Hydrothermal Aging Mechanisms of All-Steel Radial Tire Composites
Abstract
1. Introduction
2. Materials and Methods
2.1. Materials
2.2. Hydrothermal Aging Experiment
2.3. Water Absorption Test
2.4. Scanning Electron Microscopy (SEM) Analysis
2.5. 1H-Nuclear Magnetic Resonance (NMR) Cross-Linking Density Analysis
2.6. Fourier Transform Infrared Spectroscopy (FTIR) Analysis
2.7. Differential Scanning Calorimetry (DSC) Analysis
2.8. Mechanical Properties Measurement
3. Results and Discussion
3.1. Water Absorption
3.2. Cross-Linking Density Analysis
3.3. Differential Scanning Calorimetry Analysis (DSC)
3.4. Mechanical Properties
3.4.1. Tensile Properties of Rubber Matrix
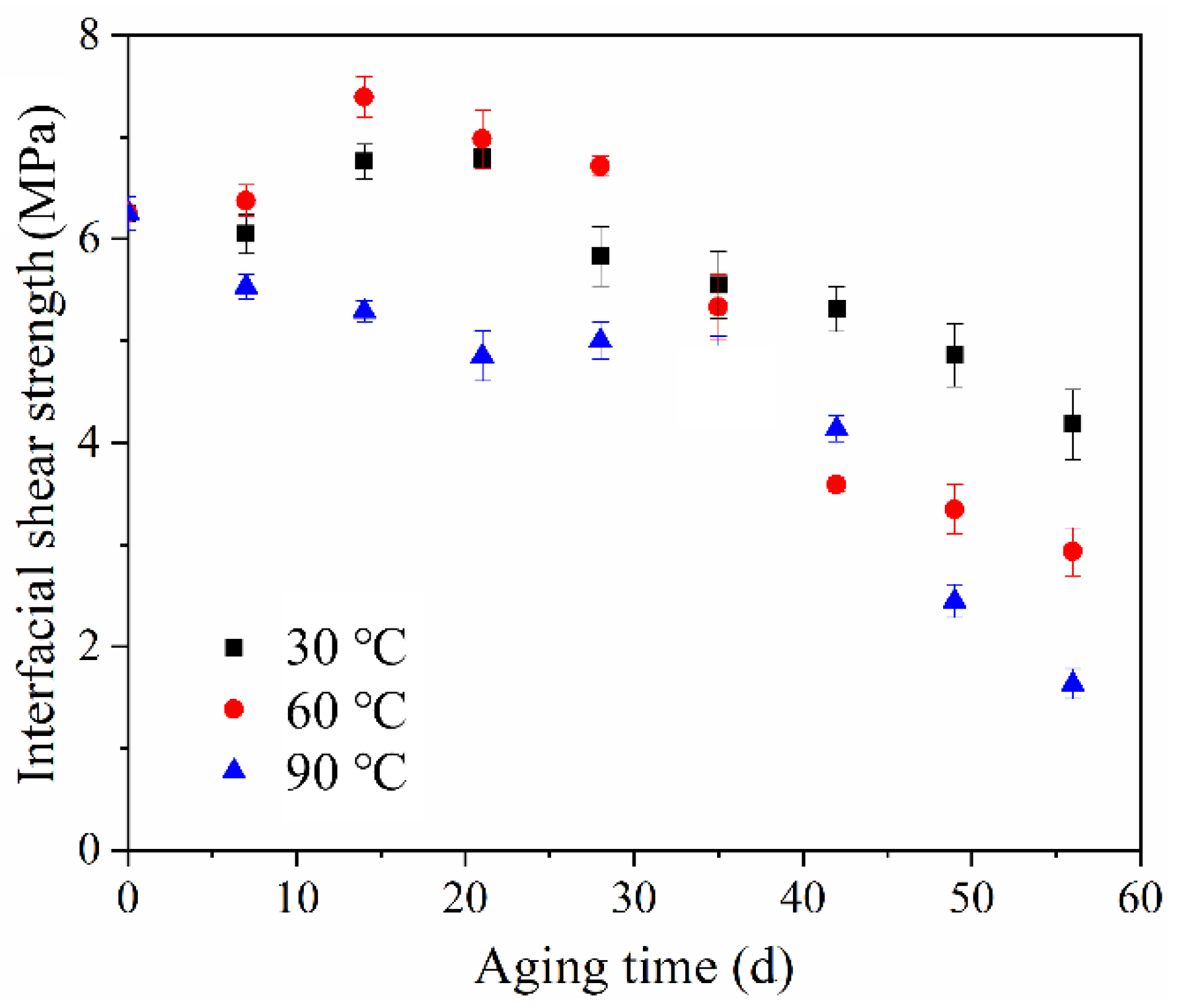
3.4.2. Interfacial Properties of ASRT Composites
3.5. Hydrothermal Aging Mechanisms of ASRT Composite
4. Conclusions
Author Contributions
Funding
Institutional Review Board Statement
Informed Consent Statement
Data Availability Statement
Acknowledgments
Conflicts of Interest
References
- Soltani, A.; Goodarzi, A.; Shojaeefard, M.H.; Saeedi, K. Optimizing Tire Vertical Stiffness Based on Ride, Handling, Performance, and Fuel Consumption Criteria. J. Dyn. Syst. Meas. Control 2015, 137, 121004. [Google Scholar] [CrossRef]
- Sun, P.F.; Huang, H.W.; Zhou, S.T.; Chiu, Y.J.; Du, M. Experiment and Analysis of Cord Stress on High-Speed Radial Tire Standing Waves. Shock Vib. 2019, 2019, 3607670. [Google Scholar] [CrossRef]
- Wang, H.; Al-Qadi, I.L.; Stanciulescu, I. Effect of Surface Friction on Tire–Pavement Contact Stresses during Vehicle Maneuvering. J. Eng. Mech. 2014, 140, 04014001. [Google Scholar] [CrossRef]
- Liu, Z.H.; Liu, Y.X.; Gao, Q.H. In-plane flexible ring modeling and a nonlinear stiffness solution for heavy-load radial tires. Mech. Syst. Signal Process. 2022, 171, 108956. [Google Scholar] [CrossRef]
- Liu, Z.H.; Gao, Q.H. Development and parameter identification of the flexible beam on elastic continuous tire model for a heavy-loaded radial tire. J. Vib. Control 2018, 24, 5233–5248. [Google Scholar] [CrossRef]
- Peng, X.Q.; Guo, G.D.; Zhao, N. An anisotropic hyperelastic constitutive model with shear interaction for cord–rubber composites. Compos. Sci. Technol. 2013, 78, 69–74. [Google Scholar] [CrossRef]
- Kömmling, A.; Jaunich, M.; Goral, M.; Wolff, D. Insights for lifetime predictions of O-ring seals from five-year long-term aging tests. Polym. Degrad. Stabil. 2020, 179, 109278. [Google Scholar] [CrossRef]
- Liu, Q.B.; Shi, W.K.; Chen, Z.Y.; Li, K.H.; Liu, H.L.; Li, S. Rubber accelerated ageing life prediction by Peck model considering initial hardness influence. Polym. Test. 2019, 80, 106132. [Google Scholar] [CrossRef]
- Wang, X.L.; Yang, K.; Zhang, P. Evaluation of the aging coefficient and the aging lifetime of carbon black-filled styrene-isoprene-butadiene rubber after thermal-oxidative aging. Compos. Sci. Technol. 2022, 220, 109258. [Google Scholar] [CrossRef]
- Shuhaimi, N.H.H.; Ishak, N.S.; Othman, N.; Ismail, H.; Sasidharan, S. Effect of different types of vulcanization systems on the mechanical properties of natural rubber vulcanizates in the presence of oil palm leaves-based antioxidant. J. Elastom. Plast. 2013, 46, 747–764. [Google Scholar] [CrossRef]
- Du, S.Y.; Zhang, Y.; Meng, M.J.; Tang, A.; Li, Y. The role of water transport in the failure of silicone rubber coating for implantable electronic devices. Prog. Org. Coat. 2021, 159, 106419. [Google Scholar] [CrossRef]
- Behnke, R.; Kaliske, M. Numerical modeling of thermal aging in steady state rolling tires. Int. J. Nonlinear Mech. 2018, 103, 145–153. [Google Scholar] [CrossRef]
- Luo, R.K.; Mortel, W.J.; Wu, X.P. Investigation on rubber failure due to heat generation under dynamic loading. Proc. Inst. Mech. Eng. L-J. Mater. 2013, 229, 77–87. [Google Scholar] [CrossRef]
- Wang, X.L.; Pan, H.W.; Yang, K.; Zhang, P. Cracking, structural, and mechanical property changes of SIBR and related elastomers during the ozone aging process. Polym. Degrad. Stabil. 2022, 195, 109774. [Google Scholar] [CrossRef]
- Zheng, T.T.; Zheng, X.Q.; Zhan, S.Q.; Zhou, J.; Liao, S.Q. Study on the ozone aging mechanism of Natural Rubber. Polym. Degrad. Stabil. 2021, 186, 109514. [Google Scholar] [CrossRef]
- Manaila, E.; Craciun, G.; Ighigeanu, D. Water Absorption Kinetics in Natural Rubber Composites Reinforced with Natural Fibers Processed by Electron Beam Irradiation. Polymers 2020, 12, 2437. [Google Scholar] [CrossRef] [PubMed]
- Zhang, Z.; Zhang, Y.X.; Li, J.Y.; Hassan, A.A.; Wang, S.F. Accelerated liquefaction of vulcanized natural rubber by thermo-oxidative degradation. Polym. Bull. 2021, 79, 1767–1786. [Google Scholar] [CrossRef]
- Su, B.L.; Liu, S.Y.; Zhang, P.; Wu, J.; Wang, Y.S. Mechanical properties and failure mechanism of overlap structure for cord-rubber composite. Compos. Struct. 2021, 274, 114350. [Google Scholar] [CrossRef]
- Kane, K.; Jumel, J.; Lallet, F.; Mbiakop-Ngassa, A.; Vacherand, J.M.; Shanahan, M.E.R. Experimental study of the rubber cord adhesion inflation test. Eng. Fract. Mech. 2020, 224, 106783. [Google Scholar] [CrossRef]
- Ozawa, K.; Kakubo, T.; Shimizu, K.; Amino, N.; Mase, K.; Izumi, Y.; Muro, T.; Komatsu, T. High-resolution photoelectron spectroscopy study of degradation of rubber-to-brass adhesion by thermal aging. Appl. Surf. Sci. 2013, 268, 117–123. [Google Scholar] [CrossRef][Green Version]
- Jeon, S.G. On characterizing microscopically the adhesion interphase for the adhesion between metal and rubber compound Part II. Effect of copper content for brass-plated steel cord. J. Adhes. Sci. Technol. 2014, 28, 1808–1822. [Google Scholar] [CrossRef]
- Jiang, N.; Yu, T.; Li, Y. Effect of Hydrothermal Aging on Injection Molded Short Jute Fiber Reinforced Poly (Lactic Acid) (PLA) Composites. J. Polym. Environ. 2018, 26, 3176–3186. [Google Scholar] [CrossRef]
- Jiang, N.; Li, M.D.; Li, D.; Li, Y.K.; Zhang, R.; Song, H.; Liu, X.; Ge, W.; Li, N.; Chen, C. Hygrothermal aging and water absorption behavior of radial tire composites. J. Appl. Polym. Sci. 2021, 139, 51849. [Google Scholar] [CrossRef]
- Hassan, A.A.; Zhang, Z.; Formela, K.; Wang, S. Thermo-oxidative exfoliation of carbon black from ground tire rubber as potential reinforcement in green tires. Compos. Sci. Technol. 2021, 214, 108991. [Google Scholar] [CrossRef]
- Rezig, N.; Bellahcene, T.; Aberkane, M.; Abdelaziz, M.N. Thermo-oxidative ageing of a SBR rubber, effects on mechanical and chemical properties. J. Polym. Res. 2020, 27, 339. [Google Scholar] [CrossRef]
- Lan, W.; Xing, Y.; Chang, C. Microscopic and Dynamic Rheological Characteristics of Crumb Rubber Modified Asphalt. J. Wuhan Univ. Technol. 2010, 25, 1022–1026. [Google Scholar]
- Narathichat, M.; Sahakaro, K.; Nakason, C. Assessment degradation of natural rubber by moving die processability test and FTIR spectroscopy. J. Appl. Polym. Sci. 2010, 115, 1702–1709. [Google Scholar] [CrossRef]
- Xiang, K.; Wang, X.A.; Huang, G.S.; Zheng, J.; Huang, J.Y.; Li, G.X. Thermal ageing behavior of styrene–butadiene random copolymer: A study on the ageing mechanism and relaxation properties. Polym. Degrad. Stabil. 2012, 97, 1704–1715. [Google Scholar] [CrossRef]
- Barrera-Garcia, V.D.; Chassagne, D.; Paulin, C.; Raya, J.; Hirschinger, J.; Voilley, A.; Bellat, J.-P.; Gougeon, R.D. Interaction Mechanisms between guaiacols and lignin: The conjugated double bond makes the difference. Langmuir 2011, 27, 1038–1043. [Google Scholar] [CrossRef]
- Wu, L.; Zhu, S.S. Quantitative Study on Tire Aging Based on Characteristic Peak Fitting Method. China Rubber Ind. 2017, 64, 498–502. [Google Scholar]
- Jiang, N.; Yu, T.; Li, Y.; Pirzada, T.J.; Marrow, T.J. Hygrothermal aging and structural damage of a jute/poly (lactic acid) (PLA) composite observed by X-ray tomography. Compos. Sci. Technol. 2019, 173, 15–23. [Google Scholar] [CrossRef]
- Scida, D.; Assarar, M.; Poilâne, C.; Ayad, R. Influence of hygrothermal ageing on the damage mechanisms of flax-fibre reinforced epoxy composite. Compos. Part B-Eng. 2013, 48, 51–58. [Google Scholar] [CrossRef]
- Jiang, N.; Li, Y.; Li, Y.; Yu, T.; Shi, Y. Effect of short jute fibers on the hydrolytic degradation behavior of poly (lactic acid). Polym. Degrad. Stabil. 2020, 178, 109214. [Google Scholar] [CrossRef]
- Saijun, D.; Nakason, C.; Kaesaman, A.; Klinpituksa, P. Water absorption and mechanical properties of water-swellable natural rubber. J. Sci. Technol. 2009, 31, 561. [Google Scholar]
- Li, L.; Xiao, P.G.; Liu, X.D. Effect of Thermal Aging and Moisture Aging on the Adhesive Properties of Rubber and Steel Cord. Spec. Purp. Rubber Prod. 2016, 37, 22–26. [Google Scholar]
- Baert, K.; Breugelmans, T.; Buytaert, G.; Brabant, J.V.; Hubin, A. The combination of surface enhanced Raman spectroscopy and an ionic liquid as a model system to study the adhesion interface between sulfur and brass. J. Raman. Spectrosc. 2013, 44, 377–381. [Google Scholar] [CrossRef]
- Jeon, G.S. On characterizing microscopically the adhesion interphase for the adhesion between metal and rubber compound part I. Effect of hexamethoxymethylmelamine in rubber compound. J. Adhes. Sci. Technol. 2013, 27, 1666–1680. [Google Scholar] [CrossRef]













| Components | Content (%) |
|---|---|
| Nature rubber | 54.69 |
| Carbon black N326 | 32.54 |
| zinc oxide | 4.38 |
| Antioxidant 4020 | 1.09 |
| Adhesion agent SP1068 | 1.27 |
| Vulcanizing agent | 3.42 |
| Temperature (°C) | Aging Time (d) | |||
|---|---|---|---|---|
| 0 | 21 | 49 | 84 | |
| 30 | −54.4 | −54.3 | −53.7 | −52.8 |
| 60 | −54.4 | −53.5 | −51.8 | −53.9 |
| 90 | −54.4 | −54 | −54.3 | −56.7 |
Publisher’s Note: MDPI stays neutral with regard to jurisdictional claims in published maps and institutional affiliations. |
© 2022 by the authors. Licensee MDPI, Basel, Switzerland. This article is an open access article distributed under the terms and conditions of the Creative Commons Attribution (CC BY) license (https://creativecommons.org/licenses/by/4.0/).
Share and Cite
Jiang, N.; Zhang, R.; Li, Y.; Li, N.; Dong, L.; Chen, C.; Tan, C. Hydrothermal Aging Mechanisms of All-Steel Radial Tire Composites. Polymers 2022, 14, 3098. https://doi.org/10.3390/polym14153098
Jiang N, Zhang R, Li Y, Li N, Dong L, Chen C, Tan C. Hydrothermal Aging Mechanisms of All-Steel Radial Tire Composites. Polymers. 2022; 14(15):3098. https://doi.org/10.3390/polym14153098
Chicago/Turabian StyleJiang, Ning, Ru Zhang, Yuankun Li, Ning Li, Lingbo Dong, Chaozhong Chen, and Cao Tan. 2022. "Hydrothermal Aging Mechanisms of All-Steel Radial Tire Composites" Polymers 14, no. 15: 3098. https://doi.org/10.3390/polym14153098
APA StyleJiang, N., Zhang, R., Li, Y., Li, N., Dong, L., Chen, C., & Tan, C. (2022). Hydrothermal Aging Mechanisms of All-Steel Radial Tire Composites. Polymers, 14(15), 3098. https://doi.org/10.3390/polym14153098
