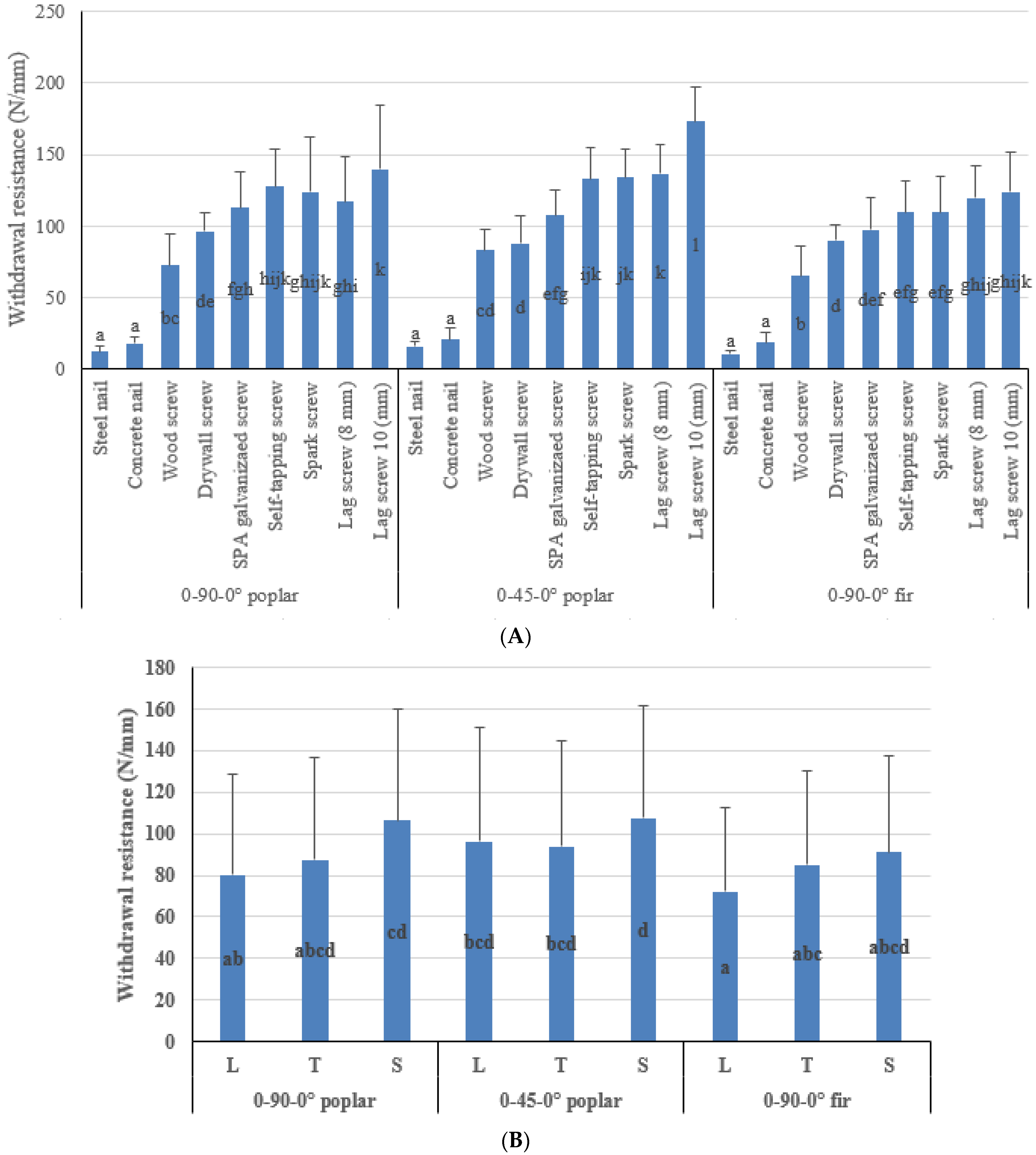
3.1. Effects of CLT Types, Fastener Types, and Loading Directions on Withdrawal Resistance
3.2. Interaction Effects of CLT Types, Fastener Types, and Loading Directions
3.3. Failure Modes
4. Conclusions
- -
- In terms of the main effect, fastener type was the most effective factor in the withdrawal performance of CLT. Following that were loading direction and CLT type, respectively.
- -
- In terms of the interaction effect, CLT type * fastener type was the most effective factor in the withdrawal performance of CLT. Following that were fastener type * loading direction and CLT type * loading direction.
- -
- In addition to fir wood, fasteners inserted in poplar (a fast-growing species) showed satisfactory withdrawal resistance.
- -
- Diameter had a great influence on the withdrawal resistance of the fasteners.
- -
- In terms of the loading direction, which is crucial in CLT connection design (wall to wall, wall to floor, etc.), fasteners in the S direction had the highest withdrawal resistance, followed by fasteners in the T direction. In this regard, obtaining data about various fasteners in all loading directions could be valuable for finding optimal fasteners for each direction.
- -
- Different layer arrangements were examined to improve the low withdrawal resistance in the L direction of the CLT. The results showed that the difference between withdrawal resistance in L and T directions was reduced by changing the arrangement, thereby improving them in the L direction.
- -
- Failure modes in different CLT directions and different fastener types should be considered for achieving a better withdrawal resistance. Further research is recommended to characterize the impact of thread height and gauge (flank distance).
- -
- The higher the diameter of fasteners, the higher the damaged area for each fastener, which directly correlates with withdrawal capacity. The damaged area in the S direction was higher than in the T and L directions. Therefore, applying these findings to the design of angle brackets connected with nails or screws or a combination of them is recommended.
- -
- The results revealed that screws with larger diameters showed high withdrawal resistance. However, it is important to consider where to install these fasteners on the CLT because of how much more damage they might do. The design of the angle brackets could benefit from these insights. Therefore, using fasteners with smaller diameters in the low end and edge distances of the angle brackets and fasteners with larger diameters in the higher end and edge distances is recommended.
Author Contributions
Funding
Institutional Review Board Statement
Informed Consent Statement
Data Availability Statement
Conflicts of Interest
References
- Lyu, C.; Gilbert, B.; Guan, H.; Karampour, H.; Gunalan, S. Finite element modelling of the progressive collapse of post-and-beam mass timber building substructures under edge and corner column removal scenarios. J. Build. Eng. 2022, 49, 104012. [Google Scholar] [CrossRef]
- Navaratnam, S.; Thamboo, J.; Ponnampalam, T.; Venkatesan, S.; Chong, K.B. Mechanical performance of glued-in rod glulam beam to column moment connection: An experimental study. J. Build. Eng. 2022, 50, 104131. [Google Scholar] [CrossRef]
- Wang, Y.; Lian, W.; Benjeddou, O. Experimental and numerical investigation on withdrawal connectors usage for lateral resistance of timber shear walls structure. J. Build. Eng. 2021, 44, 103266. [Google Scholar]
- Karacabeyli, E.; Gagnon, S. Canadian CLT Handbook; Digital; FPInnovations: Pointe-Claire, QC, Canada, 2019. [Google Scholar]
- Li, X.; Ashraf, M.; Subhani, M.; Kafle, B.; Kremer, P. Resistance of Cross Laminated Timber Members under Axial Loading—A Review of Current Design Rules. In CIGOS 2019, Innovation for Sustainable Infrastructure; Springer: Berlin/Heidelberg, Germany, 2020; pp. 179–184. [Google Scholar]
- Li, X.; Subhani, M.; Ashraf, M.; Kafle, B.; Kremer, P. A current-state-of-the-art on design rules vs test resistance of Cross Laminated Timber members subjected to transverse loading. In CIGOS 2019, Innovation for Sustainable Infrastructure; Springer: Berlin/Heidelberg, Germany, 2020; pp. 185–190. [Google Scholar]
- Ottenhaus, L.-M.; Jockwer, R.; van Drimmelen, D.; Crews, K. Designing timber connections for ductility—A review and discussion. Constr. Build. Mater. 2021, 304, 124621. [Google Scholar] [CrossRef]
- Leng, Y.; Xu, Q.; Harries, K.A.; Chen, L.; Liu, K.; Chen, X. Experimental study on mechanical properties of laminated bamboo beam-to-column connections. Eng. Struct. 2020, 210, 110305. [Google Scholar] [CrossRef]
- Wang, T.-H.; Chung, Y.-L.; Wang, S.-Y.; Chang, W.-S. Glue-laminated bamboo for dowel-type moment-resisting connections. Compos. Struct. 2021, 267, 113848. [Google Scholar] [CrossRef]
- Rashidi, M.; Hoshyar, A.N.; Smith, L.; Samali, B.; Siddique, R. A comprehensive taxonomy for structure and material deficiencies, preventions and remedies of timber bridges. J. Build. Eng. 2021, 34, 101624. [Google Scholar] [CrossRef]
- Wang, J.; He, J.-X.; Yang, Q.-S.; Yang, N. Study on mechanical behaviors of column foot joint in traditional timber structure. Struct. Eng. Mech. Int. J. 2018, 66, 1–14. [Google Scholar]
- Mahdavifar, V.; Sinha, A.; Barbosa, A.R.; Muszynski, L.; Gupta, R. Lateral and withdrawal capacity of fasteners on hybrid cross-laminated timber panels. J. Mater. Civ. Eng. 2018, 30, 04018226. [Google Scholar] [CrossRef]
- Ringhofer, A.; Brandner, R.; Schickhofer, G. A Universal Approach for Withdrawal Properties of Self-Tapping Screws in Solid Timber and Laminated Timber Products; Institute of Timber Engineering and Wood Technology, Graz University of Technology: Graz, Austria, 2015. [Google Scholar]
- Ringhofer, A.; Brandner, R.; Blaß, H.J. Cross laminated timber (CLT): Design approaches for dowel-type fasteners and connections. Eng. Struct. 2018, 171, 849–861. [Google Scholar] [CrossRef]
- Uibel, T.; Blaß, H.J. Edge joints with dowel type fasteners in cross laminated timber. In Proceedings of the CIB-W18 Meeting, Bled, Slovenia, 28–31 August 2007. [Google Scholar]
- Uibel, T.; Blaß, H.J. Joints with dowel type fasteners in CLT structures. In Proceedings of the Focus Solid Timber Solutions-European Conference on Cross Laminated Timber (CLT), Bath, UK, 21–22 May 2013; pp. 119–136. [Google Scholar]
- Uibel, T.; Blaß, H.J. Load carrying capacity of joints with dowel type fasteners in solid wood panels. In Proceedings of the CIB-W18 Meeting, Florence, Italy, 28–31 August 2006. [Google Scholar]
- Gagnon, S.; Pirvu, C. CLT Handbook: Cross-Laminated Timber; FPInnovations: Pointe-Claire, QC, USA, 2011. [Google Scholar]
- Karacabeyli, E.; Gagnon, S.; Pîrvu, C. Canadian CLT Handbook: Cross-Laminated Timber; FPInnovations: Pointe-Claire, QC, USA, 2019. [Google Scholar]
- Bogensperger, T.; Moosbrugger, T.; Schickhofer, G. BSPhandbuch, Holz-Massivbauweise in Brettsperrholz; Verlag der Technischen Universität Graz: Graz, Austria, 2010. [Google Scholar]
- Li, H.; Qiu, H.; Wang, Z.; Lu, Y. Withdrawal resistance of the self-tapping screws in engineered bamboo scrimber. Constr. Build. Mater. 2021, 311, 125315. [Google Scholar] [CrossRef]
- Khai, T.D.; Young, J.G. Withdrawal capacity and strength of self-tapping screws on cross-laminated timber. Structures 2022, 37, 772–786. [Google Scholar] [CrossRef]
- Blaß, H.J.; Bejtka, I.; Uibel, T. Tragfähigkeit von Verbindungen mit Selbstbohrenden Holzschrauben mit Vollgewinde; KIT Scientific Publishing: Karlsruhe, Germany, 2006; Volume 4. [Google Scholar]
- Teng, Q.; Que, Z.; Li, Z.; Zhang, X. Effect of installed angle on the withdrawal capacity of self-tapping screws and nails. In Proceedings of the World Conference of Timber Engineering, Seoul, Korea, 20–23 August 2018. [Google Scholar]
- Ringhofer, A.; Burtscher, M.; Gstettner, M.; Sieder, R. Self-Tapping Timber Screws Subjected to Combined Axial and Lateral Loading. In INTER-International Network on Timber Engineering Reserach; Timber Scientific Publishing: Karlsruhe, Germany, 2021; pp. 95–112. [Google Scholar]
- Hossain, A.; Popovski, M.; Tannert, T. Cross-laminated timber connections assembled with a combination of screws in withdrawal and screws in shear. Eng. Struct. 2018, 168, 1–11. [Google Scholar] [CrossRef]
- Brown, J.; Li, M.; Karalus, B.; Stanton, S. Withdrawal Behaviour of Self-Tapping Screws in New Zealand Cross-Laminated Timber; University of Canterbury: Christchurch, New Zealand, 2020. [Google Scholar]
- Brown, J.R.; Li, M.; Tannert, T.; Moroder, D. Experimental study on orthogonal joints in cross-laminated timber with self-tapping screws installed with mixed angles. Eng. Struct. 2021, 228, 111560. [Google Scholar] [CrossRef]
- Ross, R.J. Wood Handbook: Wood as an Engineering Material; General Technical Report FPL-GTR-190; Forest Products Laboratory, USDA Forest Service: Washington, DC, USA, 2010; p. 509.
- Xu, J.; Zhang, S.; Wu, G.; Gong, Y.; Ren, H. Withdrawal Properties of Self-Tapping Screws in Japanese larch (Larix kaempferi (Lamb.) Carr.) Cross Laminated Timber. Forests 2021, 12, 524. [Google Scholar] [CrossRef]
- Izzi, M.; Polastri, A.; Fragiacomo, M. Modelling the mechanical behaviour of typical wall-to-floor connection systems for cross-laminated timber structures. Eng. Struct. 2018, 162, 270–282. [Google Scholar] [CrossRef] [Green Version]
- Izzi, M.; Flatscher, G.; Fragiacomo, M.; Schickhofer, G. Experimental investigations and design provisions of steel-to-timber joints with annular-ringed shank nails for Cross-Laminated Timber structures. Constr. Build. Mater. 2016, 122, 446–457. [Google Scholar] [CrossRef] [Green Version]
- Ceylan, A.; Girgin, Z.C. Comparisons on withdrawal resistance of resin and phosphate coated annular ring nails in CLT specimens. Constr. Build. Mater. 2020, 238, 117742. [Google Scholar] [CrossRef]
- Rezvani, S.; Zhou, L.; Ni, C. Experimental evaluation of angle bracket connections in CLT structures under in-and out-of-plane lateral loading. Eng. Struct. 2021, 244, 112787. [Google Scholar] [CrossRef]
- D’Arenzo, G.; Rinaldin, G.; Fossetti, M.; Fragiacomo, M. An innovative shear-tension angle bracket for cross-laminated timber structures: Experimental tests and numerical modelling. Eng. Struct. 2019, 197, 109434. [Google Scholar] [CrossRef]
- Li, X.; Ashraf, M.; Subhani, M.; Ghabraie, K.; Li, H.; Kremer, P. Withdrawal resistance of self-tapping screws inserted on the narrow face of cross laminated timber made from Radiata Pine. Structures 2021, 31, 1130–1140. [Google Scholar] [CrossRef]
- Haftkhani, A.R.; Ebrahimi, G.; Tajvidi, M.; Layeghi, M. Investigation on withdrawal resistance of various screws in face and edge of wood–plastic composite panel. Mater. Des. 2011, 32, 4100–4106. [Google Scholar] [CrossRef]
- Hematabadi, H.; Behrooz, R.; Shakibi, A.; Arabi, M. The reduction of indoor air formaldehyde from wood based composites using urea treatment for building materials. Constr. Build. Mater. 2012, 28, 743–746. [Google Scholar] [CrossRef]
- Hematabadi, H.; Madhoushi, M.; Khazaeyan, A.; Ebrahimi, G.; Hindman, D.; Loferski, J. Bending and shear properties of cross-laminated timber panels made of poplar (Populus alba). Constr. Build. Mater. 2020, 265, 120326. [Google Scholar] [CrossRef]
- Hematabadi, H.; Madhoushi, M.; Khazaeian, A.; Ebrahimi, G. Structural performance of hybrid Poplar-Beech cross-laminated-timber (CLT). J. Build. Eng. 2021, 44, 102959. [Google Scholar] [CrossRef]
- Kramer, A.; Barbosa, A.R.; Sinha, A. Viability of hybrid poplar in ANSI approved cross-laminated timber applications. J. Mater. Civ. Eng. 2014, 26, 06014009. [Google Scholar] [CrossRef]
- Wang, Z.; Fu, H.; Chui, Y.-H.; Gong, M. Feasibility of using poplar as cross layer to fabricate cross-laminated timber. In Proceedings of the World Conference on Timber Engineering, Quebec City, QC, Canada, 10–14 August 2014. [Google Scholar]
- da Rosa Azambuja, R.; DeVallance, D.B.; McNeel, J. Evaluation of Low-Grade Yellow-Poplar (Liriodendron tulipifera) as Raw Material for Cross-Laminated Timber Panel Production. For. Prod. J. 2022, 72, 1–10. [Google Scholar] [CrossRef]
- Wang, Z.; Dong, W.; Wang, Z.; Zhou, J.; Gong, M. Effect of macro characteristics on rolling shear properties of fast-growing poplar wood laminations. Wood Res. 2018, 63, 227–238. [Google Scholar]
- Mohammad, M.; Blass, H.; Salenikovich, A.; Ringhofer, A.; Line, P.; Rammer, D.; Smith, T.; Li, M. Design approaches for CLT connections. Wood Fiber Sci. 2018, 50, 27–47. [Google Scholar] [CrossRef] [Green Version]
- Hübner, U.; Rasser, M.; Schickhofer, G. Withdrawal capacity of screws in European ash (Fraxinus excelsior L.). In Proceedings of the 11th World Conference on Timber Engineering, Trentino, Italy, 20–24 June 2010; pp. 241–250. [Google Scholar]
- Taj, M.A.; Kazemi Najafi, S.; Ebrahimi, G. Withdrawal and lateral resistance of wood screw in beech, hornbeam and poplar. Eur. J. Wood Wood Prod. 2009, 67, 135–140. [Google Scholar] [CrossRef]
- Ringhofer, A.; Brandner, R.; Schickhofer, G. Withdrawal resistance of self-tapping screws in unidirectional and orthogonal layered timber products. Mater. Struct. 2015, 48, 1435–1447. [Google Scholar] [CrossRef]
- Yermán, L.; Ottenhaus, L.-M.; Montoya, C.; Morrell, J.J. Effect of repeated wetting and drying on withdrawal capacity and corrosion of nails in treated and untreated timber. Constr. Build. Mater. 2021, 284, 122878. [Google Scholar] [CrossRef]
- Silva, C.; Branco, J.M.; Ringhofer, A.; Lourenço, P.B.; Schickhofer, G. The influences of moisture content variation, number and width of gaps on the withdrawal resistance of self tapping screws inserted in cross laminated timber. Constr. Build. Mater. 2016, 125, 1205–1215. [Google Scholar] [CrossRef] [Green Version]
- Brandner, R.; Flatscher, G.; Ringhofer, A.; Schickhofer, G.; Thiel, A. Cross laminated timber (CLT): Overview and development. Eur. J. Wood Wood Prod. 2016, 74, 331–351. [Google Scholar] [CrossRef]
- ASTM-D1761-20; Standard Test Methods for Mechanical Fasteners in Wood and Wood-Based Materials. Document Center Inc.: Belmont, CA, USA, 2020.
- Brandner, R. Properties of axially loaded self-tapping screws with focus on application in hardwood. Wood Mater. Sci. Eng. 2019, 14, 254–268. [Google Scholar] [CrossRef] [Green Version]
- Brandner, R.; Ringhofer, A.; Reichinger, T. Performance of axially-loaded self-tapping screws in hardwood: Properties and design. Eng. Struct. 2019, 188, 677–699. [Google Scholar] [CrossRef]
- Gehloff, M. Pull-Out Resistance of Self-Tapping Wood Screws with Continuous Thread; University of British Columbia: Vancouver, BC, Canada, 2011. [Google Scholar]
- Abukari, M.H. The Performance of Structural Screws in Canadian Glulam; McGill University: Montréal, QC, Canada, 2012. [Google Scholar]
- Abukari, M.H.; Coté, M.; Rogers, C.; Salenikovich, A. Withdrawal resistance of structural screws in Canadian glued laminated timber. In Proceedings of the World Conference on Timber Engineering 2012 (WCTE 2012), Auckland, New Zealand, 15–19 July 2012. [Google Scholar]
- Chybiński, M.; Polus, Ł. Withdrawal strength of hexagon head wood screws in laminated veneer lumber. Eur. J. Wood Wood Prod. 2022, 80, 541–553. [Google Scholar] [CrossRef]
- Hoelz, K.; Dörner, P.-T.; Hohlweg, J.; Matthiesen, S. Influence of thread parameters on the withdrawal capacity of wood screws to optimize the thread geometry. Eur. J. Wood Wood Prod. 2022, 80, 529–540. [Google Scholar] [CrossRef]
- Ringhofer, A.; Augustin, M.; Schickhofer, G. Basic steel properties of self-tapping timber screws exposed to cyclic axial loading. Constr. Build. Mater. 2019, 211, 207–216. [Google Scholar] [CrossRef]
- Pang, S.-J.; Ahn, K.-S.; Kang, S.G.; Oh, J.-K. Prediction of withdrawal resistance for a screw in hybrid cross-laminated timber. J. Wood Sci. 2020, 66, 79. [Google Scholar] [CrossRef]










![]() | ![]() | ![]() | ![]() | ![]() | ![]() | ![]() | ![]() | ![]() | |
|---|---|---|---|---|---|---|---|---|---|
| Steel Nail | Concrete Nail | Drywall Screw | Wood Screw | Galvanized SPAX Screw | Self-Tapping Screw | Concrete Screw | Lag Screw (8 mm) | Lag Screw (10 mm) | |
| Length (mm) | 63.5 | 66 | 61.8 | 62.5 | 59.16 | 68.7 | 60 | 65.5 | 69 |
| Major diameter (mm) | 3.75 | 4.16 | 4.2 | 4.7 | 4.46 | 6.44 | 7.8 | 7.75 | 9.43 |
| Minor diameter (mm) | - | - | 2.7 | 3.9 | 2.9 | 4.7 | 4.7 | 5.6 | 6.6 |
| Pre-drilled hole diameter (mm) | 3 | 3 | 2 | 3.5 | 2 | 3.5 | 3.5 | 5 | 6.5 |
| Fastener | Loading Direction | Withdrawal Resistance (N) | ||
|---|---|---|---|---|
| Poplar (0-90-0°) | Poplar (0-45-0°) | Fir (0-90-0°) | ||
| Steel nail | L | 10 (0.6) | 14 (2.7) | 9 (1.5) |
| T | 14 (4) | 15 (1.6) | 13 (3.3) | |
| S | 13 (4.3) | 19 (3.5) | 11 (2.4) | |
| Concrete nail | L | 18 (2.3) | 17 (3.3) | 21 (7.2) |
| T | 14 (2.9) | 23 (8.9) | 16 (4.7) | |
| S | 23 (3.7) | 23 (10.2) | 19 (7.9) | |
| Wood screw | L | 47 (9.2) | 77 (11.4) | 47 (12.6) |
| T | 77 (5.9) | 79 (10.4) | 73 (23) | |
| S | 95 (10.2) | 93 (17.3) | 75 (14.3) | |
| Drywall screw | L | 92 (15.9) | 82 (19.7) | 86 (16.5) |
| T | 98 (16) | 79 (17.8) | 94 (8.6) | |
| S | 99 (7.2) | 104 (7.3) | 91 (5.5) | |
| SPAX galvanized screw | L | 83 (10.6) | 98 (18.7) | 71 (6) |
| T | 127 (18.5) | 108 (21.3) | 106 (15.6) | |
| S | 129 (10.4) | 116.1 (10.3) | 115 (10) | |
| Self-tapping screw | L | 97 (14) | 123 (16.1) | 91 (13.6) |
| T | 140 (5.8) | 123 (20.8) | 119 (22.9) | |
| S | 147 (19.9) | 153 (13.3) | 119 (18.2) | |
| Concretescrew | L | 89 (42) | 146 (15.5) | 76 (6) |
| T | 152 (25.7) | 118 (18.7) | 127 (8) | |
| S | 131 (11.7) | 138 (14.4) | 126 (6) | |
| Lag screw (8 mm) | L | 126 (9.4) | 126 (14.4) | 137 (8) |
| T | 78 (10.5) | 134 (20) | 98 (26) | |
| S | 147 (6.2) | 150 (20) | 124 (9.2) | |
| Lag screw (10 mm) | L | 159 (10.1) | 182 (20.8) | 111 (19.3) |
| T | 89 (32.5) | 161 (23.3) | 119 (37.7) | |
| S | 172 (24.7) | 172 (29.2) | 141 (18.5) | |
| Source | Type III Sum of Squares | df | Mean Square | F | Sig. |
|---|---|---|---|---|---|
| CLT types | 21,815.903 | 2 | 10,907.951 | 45.480 | 0.000 ** |
| Fastener types | 965,774.335 | 8 | 120,721.792 | 503.337 | 0.000 ** |
| Loading directions | 30,160.979 | 2 | 15,080.490 | 62.877 | 0.000 ** |
| CLT types * Fastener types | 22,264.690 | 16 | 1391.543 | 5.802 | 0.000 ** |
| CLT types * Loading directions | 5502.278 | 4 | 1375.569 | 5.735 | 0.000 ** |
| Fastener types * Loading directions | 41,220.657 | 16 | 2576.291 | 10.742 | 0.000 ** |
| CLT types * Fastener types * Loading directions | 43,430.328 | 32 | 1357.198 | 5.659 | 0.000 ** |
Publisher’s Note: MDPI stays neutral with regard to jurisdictional claims in published maps and institutional affiliations. |
© 2022 by the authors. Licensee MDPI, Basel, Switzerland. This article is an open access article distributed under the terms and conditions of the Creative Commons Attribution (CC BY) license (https://creativecommons.org/licenses/by/4.0/).
Share and Cite
Abdoli, F.; Rashidi, M.; Rostampour-Haftkhani, A.; Layeghi, M.; Ebrahimi, G. Withdrawal Performance of Nails and Screws in Cross-Laminated Timber (CLT) Made of Poplar (Populus alba) and Fir (Abies alba). Polymers 2022, 14, 3129. https://doi.org/10.3390/polym14153129
Abdoli F, Rashidi M, Rostampour-Haftkhani A, Layeghi M, Ebrahimi G. Withdrawal Performance of Nails and Screws in Cross-Laminated Timber (CLT) Made of Poplar (Populus alba) and Fir (Abies alba). Polymers. 2022; 14(15):3129. https://doi.org/10.3390/polym14153129
Chicago/Turabian StyleAbdoli, Farshid, Maria Rashidi, Akbar Rostampour-Haftkhani, Mohammad Layeghi, and Ghanbar Ebrahimi. 2022. "Withdrawal Performance of Nails and Screws in Cross-Laminated Timber (CLT) Made of Poplar (Populus alba) and Fir (Abies alba)" Polymers 14, no. 15: 3129. https://doi.org/10.3390/polym14153129
APA StyleAbdoli, F., Rashidi, M., Rostampour-Haftkhani, A., Layeghi, M., & Ebrahimi, G. (2022). Withdrawal Performance of Nails and Screws in Cross-Laminated Timber (CLT) Made of Poplar (Populus alba) and Fir (Abies alba). Polymers, 14(15), 3129. https://doi.org/10.3390/polym14153129










