Numerical Simulation and Experimental Study the Effects of Process Parameters on Filament Morphology and Mechanical Properties of FDM 3D Printed PLA/GNPs Nanocomposite
Abstract
:1. Introduction
2. Materials and Methods
2.1. Preparation of PLA/GNPs Nanocomposite
2.2. Physical and Numerical Models
2.3. Principle of the Numerical Algorithm
3. Results and Discussions
3.1. Simulation Results and Analysis
3.1.1. The Temperature Field and the Viscosity Field
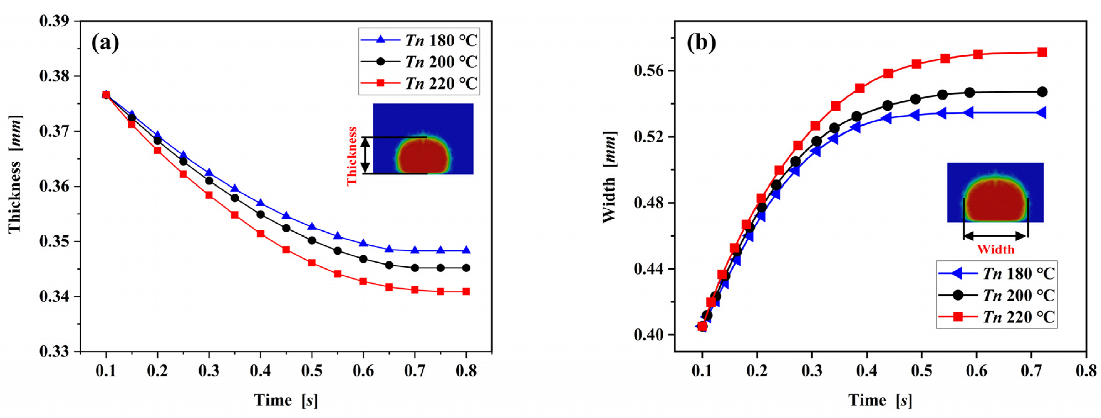
3.1.2. Evolution of the Cross-Section Morphology of the Deposited Filament
3.2. Experimental Validation
3.2.1. Validation of the Influence of Printing Parameters on the Morphology and Dimension of the Deposited Filament
3.2.2. Effect of Printing Parameters on the Mechanical Property of the Printed PLA/GNPs Nanocomposite
4. Conclusions
Author Contributions
Funding
Acknowledgments
Conflicts of Interest
References
- Rahim, T.N.A.T.; Abdullah, A.M.; Md Akil, H. Recent developments in fused deposition modeling-based 3D printing of polymers and their composites. Polym. Rev. 2019, 59, 589–624. [Google Scholar] [CrossRef]
- Qattawi, A. Investigating the effect of fused deposition modeling processing parameters using Taguchi design of experiment method. J. Manuf. Processes 2018, 36, 164–174. [Google Scholar]
- Awasthi, P.; Banerjee, S.S. Fused deposition modeling of thermoplastic elastomeric materials: Challenges and opportunities. Addit. Manuf. 2021, 46, 102177. [Google Scholar] [CrossRef]
- Vyavahare, S.; Teraiya, S.; Panghal, D.; Kumar, S. Fused deposition modelling: A review. Rapid Prototyp. J. 2019, 26, 176–201. [Google Scholar] [CrossRef]
- Wong, K.V.; Hernandez, A. A review of additive manufacturing. Int. Sch. Res. Not. 2012, 2012, 30–38. [Google Scholar] [CrossRef] [Green Version]
- Thiam, B.G.; El Magri, A.; Vanaei, H.R.; Vaudreuil, S. 3D Printed and Conventional Membranes—A Review. Polymers 2022, 14, 1023. [Google Scholar] [CrossRef]
- Sathies, T.; Senthil, P.; Anoop, M.S. A review on advancements in applications of fused deposition modelling process. Rapid Prototyp. J. 2020, 26, 669–687. [Google Scholar]
- Lee, J.Y.; An, J.; Chua, C.K. Fundamentals and applications of 3D printing for novel materials. Appl. Mater. Today 2017, 7, 120–133. [Google Scholar] [CrossRef]
- Goh, G.D.; Agarwala, S.; Goh, G.L.; Dikshit, V.; Sing, S.L.; Yeong, W.Y. Additive manufacturing in unmanned aerial vehicles (UAVs): Challenges and potential. Aerosp. Sci. Technol. 2017, 63, 140–151. [Google Scholar] [CrossRef]
- Chen, G.; Chen, N.; Wang, Q. Fabrication and properties of poly(vinyl alcohol)/b-tricalcium phosphate composite scaffolds via fused deposition modeling for bone tissue engineering. Compos. Sci. Technol. 2019, 172, 17–28. [Google Scholar] [CrossRef]
- Hwang, S.; Reyes, E.I.; Moon, K.S.; Rumpf, R.C.; Kim, N.S. Thermo-mechanical Characterization of Metal/Polymer Composite Filaments and Printing Parameter Study for Fused Deposition Modeling in the 3D Printing Process. J. Electron. Mater. 2015, 44, 771–777. [Google Scholar] [CrossRef]
- Castles, F.; Isakov, D.; Lui, A.; Lei, Q.; Dancer, C.; Wang, Y.; Janurudin, J.; Speller, S.; Grovenor, C.; Grant, P.S. Microwave dielectric characterisation of 3D-printed BaTiO3/ABS polymer composites. Sci. Rep. 2016, 6, 22714. [Google Scholar] [CrossRef] [Green Version]
- Zhong, W.; Li, F.; Zhang, Z.; Song, L.; Li, Z. Short fiber reinforced composites for fused deposition modeling. Mater. Sci. Eng. A 2001, 301, 125–130. [Google Scholar] [CrossRef]
- Polyzos, E.; Van Hemelrijck, D.; Pyl, L. Numerical modelling of the elastic properties of 3D-printed specimens of thermoplastic matrix reinforced with continuous fibres. Compos. Part B 2021, 211, 108671. [Google Scholar] [CrossRef]
- Shofner, M.; Lozano, K.; Rodríguez-Macías, F.; Barrera, E. Nanofiber-reinforced polymers prepared by fused deposition modeling. J. Appl. Polym. Sci. 2003, 89, 3081–3090. [Google Scholar] [CrossRef]
- Weng, Z.; Wang, J.; Senthil, T.; Wu, L. Mechanical and thermal properties of ABS/montmorillonite nanocomposites for fused deposition modeling 3D printing. Mater. Des. 2016, 102, 276–283. [Google Scholar] [CrossRef]
- Wang, Y.; Lei, M.; Wei, Q.; Wang, Y.; Zhang, J.; Guo, Y.; Saroia, J. 3D printing biocompatible l-Arg/GNPs/PLA nanocomposites with enhanced mechanical property and thermal stability. J. Mater. Sci. 2020, 55, 5064–5078. [Google Scholar] [CrossRef]
- Chacón, J.M.; Caminero, M.A.; García-Plaza, E.; Núnez, P.J. Additive manufacturing of PLA structures using fused deposition modelling: Effect of process parameters on mechanical properties and their optimal selection. Mater. Des. 2017, 124, 143–157. [Google Scholar] [CrossRef]
- Bakır, A.A.; Atik, R.; Özerinç, S. Effect of fused deposition modeling process parameters on the mechanical properties of recycled polyethylene terephthalate parts. J. Appl. Polym. Sci. 2021, 138, 49709. [Google Scholar] [CrossRef]
- Rajpurohit, S.R.; Dave, H.K. Effect of process parameters on tensile strength of FDM printed PLA part. Rapid Prototyp. J. 2018, 24, 1317–1324. [Google Scholar] [CrossRef]
- Kumar, N.; Jain, P.K.; Tandon, P.; Pandey, P.M. The effect of process parameters on tensile behavior of 3D printed flexible parts of ethylene vinyl acetate (EVA). J. Manuf. Processes 2018, 35, 317–326. [Google Scholar] [CrossRef]
- Tang, C.; Liu, J.; Yang, Y.; Liu, Y.; Jiang, S.; Hao, W. Effect of process parameters on mechanical properties of 3D printed PLA lattice structures. Compos. Part C Open Access 2020, 3, 100076. [Google Scholar] [CrossRef]
- Vanaei, H.R.; Raissi, K.; Deligant, M.; Shirinbayan, M.; Fitoussi, J.; Khelladi, S.; Tcharkhtchi, A. Toward the understanding of temperature effect on bonding strength, dimensions and geometry of 3D-printed parts. J. Mater. Sci. 2020, 55, 14677–14689. [Google Scholar] [CrossRef]
- Vanaei, H.; Shirinbayan, M.; Deligant, M. Influence of process parameters on thermal and mechanical properties of polylactic acid fabricated by fused filament fabrication. Polym. Eng. Sci. 2020, 60, 1822–1831. [Google Scholar] [CrossRef]
- Kovan, V.; Altan, G.; Topal, E.S. Effect of layer thickness and print orientation on strength of 3D printed and adhesively bonded single lap joints. J. Mech. Sci. Technol. 2017, 31, 2197–2201. [Google Scholar] [CrossRef]
- Yang, L.; Li, S.; Li, Y.; Yang, M.; Yuan, Q. Experimental investigations for optimizing the extrusion parameters on FDM PLA printed parts. J. Mater. Eng. Perform. 2019, 28, 169–182. [Google Scholar] [CrossRef]
- Boschetto, A.; Giordano, V.; Veniali, F. Modelling micro geometrical profiles in fused deposition process. Int. J. Adv. Manuf. Technol. 2012, 61, 945–956. [Google Scholar] [CrossRef]
- Mohamed, O.A.; Masood, S.H.; Bhowmik, J.L. Optimization of fused deposition modeling process parameters: A review of current research and future prospects. Adv. Manuf. 2015, 3, 42–53. [Google Scholar] [CrossRef]
- Song, K.; Zhang, D.; Yin, J.; Huang, Y. Computational study of extrusion bioprinting with jammed gelatin microgel-based composite ink. Addit. Manuf. 2021, 41, 101963. [Google Scholar] [CrossRef]
- Xu, Y.; Zhang, H.; Šavija, B.; Figueiredo, S.C.; Schlangen, E. Deformation and fracture of 3D printed disordered lattice materials: Experiments and modeling. Mater. Des. 2019, 162, 143–153. [Google Scholar] [CrossRef]
- Bellini, A. Fused Deposition of Ceramics: A Comprehensive Experimental, Analytical and Computational Study of Material Behavior, Fabrication Process and Equipment Design. Ph.D. Thesis, Drexel University, Philadelphia, PA, USA, 2002. [Google Scholar]
- Liu, Q.; Zhang, N.; Wei, W.; Hu, X.; Tan, Y.; Yu, Y.; Deng, Y.; Bi, C.; Zhang, L.; Zhang, H. Assessing the dynamic extrusion-based 3D printing process for power-law fluid using numerical simulation. J. Food Eng. 2020, 275, 109861. [Google Scholar] [CrossRef]
- Gleadall, A.; Ashcroft, I.; Segal, J. VOLCO: A predictive model for 3D printed microarchitecture. Addit. Manuf. 2018, 21, 605–618. [Google Scholar] [CrossRef]
- Thomas, J.P.; Rodríguez, J.F. Modeling the Fracture Strength Between Fused Deposition Extruded Roads. In Proceedings of the 11th Solid Freeform Fabrication Symposium, Austin, TX, USA, 9–11 August 2000; pp. 16–23. [Google Scholar]
- Brenken, B.; Barocio, E.; Favaloro, A.; Kunc, V.; Pipes, R.B. Development and validation of extrusion deposition additive manufacturing process simulations. Addit. Manuf. 2019, 25, 218–226. [Google Scholar] [CrossRef]
- Brenken, B.; Barocio, E.; Favaloro, A.J.; Pipes, B.R. Simulation of semi-crystallinecomposites in the extrusion deposition additive manufacturing process. Sci. Age Exp. 2017, 90–102. [Google Scholar]
- McIlroy, C.; Olmsted, P.D. Disentanglement Effects on Welding Behaviour of Polymer Melts During the Fused-Filament-Fabrication Method for Additive Manufacturing. Polymer 2017, 123, 376–391. [Google Scholar] [CrossRef] [Green Version]
- D’Amico, A.; Peterson, A.M. An adaptable FEA simulation of material extrusion additive manufacturing heat transfer in 3D. Addit. Manuf. 2018, 21, 422–430. [Google Scholar] [CrossRef]
- Xia, H.; Lu, J.; Dabiri, S.; Tryggvason, G. Fully resolved numerical simulations of fused deposition modeling. Part I: Fluid flow. Rapid Protot. J. 2018, 24, 463–476. [Google Scholar] [CrossRef]
- Xia, H.; Lu, J.; Tryggvason, G. Simulations of fused filament fabrication using a front tracking method. Int. J. Heat Mass Transf. 2019, 138, 1310–1319. [Google Scholar] [CrossRef]
- Du, J.; Wei, Z.; Wang, X.; Wang, J.; Chen, Z. An improved fused depositionmodeling process for forming large-size thin-walled parts. J. Mater. Process. Technol. 2016, 234, 332–341. [Google Scholar] [CrossRef]
- Comminal, R.; Serdeczny, M.P.; Pedersen, D.B.; Spangenberg, J. Numerical modeling of the strand deposition flow in extrusion-based additive manufacturing. Addit. Manuf. 2018, 20, 68–76. [Google Scholar] [CrossRef] [Green Version]
- Serdeczny, M.P.; Comminal, R.; Pedersen, D.B.; Spangenberg, J. Numerical simulations of the mesostructure formation in material extrusion additive manufacturing. Addit. Manuf. 2019, 28, 419–429. [Google Scholar] [CrossRef]
- Shi, S.; Peng, Z.; Jing, J.; Yang, L.; Chen, Y. 3D Printing of Delicately Controllable Cellular Nanocomposites Based on Polylactic Acid Incorporating Graphene/Carbon Nanotube Hybrids for Efficient Electromagnetic Interference Shielding. ACS Sustain. Chem. Eng. 2020, 8, 7962. [Google Scholar] [CrossRef]
- Li, Q.; Niu, H.; Yuan, J. Macroscopic and mesoscopic simulation of viscoelastic free surface flow in gas-assisted injection moulding process. Can. J. Chem. Eng. 2019, 97, 2359–2368. [Google Scholar] [CrossRef]
- Li, Q.; Ouyang, J.; Yang, B.; Li, X. Numerical simulation of gas-assisted injection molding using CLSVOF method. Appl. Math. Model. 2012, 36, 2262–2274. [Google Scholar] [CrossRef]
- Son, G.; Hur, N. A coupled level set and volume-of-fluid method for the buoyancy-driven motion of fluid particles. Numer. Heat Transf. Part B Fundam. 2002, 42, 523–542. [Google Scholar] [CrossRef]
- ASTM D638-14; Standard Test Method for Tensile Properties of Plastics. ASTM International: West Conshohocken, PA, USA, 2014.
- Kaveh, M.; Badrossamay, M.; Foroozmehr, E.; Etefagh, A.H. Optimization of the printing parameters affecting dimensional accuracy and internal cavity for HIPS material used in fused deposition modeling processes. J. Mater. Process. Technol. 2015, 226, 280–286. [Google Scholar] [CrossRef]



















| Parameters | Symbol | Value | Unit |
|---|---|---|---|
| Nozzle velocity | 30, 40, 50 | mm/s | |
| Nozzle temperature | 180, 200, 220 | °C | |
| Air temperature | 25 | °C | |
| Nozzle diameter | D | 0.4 | mm |
| Feed rate (average flux inside nozzle) | 5.024 | ||
| Substrate temperature | 25 | °C | |
| Gap distance | g | 0.4 | mm |
| Parameters | Signal | Value |
|---|---|---|
| Density of PLA/GNPs nanocomposite (kg/m3) | 1300 | |
| Viscosity of PLA/GNPs nanocomposite (Pas, range-function of T) | 20–8000 | |
| Thermal conductivity of nanocomposite (W/mK) | 0.195 | |
| Specific heat capacity of nanocomposite (J/kg K) | 2000 | |
| Surface tension coefficient (kg/s2) | 0.04 | |
| Density of air (kg/m3) | 0.9 | |
| Viscosity of the air (Pa s) | ||
| Thermal conductivity of air (W/mK) | 0.034 | |
| Specific heat capacity of air (J/kgK) | 1000 |
| Parameters | Value |
|---|---|
| Build orientation | Horizontal |
| Raster angle | 45/−45 |
| Infill density | 100% |
| Layer thickness | 0.2 mm |
°C | X-Dimension (mm) | Y-Dimension (mm) | Z-Dimension (mm) | ||||||||||
|---|---|---|---|---|---|---|---|---|---|---|---|---|---|
| X1 | X2 | X3 | X4 | Y1 | Y2 | Y3 | Y4 | Z1 | Z2 | Z3 | Z4 | ||
| 30 | 180 | 115.14 | 115.18 | 115.12 | 115.14 | 6.18 | 6.24 | 6.22 | 6.20 | 3.96 | 3.92 | 3.96 | 3.94 |
| 30 | 200 | 115.16 | 115.14 | 115.18 | 115.22 | 6.24 | 6.28 | 6.20 | 6.24 | 3.88 | 3.94 | 3.9 | 3.92 |
| 30 | 220 | 115.24 | 115.18 | 115.22 | 115.16 | 6.24 | 6.32 | 6.20 | 6.28 | 3.94 | 3.88 | 3.9 | 3.84 |
| 40 | 180 | 115.16 | 115.18 | 115.12 | 115.18 | 6.20 | 6.26 | 6.22 | 6.18 | 3.88 | 3.92 | 3.94 | 3.94 |
| 40 | 200 | 115.18 | 115.14 | 115.22 | 115.14 | 6.32 | 6.24 | 6.28 | 6.24 | 3.86 | 3.94 | 3.88 | 3.86 |
| 40 | 220 | 115.26 | 115.18 | 115.20 | 115.16 | 6.28 | 6.34 | 6.20 | 6.28 | 3.82 | 3.94 | 3.84 | 3.90 |
| 50 | 180 | 115.22 | 115.18 | 115.14 | 115.16 | 6.20 | 6.28 | 6.26 | 6.20 | 3.92 | 3.86 | 3.94 | 3.90 |
| 50 | 200 | 115.16 | 115.24 | 115.18 | 115.14 | 6.34 | 6.28 | 6.34 | 6.24 | 3.82 | 3.86 | 3.94 | 3.86 |
| 50 | 220 | 115.24 | 115.26 | 115.28 | 115.16 | 6.36 | 6.30 | 6.22 | 6.22 | 3.78 | 3.92 | 3.92 | 3.84 |
°C | Tensile Strength (MPa) | Standard Deviation in X-Dimension | Standard Deviation in Y-Dimension | Standard Deviation in Z-Dimension | |
|---|---|---|---|---|---|
| 30 | 180 | 52.15 | 0.022 | 0.022 | 0.014 |
| 30 | 200 | 54.96 | 0.030 | 0.028 | 0.024 |
| 30 | 220 | 57.82 | 0.032 | 0.045 | 0.037 |
| 40 | 180 | 54.62 | 0.024 | 0.030 | 0.017 |
| 40 | 200 | 57.34 | 0.033 | 0.033 | 0.029 |
| 40 | 220 | 60.23 | 0.037 | 0.050 | 0.046 |
| 50 | 180 | 56.34 | 0.030 | 0.036 | 0.029 |
| 50 | 200 | 59.13 | 0.037 | 0.042 | 0.041 |
| 50 | 220 | 61.83 | 0.046 | 0.059 | 0.051 |
Publisher’s Note: MDPI stays neutral with regard to jurisdictional claims in published maps and institutional affiliations. |
© 2022 by the authors. Licensee MDPI, Basel, Switzerland. This article is an open access article distributed under the terms and conditions of the Creative Commons Attribution (CC BY) license (https://creativecommons.org/licenses/by/4.0/).
Share and Cite
Lei, M.; Wei, Q.; Li, M.; Zhang, J.; Yang, R.; Wang, Y. Numerical Simulation and Experimental Study the Effects of Process Parameters on Filament Morphology and Mechanical Properties of FDM 3D Printed PLA/GNPs Nanocomposite. Polymers 2022, 14, 3081. https://doi.org/10.3390/polym14153081
Lei M, Wei Q, Li M, Zhang J, Yang R, Wang Y. Numerical Simulation and Experimental Study the Effects of Process Parameters on Filament Morphology and Mechanical Properties of FDM 3D Printed PLA/GNPs Nanocomposite. Polymers. 2022; 14(15):3081. https://doi.org/10.3390/polym14153081
Chicago/Turabian StyleLei, Mingju, Qinghua Wei, Mingyang Li, Juan Zhang, Rongbin Yang, and Yanen Wang. 2022. "Numerical Simulation and Experimental Study the Effects of Process Parameters on Filament Morphology and Mechanical Properties of FDM 3D Printed PLA/GNPs Nanocomposite" Polymers 14, no. 15: 3081. https://doi.org/10.3390/polym14153081
APA StyleLei, M., Wei, Q., Li, M., Zhang, J., Yang, R., & Wang, Y. (2022). Numerical Simulation and Experimental Study the Effects of Process Parameters on Filament Morphology and Mechanical Properties of FDM 3D Printed PLA/GNPs Nanocomposite. Polymers, 14(15), 3081. https://doi.org/10.3390/polym14153081
