An Investigation into the Adsorption Mechanism of Organic Anions on a New Spandex
Abstract
:1. Introduction
2. Experimental
2.1. Materials
2.2. Color Depth Measurement for Dyed Spandex
2.3. Thermogravimetric Analysis
2.4. Fourier Transform-Infrared Spectroscopy
2.5. H NMR Test
2.6. Determination of Adsorption Capacity
2.6.1. Experiments of Adsorption
2.6.2. Experiments of Adsorption Kinetics and Thermodynamics
Calculation of Equilibrium Adsorption Capacity, Half Dyeing Time and Rate Constant
The Quasi-First-Order Kinetic Model
The Second-Order Kinetic Model
Thermodynamics of Adsorption
3. Results and Discussion
3.1. Dyeing Properties of Dyeable Spandex
3.2. Analysis of Spandex Chemical Structure
3.2.1. Thermogravimetric Analysis
3.2.2. Fourier Transform-Infrared Spectroscopy
3.2.3. H NMR Analysis
3.3. Study of Dyeing Thermodynamics and Kinetics of Dyeable Spandex
3.3.1. The Standard Working Curve of Neutral Red G
3.3.2. Dyeing Kinetics of Spandex Fibers Dyed with Neutral Red G
Dyeing Rate Curve
Calculation of Equilibrium Adsorption Capacity, Time of Half Dyeing, and Rate Constant and Kinetic Model
Calculation of Diffusion Coefficient
3.3.3. Dyeing Thermodynamics of Spandex Fiber Dyed with Neutral Red G
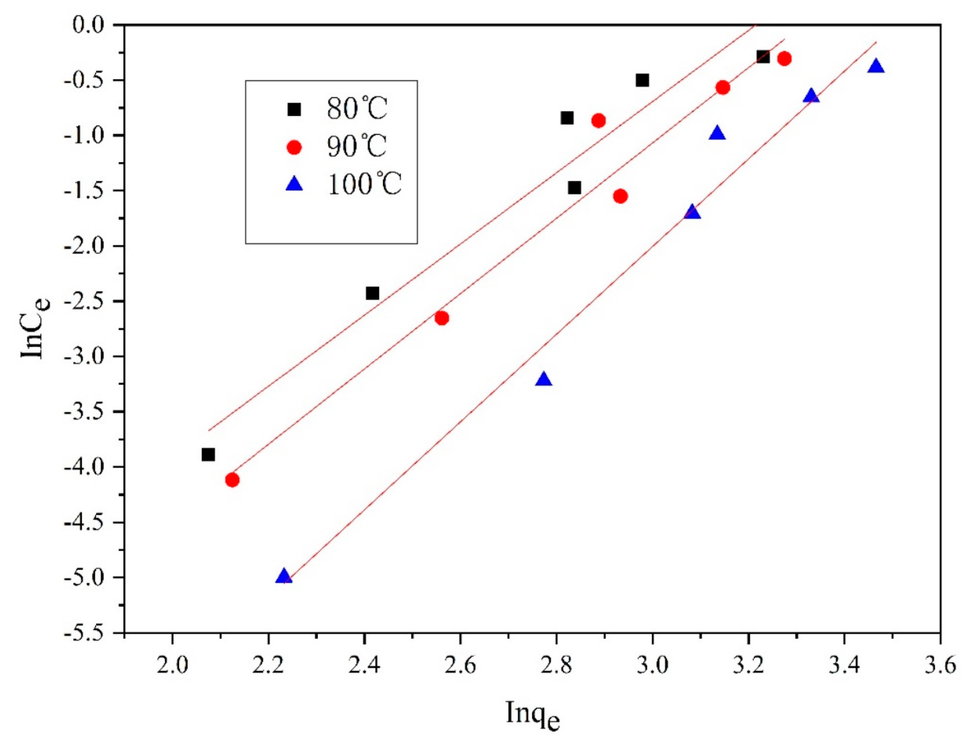
Adsorption Isotherms
Thermodynamic Model and Calculation of Related Parameters
4. Conclusions
Author Contributions
Funding
Institutional Review Board Statement
Informed Consent Statement
Data Availability Statement
Conflicts of Interest
References
- Wang, W.Y.; Yim, S.L.; Wong, C.H.; Kan, C.W. Study on the Development of Antiviral Spandex Fabric Coated with Poly(Hexamethylene Biguanide) Hydrochloride (PHMB). Polymers 2021, 13, 2122. [Google Scholar] [CrossRef]
- Jiang, Y.; Zheng, A.; Guan, Y.; Wei, D.; Xu, X.; Gong, W. Gene Reconstruction Spandex with Intrinsic Antimicrobial Activity. Chem. Eng. J. 2020, 404, 125152. [Google Scholar] [CrossRef]
- Gong, M.; Yue, L.; Kong, J.; Lin, X.; Zhang, L.; Wang, J.; Wang, D. Knittable and Sewable Spandex Yarn with Nacre-Mimetic Composite Coating for Wearable Health Monitoring and Thermo- and Antibacterial Therapies. ACS Appl. Mater. Interfaces 2021, 13, 9053–9063. [Google Scholar] [CrossRef] [PubMed]
- Lv, J.; Liu, Z.; Zhang, L.; Li, K.; Zhang, S.; Xu, H.; Mao, Z.; Zhang, H.; Chen, J.; Pan, G. Multifunctional Polypyrrole and Rose-like Silver Flower-decorated E-Textile with Outstanding Pressure/Strain Sensing and Energy Storage Performance. Chem. Eng. J. 2021, 427, 130823. [Google Scholar] [CrossRef]
- Bi, S.; Hou, L.; Dong, W.; Lu, Y. Multifunctional and Ultrasensitive-Reduced Graphene Oxide and Pen Ink/Polyvinyl Alcohol-Decorated Modal/Spandex Fabric for High-Performance Wearable Sensors. ACS Appl. Mater. Interfaces 2021, 13, 2100–2109. [Google Scholar] [CrossRef] [PubMed]
- Zhang, G.; Yin, T.; Nian, G.; Suo, Z. Fatigue-resistant polyurethane elastomer composites. Polyurethane Industry. Extrem. Mech. Lett. 2021, 48, 101434. [Google Scholar] [CrossRef]
- Zhang, R.G.; Feng, P.; Yang, C.C. A study on the unwinding tension control of an elastic yarn. Text. Res. J. 2022, 00405175221106229. [Google Scholar] [CrossRef]
- Han, X.X.; Miao, X.H.; Chen, X.; Niu, L.; Wan, A. Effect of Elasticity on Electrical Properties of Weft-Knitted Conductive Fabrics. Fibers Text. East. Eur. 2021, 29, 47–52. [Google Scholar] [CrossRef]
- Gao, P.; Shen, X.X.; Fang, W.; Gu, T.; Wen, T.; Zhao, M. Solutions to Grin Defects of the Spandex Knitted Fabric. Knitt. Ind. 2021, 3, 55–57. [Google Scholar]
- Song, F.; Chen, Y.; He, F.Y.; Wang, H.P. Preparation of graphene/carbon nanotube coating conductive spandex and study on its performance. China Synth. Fiber Ind. 2020, 43, 1–5. [Google Scholar]
- Hughes-Riley, T.; Dias, T.; Cork, C. Historical review of the development of electronic textiles. Fibers 2018, 6, 34. [Google Scholar] [CrossRef] [Green Version]
- Lei, D.; Zhang, H.; Liu, N.; Zhang, Q.; Su, T.; Wang, L.; Ren, Z.; Zhang, Z.; Su, J.; Gao, Y. Tensible and flexible high-sensitive spandex fiber strain sensor enhanced by carbon nanotubes/Ag nanoparticles. Nanotechnology 2021, 32, 505509. [Google Scholar] [CrossRef] [PubMed]
- Song, X.; Liu, X.; Peng, Y.; Xu, Z.; Liu, W.; Pang, K.; Wang, J.; Zhong, L.; Yang, Q.; Meng, J. A graphene-coated silk-spandex fabric strain sensor for human movement monitoring and recognition. Nanotechnology 2021, 32, 215501. [Google Scholar] [CrossRef]
- Zeng, Z.; Hao, B.; Li, D.; Cheng, D.; Cai, G.; Wang, X. Large-scale production of weavable, dyeable and durable spandex/CNT/cotton core-sheath yarn for wearable strain sensors. Compos. Part A Appl. Sci. Manuf. 2021, 149, 106520. [Google Scholar] [CrossRef]
- Xie, C.; Wang, Y.; Yin, G.; Qu, Z.; Wang, W.; Yu, D. Carbon nanotubes chemical bonding with cotton/spandex blended fabric via thiol-epoxy click chemistry for durable electromagnetic interference shielding. Prog. Org. Coat. 2021, 161, 106473. [Google Scholar] [CrossRef]
- Zhang, W.; Guo, Q.; Duan, Y.; Xing, C.; Peng, Z. A Textile Proximity/Pressure Dual-Mode Sensor Based on Magneto-Straining and Piezoresistive Effects. IEEE Sens. J. 2022, 22, 10420–10427. [Google Scholar] [CrossRef]
- Foroughi, J.; Spinks, G.M.; Aziz, S.; Mirabedini, A.; Jeiranikhameneh, A.; Wallace, G.G.; Kozlov, M.E.; Baughman, R.H. Knitted carbon-nanotube-sheath/spandex-core elastomeric yarns for artificial muscles and strain sensing. ACS Nano 2016, 10, 9129–9135. [Google Scholar] [CrossRef]
- Verma, S.; Dhangar, M.; Paul, S.; Chaturvedi, K.; Khan, M.A.; Srivastava, A.K. Recent Advances for Fabricating Smart Electromagnetic Interference Shielding Textile: A Comprehensive Review. Electron. Mater. Lett. 2022, 18, 331–344. [Google Scholar] [CrossRef]
- Landin-Sandoval, V.J.; Mendoza-Castillo, D.I.; Seliem, M.K.; Mobarak, M.; Villanueva-Mejia, F.; Bonilla-Petriciolet, A.; Navarro-Santos, P.; Reynel-Ávila, H.E. Physicochemical analysis of multilayer adsorption mechanism of anionic dyes on lignocellulosic biomasses via statistical physics and density functional theory. J. Mol. Liq. 2020, 322, 114511. [Google Scholar] [CrossRef]
- Perry, J.M.; Kanasaki, Y.N.; Karadakov, P.B.; Shimizu, S. Mechanism of dye solubilization and de-aggregation by urea. Dye. Pigment. 2021, 193, 109530. [Google Scholar] [CrossRef]
- Tang, P.; Lockett, L.M.E.; Zhang, M.; Sun, G. Modification of cotton fabrics with 2-diethylaminoethyl chloride for salt-free dyeing with anionic dyes. Cellulose 2021, 28, 6699–6712. [Google Scholar] [CrossRef]
- Silva, A.B.; Silva, M.G.; Arroyo, P.A.; Barros, M.A. Dyeing mechanism of wool and silk with extract of Allium cepa. Chem. Eng. Trans. 2013, 32, 715–720. [Google Scholar]
- Patra, C.; Suganya, E.; Sivaprakasam, S.; Krishnamoorthy, G.; Narayanasamy, S. A detailed insight on fabricated porous chitosan in eliminating synthetic anionic dyes from single and multi-adsorptive systems with related studies. Chemosphere 2021, 281, 130706. [Google Scholar] [CrossRef]
- Ma, L.L.; Zhao, H. Application of NMR in structure characterization of polyether polyols. Polyurethane Ind. 2017, 32, 69–71. [Google Scholar]
- Qing, S.A.; Dong, M.X.; Xin, L.F.; Yuan, K.L.; Zhong, W.W.; Hong, C. Analysis on Formula raw materials and their proportions of polyurethane elastomer by IR and 1 H-NMR. Plast. Sci. Technol. 2016, 44, 39–43. [Google Scholar]
- Shen, J.J.; Gao, P.; Ma, H. The effect of tris(2-carboxyethyl) phosphine on the dyeing of wool fabric with natural dyes. Dye. Pigment. 2014, 108, 70–75. [Google Scholar] [CrossRef]
- Huang, L.X.; Wang, X.R. Dyeing performances of nylon fabric with madder pigment. Print. Dye. 2021, 47, 30–34. [Google Scholar]
- Chai, L.Q.; Shan, J.Z.; Zhou, L.; Xu, M.; Zhang, Y.G. Dyeing kinetics of Gardenia Yellow on cotton. J. Text. Res. 2010, 9, 56–60. [Google Scholar]

















| Pseudo–First-Order Kinetic | Pseudo–Second-Order Kinetic | Time of Adsorption Dyeing t1/2/min | |||||
|---|---|---|---|---|---|---|---|
| k1/min−1 | qe/mg × g−1 | R2 | k2K2 g/mg × min | qe/mg × g−1 | R2 | ||
| Dyeable spandex | 0.4052 | 19.5007 | 0.8481 | 0.1497 | 19.5007 | 0.9998 | 0.3424 |
| Ordinary spandex | 0.0266 | 10.9745 | 0.9645 | 0.0043 | 10.9745 | 0.9689 | 20.2853 |
| Samples | qe/mg × g−1 | Dyestuff |
|---|---|---|
| Dyeable spandex | 19.50078 | Neutral red G |
| Ordinary spandex | 10.9745 | Neutral red G |
| Wool fiber [26] | 24.08 | Gardenia yellow |
| Nylon 6 [27] | 15.6006 | Madder |
| Cotton [28] | 18.85 | Gardenia yellow |
| Type of Spandex | Dyeable Spandex | Ordinary Spandex |
|---|---|---|
| Diffusion coefficient D/10−10 | 9.06336 | 0.153 |
| Type of Spandex and Temperature | Langmuir Mode | Freundlich Mode | |||||
|---|---|---|---|---|---|---|---|
| Qf | b | R2 | Qf | n | R2 | ||
| (g/kg Spandex) | (g/L)−1 | (g/kg Spandex) | |||||
| Dyeable spandex | 80 °C | 110.65813 | 75.01575 | 0.99217 | 1.00908 | 3.22252 | 0.93426 |
| 90 °C | 99.23536 | 159.1314 | 0.95485 | 1.01013 | 3.41012 | 0.94745 | |
| 100 °C | 121.26476 | 91.65565 | 0.98768 | 1.00828 | 3.96926 | 0.96991 | |
| Ordinary spandex | 80 °C | 20.25685 | 27.2557 | 0.84311 | 1.0506 | 3.30582 | 0.94147 |
| 90 °C | 22.07199 | 33.92804 | 0.90125 | 1.04635 | 4.32015 | 0.9974 | |
| 100 °C | 25.6401 | 78.26255 | 0.92051 | 1.03977 | 2.67926 | 0.99896 | |
| Type of Spandex and Temperature | B/(g/L)−1 | −△G°/KJ | △H°/KJ | △S°/J × K−1 | |
|---|---|---|---|---|---|
| Dyeable spandex | 80 °C | 75.01575 | 12.67715 | 10.97467 | 0.004820831 |
| 90 °C | 159.1314 | 15.30668 | 0.011928975 | ||
| 100 °C | 91.65565 | 14.01662 | 0.008152093 | ||
| Ordinary spandex | 80 °C | 27.2557 | 9.70455 | 57.78239 | −0.136140009 |
| 90 °C | 33.92804 | 10.64049 | −0.129813842 | ||
| 100 °C | 78.26255 | 13.52654 | −0.118600686 | ||
Publisher’s Note: MDPI stays neutral with regard to jurisdictional claims in published maps and institutional affiliations. |
© 2022 by the authors. Licensee MDPI, Basel, Switzerland. This article is an open access article distributed under the terms and conditions of the Creative Commons Attribution (CC BY) license (https://creativecommons.org/licenses/by/4.0/).
Share and Cite
Shen, X.; Gao, P.; Jin, T.; Ding, Y.; Bao, C. An Investigation into the Adsorption Mechanism of Organic Anions on a New Spandex. Polymers 2022, 14, 3108. https://doi.org/10.3390/polym14153108
Shen X, Gao P, Jin T, Ding Y, Bao C. An Investigation into the Adsorption Mechanism of Organic Anions on a New Spandex. Polymers. 2022; 14(15):3108. https://doi.org/10.3390/polym14153108
Chicago/Turabian StyleShen, Xiaoxing, Pu Gao, Tingting Jin, Yi Ding, and Chaoyan Bao. 2022. "An Investigation into the Adsorption Mechanism of Organic Anions on a New Spandex" Polymers 14, no. 15: 3108. https://doi.org/10.3390/polym14153108
APA StyleShen, X., Gao, P., Jin, T., Ding, Y., & Bao, C. (2022). An Investigation into the Adsorption Mechanism of Organic Anions on a New Spandex. Polymers, 14(15), 3108. https://doi.org/10.3390/polym14153108
