The Use of the Thiol-Ene Addition Click Reaction in the Chemistry of Organosilicon Compounds: An Alternative or a Supplement to the Classical Hydrosilylation?
Abstract
:1. Introduction
1.1. Mechanism of the Process
- ionic mechanism;
- radical mechanism;
- nucleophilic addition is efficient for compounds with an electron-acceptor group at a conjugated double C=C bond. It is performed under basic catalysis conditions and a β-addition product predominates (Michael reaction);
- electrophilic addition is efficient for compounds with an electron-donor group at a double C=C bond. It is performed under acid catalysis conditions and an α-addition product predominates.
- low activation energy;
- weak effect of atmospheric oxygen (mainly but not always);
- a wide selection of initiation methods depending on the substrate, including those not requiring an initiator;
- high regioselectivity, i.e., preferential formation of a product of addition to the terminal carbon atom (in the case of a terminal double bond);
- high reaction rate.
- thermal initiation;
- with addition of an initiator of radical processes;
- without a thermal initiator;
- photoinitiation;
- with addition of a photoinitiator;
- without a photoinitiator.
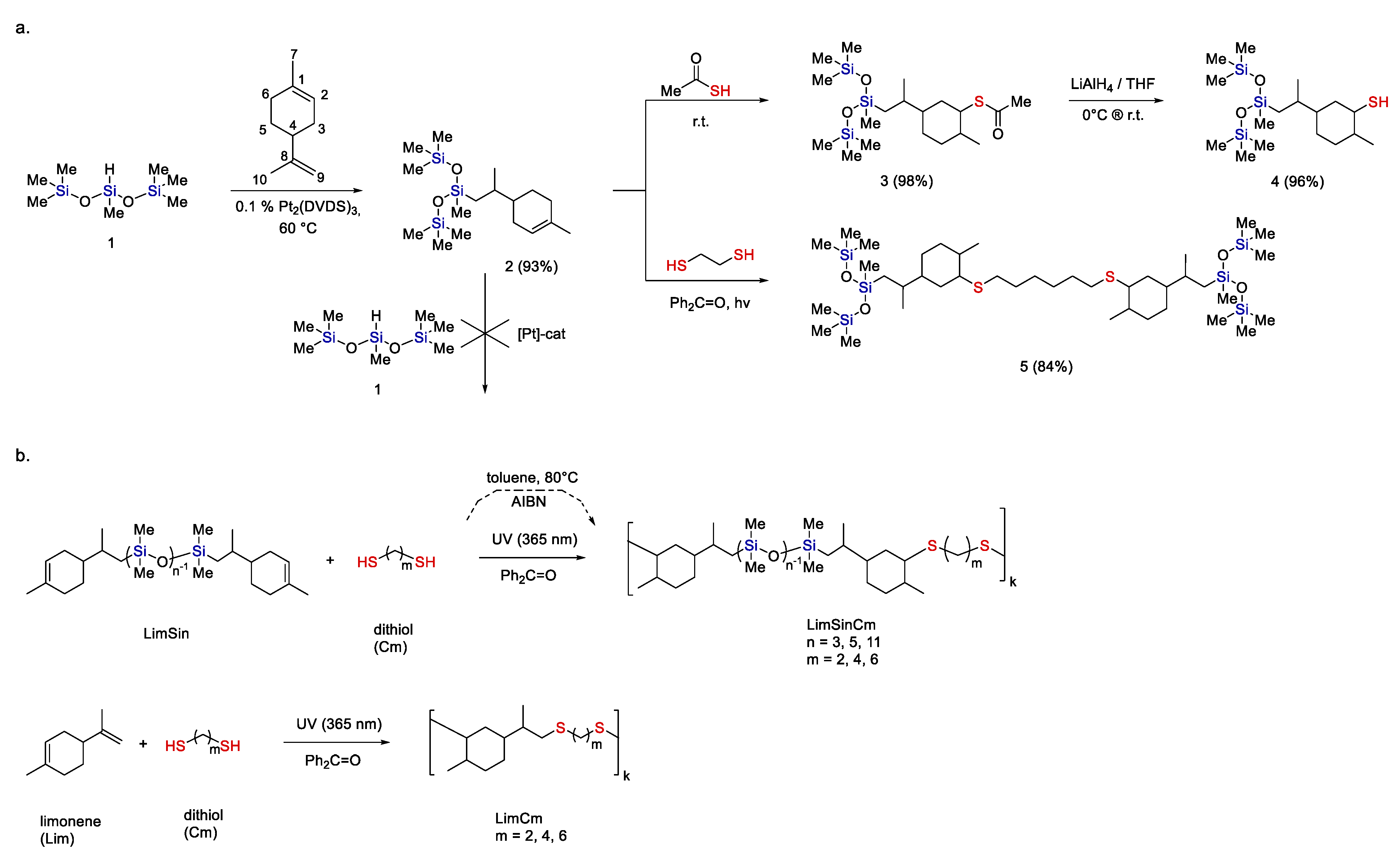
1.2. Modification of Individual Organosilicon Compounds by the Thiol-Ene Reaction
1.3. Modification of Cyclic and Polycyclic Organosilsesquioxanes Using the Hydrothiolation Reaction for Creating New Supramolecular Systems and Materials Based Thereon
1.4. Modification of Siloxane Polymers by Thiol-Ene Chemistry Methods
1.5. Modification of Polysiloxanes with Some Large-Tonnage Biomass and Waste Compounds
1.6. Cross-Linked Organosilicon Polymers
2. Conclusions
Author Contributions
Funding
Institutional Review Board Statement
Informed Consent Statement
Data Availability Statement
Conflicts of Interest
References
- Curry, J.W. The Synthesis and Polymerization of Organosilanes Containing Vinyl and Hydrogen Joined to the Same Silicon Atom. J. Am. Chem. Soc. 1956, 78, 1686–1689. [Google Scholar] [CrossRef]
- Marciniec, B.; Maciejewski, H.; Pietraszuk, P.P. Hydrosilylation: A Comprehensive Review on Recent Advances; Springer: Berlin/Heidelberg, Germany, 2013; Volume 1, ISBN 978-1-4020-8171-2. [Google Scholar]
- Chemistry, C.O.; Synthesis, C.O.; Chemistry, C.O. Comprehensive Handbook on Hydrosilylation; Elsevie: Amsterdam, The Netherlands, 1992; ISBN 9780080402727. [Google Scholar]
- Matisons, J.; Marciniec, B. (Eds.) Hydrosilylation; Advances in Silicon Science; Springer: Dordrecht, The Netherlands, 2009; Volume 1, ISBN 978-1-4020-8171-2. [Google Scholar] [CrossRef]
- Troegel, D.; Stohrer, J. Recent advances and actual challenges in late transition metal catalyzed hydrosilylation of olefins from an industrial point of view. Coord. Chem. Rev. 2011, 255, 1440–1459. [Google Scholar] [CrossRef]
- Speier, J.L.; Webster, J.A.; Barnes, G.H. The Addition of Silicon Hydrides to Olefinic Double Bonds. Part II. The Use of Group VIII Metal Catalysts. J. Am. Chem. Soc. 1957, 79, 974–979. [Google Scholar] [CrossRef]
- Lewis, L.N.; Lewis, N. Platinum-catalyzed hydrosilylation—Colloid formation as the essential step. J. Am. Chem. Soc. 1986, 108, 7228–7231. [Google Scholar] [CrossRef]
- Obligacion, J.V.; Chirik, P.J. Earth-abundant transition metal catalysts for alkene hydrosilylation and hydroboration. Nat. Rev. Chem. 2018, 2, 15–34. [Google Scholar] [CrossRef]
- Oae, S. (Ed.) Organic Chemistry of Sulfur; Springer: Boston, MA, USA, 1977; ISBN 978-1-4684-2051-7. [Google Scholar]
- Lowe, A.B. Thiol-ene “click” reactions and recent applications in polymer and materials synthesis. Polym. Chem. 2010, 1, 17–36. [Google Scholar] [CrossRef]
- Lee, T.Y.; Roper, T.M.; Jonsson, E.S.; Guymon, C.A.; Hoyle, C.E. Thiol−Ene Photopolymerization Kinetics of Vinyl Acrylate/Multifunctional Thiol Mixtures. Macromolecules 2004, 37, 3606–3613. [Google Scholar] [CrossRef]
- Okay, O.; Reddy, S.K.; Bowman, C.N. Molecular Weight Development during Thiol−Ene Photopolymerizations. Macromolecules 2005, 38, 4501–4511. [Google Scholar] [CrossRef]
- Cramer, N.B.; Scott, A.J.P.; Bowman, C. Photopolymerizations of Thiol−Ene Polymers without Photoinitiators. Macromolecules 2002, 35, 5361–5365. [Google Scholar] [CrossRef]
- Shigeru, O. Organic Sulfur Chemistry; Joyce, D., Ed.; CRC Press: Boca Raton, FL, USA, 1991; ISBN 0849347394/9780849347399. [Google Scholar]
- Kuciński, K.; Pawluć, P.; Marciniec, B.; Hreczycho, G. Highly Selective Hydrothiolation of Unsaturated Organosilicon Compounds Catalyzed by Scandium(III) Triflate. Chem. Eur. J. 2015, 21, 4940–4943. [Google Scholar] [CrossRef]
- Zhang, Z.; Feng, S.; Zhang, J. Facile and Efficient Synthesis of Carbosiloxane Dendrimers via Orthogonal Click Chemistry Between Thiol and Ene. Macromol. Rapid Commun. 2016, 37, 318–322. [Google Scholar] [CrossRef] [PubMed]
- Northrop, B.H.; Coffey, R.N. Thiol–Ene Click Chemistry: Computational and Kinetic Analysis of the Influence of Alkene Functionality. J. Am. Chem. Soc. 2012, 134, 13804–13817. [Google Scholar] [CrossRef]
- Bordoni, A.V.; Lombardo, M.V.; Wolosiuk, A. Photochemical radical thiol–ene click-based methodologies for silica and transition metal oxides materials chemical modification: A mini-review. RSC Adv. 2016, 6, 77410–77426. [Google Scholar] [CrossRef]
- Stacey, F.W.; Harris, J.F. Formation of Carbon-Hetero Atom Bonds by Free Radical Chain Additions to Carbon-Carbon Multiple Bonds. Org. React. 2011, 150–376. [Google Scholar] [CrossRef]
- Bezlepkina, K.A.; Milenin, S.A.; Vasilenko, N.G.; Muzafarov, A.M. Ring-opening polymerization (ROP) and catalytic rearrangement as a way to obtain siloxane mono- and telechelics, as well as well-organized branching centers: History and prospects. Polymers 2022, 14, 2408. [Google Scholar] [CrossRef]
- Griesbaum, K. Problems and Possibilities of the Free-Radical Addition of Thiols to Unsaturated Compounds. Angew. Chem. Int. Ed. 1970, 9, 273–287. [Google Scholar] [CrossRef]
- Fındık, V.; Degirmenci, I.; Çatak, Ş.; Aviyente, V. Theoretical investigation of thiol-ene click reactions: A DFT perspective. Eur. Polym. J. 2019, 110, 211–220. [Google Scholar] [CrossRef]
- Roper, T.M.; Guymon, C.A.; Jönsson, E.S.; Hoyle, C.E. Influence of the alkene structure on the mechanism and kinetics of thiol-alkene photopolymerizations with real-time infrared spectroscopy. J. Polym. Sci. Part A Polym. Chem. 2004, 42, 6283–6298. [Google Scholar] [CrossRef]
- Morgan, C.R.; Magnotta, F.; Ketley, A.D. Thiol/ene photocurable polymers. J. Polym. Sci. Polym. Chem. Ed. 1977, 15, 627–645. [Google Scholar] [CrossRef]
- Voronkov, M.G.; Vlasova, N.N.; Zhila, G.Y.; Albanov, A.I.; Vitkovskii, V.Y. Photochemical Addition of 1,2-Ethanediol to Alkenyltrichloro- and Triorganylalkenylsilanes. Russ. J. Gen. Chem. 1983, 53, 378. [Google Scholar]
- Rissing, C.; Son, D.Y. Thiol−Ene Reaction for the Synthesis of Multifunctional Branched Organosilanes. Organometallics 2008, 27, 5394–5397. [Google Scholar] [CrossRef]
- Rissing, C.; Son, D.Y. Thiol-ene chemistry of vinylsilanes. Main Group Chem. 2009, 8, 251–262. [Google Scholar] [CrossRef]
- Tucker-Schwartz, A.K.; Farrell, R.A.; Garrell, R.L. Thiol–ene Click Reaction as a General Route to Functional Trialkoxysilanes for Surface Coating Applications. J. Am. Chem. Soc. 2011, 133, 11026–11029. [Google Scholar] [CrossRef] [PubMed]
- Tan, K.Y.D.; Teng, G.F.; Fan, W.Y. Photocatalytic Transformation of Organic and Water-Soluble Thiols into Disulfides and Hydrogen under Aerobic Conditions Using Mn(CO)5Br. Organometallics 2011, 30, 4136–4143. [Google Scholar] [CrossRef]
- Fu, C.; Yang, Z.; Zheng, Z.; Shen, L. Properties of alkoxysilane castor oil synthesized via thiol-ene and its polyurethane/siloxane hybrid coating films. Prog. Org. Coat. 2014, 77, 1241–1248. [Google Scholar] [CrossRef]
- Trofimova, O.; Grebneva, E.; Bolgova, Y.; Pavlov, D.; Vakul’Skaya, T.; Emel’Yanov, A.; Pozdnyakov, A. Anti-Markovnikov addition of 2-mercaptobenzoxazole and 2-mercaptobenzothiazole to trimethoxy(vinyl)silane under solvent- and catalyst-free conditions. J. Organomet. Chem. 2020, 917, 121269. [Google Scholar] [CrossRef]
- Cao, J.; Zuo, Y.; Wang, D.; Zhang, J.; Feng, S. Functional polysiloxanes: A novel synthesis method and hydrophilic applications. New J. Chem. 2017, 41, 8546–8553. [Google Scholar] [CrossRef]
- Zuo, Y.; Gou, Z.; Cao, J.; Yang, Z.; Lu, H.; Feng, S. From Polymer to Monomer: Cleavage and Rearrangement of Si-O-Si Bonds after Oxidation Yielded an Ordered Cyclic Crystallized Structure. Chem. Eur. J. 2015, 21, 10972–10977. [Google Scholar] [CrossRef] [PubMed]
- Zuo, Y.; Gou, Z.; Zhang, C.; Feng, S. Polysiloxane-Based Autonomic Self-Healing Elastomers Obtained through Dynamic Boronic Ester Bonds Prepared by Thiol-Ene “Click” Chemistry. Macromol. Rapid Commun. 2016, 37, 1052–1059. [Google Scholar] [CrossRef]
- Esquivel, D.; van den Berg, O.; Romero-Salguero, F.J.; Du Prez, F.; Van Der Voort, P. 100% thiol-functionalized ethylene PMOs prepared by “thiol acid–ene” chemistry. Chem. Commun. 2013, 49, 2344. [Google Scholar] [CrossRef]
- Tsuchida, K. Organosilicon Compound Containing Isocyanate Group, Process for Producing Same, Adhesive, Pressure-Sensitive Adhesive, And Coating Material. U.S. Patent US20170349614A1, 7 December 2017. [Google Scholar]
- Trofimova, O.; Grebneva, E.; Bolgova, Y.; Belogolova, E.; Emel’Yanov, A.; Albanov, A.; Borodina, T.; Ivanova, A.; Korzhova, S.; Pozdnyakov, A. The synthesis, characterization, and theoretical analysis of novel Si-substituted silylethyl derivatives of 2-mercaptobenzoxazole and 2-mercaptobenzothiazole. New J. Chem. 2021, 45, 9416–9426. [Google Scholar] [CrossRef]
- Kuciński, K.; Hreczycho, G. Ruthenium-catalyzed hydrosilylation of C=N bond in benzothiazole. J. Organomet. Chem. 2017, 846, 321–325. [Google Scholar] [CrossRef]
- Petroff, L.J.; Snow, S.A. Silicone Surfactants. In Advances in Silicon Science; Owen, M.J., Dvornic, P.R., Eds.; Springer: Dordrecht, The Netherlands, 2012; Volume 4, pp. 243–280. ISBN 978-94-007-3875-1. [Google Scholar]
- Keddie, D.J.; Grande, J.B.; Gonzaga, F.; Brook, M.A.; Dargaville, T.R. Amphiphilic Silicone Architectures via Anaerobic Thiol–Ene Chemistry. Org. Lett. 2011, 13, 6006–6009. [Google Scholar] [CrossRef] [PubMed]
- Tan, J.; Cao, F.; Chen, H.; Liu, K.; Sun, D. Aggregation properties of siloxane surfactants with phenyldimethylsiloxyl groups in aqueous solution. J. Mol. Liq. 2019, 289, 111158. [Google Scholar] [CrossRef]
- Anisimov, A.A.; Temnikov, M.N.; Krizhanovskiy, I.; Timoshina, E.I.; Milenin, S.A.; Peregudov, A.S.; Dolgushin, F.M.; Muzafarov, A.M. A thiol–ene click reaction with preservation of the Si–H bond: A new approach for the synthesis of functional organosilicon compounds. New J. Chem. 2021, 45, 5764–5769. [Google Scholar] [CrossRef]
- Li, Y.; Zhang, B.W.; Janoski, J.E.; Li, X.; Dong, X.; Wesdemiotis, C.; Quirk, R.P.; Cheng, S.Z.D. Anionic synthesis of mono- and heterotelechelic polystyrenes via thiol-ene “click” chemistry and hydrosilylation. Macromolecules 2011, 44, 3328–3337. [Google Scholar] [CrossRef]
- Chen, M.; Zhang, G.; Liang, X.; Zhang, W.; Zhou, L.; He, B.; Song, P.; Yuan, X.; Zhang, C.; Zhang, L.; et al. Thermally stable transparent sol–gel based active siloxane–oligomer materials with tunable high refractive index and dual reactive groups. RSC Adv. 2016, 6, 70825–70831. [Google Scholar] [CrossRef]
- Walczak, M.; Januszewski, R.; Dutkiewicz, M.; Franczyk, A.; Marciniec, B. A facile approach for the synthesis of novel silsesquioxanes with mixed functional groups. New J. Chem. 2019, 43, 18141–18145. [Google Scholar] [CrossRef]
- Drozdov, F.; Cherkaev, G.; Muzafarov, A. Synthesis of new functional siloxane derivatives of limonene. Part I: Combination of hydrosilylation and hydrothiolation reactions. J. Organomet. Chem. 2019, 880, 293–299. [Google Scholar] [CrossRef]
- Cordes, D.B.; Lickiss, P.D.; Rataboul, F. Recent Developments in the Chemistry of Cubic Polyhedral Oligosilsesquioxanes. Chem. Rev. 2010, 110, 2081–2173. [Google Scholar] [CrossRef]
- Chen, F.; Lin, F.; Zhang, Q.; Cai, R.; Wu, Y.; Ma, X. Polyhedral Oligomeric Silsesquioxane Hybrid Polymers: Well-Defined Architectural Design and Potential Functional Applications. Macromol. Rapid Commun. 2019, 40, 1900101. [Google Scholar] [CrossRef]
- Liu, S.; Guo, R.; Li, C.; Lu, C.; Yang, G.; Wang, F.; Nie, J.; Ma, C.; Gao, M. POSS hybrid hydrogels: A brief review of synthesis, properties and applications. Eur. Polym. J. 2021, 143, 110180. [Google Scholar] [CrossRef]
- Shi, H.; Yang, J.; You, M.; Li, Z.; He, C. Polyhedral Oligomeric Silsesquioxanes (POSS)-Based Hybrid Soft Gels: Molecular Design, Material Advantages, and Emerging Applications. ACS Mater. Lett. 2020, 2, 296–316. [Google Scholar] [CrossRef]
- Soldatov, M.; Liu, H. Hybrid porous polymers based on cage-like organosiloxanes: Synthesis, properties and applications. Prog. Polym. Sci. 2021, 119, 101419. [Google Scholar] [CrossRef]
- Du, Y.; Liu, H. Cage-like silsesquioxanes-based hybrid materials. Dalton Trans. 2020, 49, 5396–5405. [Google Scholar] [CrossRef]
- Majumdar, R.; Wannasiri, C.; Sukwattanasinitt, M.; Ervithayasuporn, V. Porous silsesquioxane cage and porphyrin nanocomposites: Sensing and adsorption for heavy metals and anions. Polym. Chem. 2021, 12, 3391–3412. [Google Scholar] [CrossRef]
- Zhang, Y.; Liu, K.; Wu, L.; Huang, H.; Xu, Z.; Long, Z.; Tong, M.; Gu, Y.; Qin, Z.; Chen, G. POSS and imidazolium-constructed ionic porous hypercrosslinked polymers with multiple active sites for synergistic catalytic CO2 transformation. Dalton Trans. 2021, 50, 11878–11888. [Google Scholar] [CrossRef]
- Hamada, T.; Nakanishi, Y.; Okada, K.; Tsukada, S.; Uedono, A.; Ohshita, J. Thermal Insulating Property of Silsesquioxane Hybrid Film Induced by Intramolecular Void Spaces. ACS Appl. Polym. Mater. 2021, 3, 3383–3391. [Google Scholar] [CrossRef]
- Shen, W.; Du, B.; Zhuo, H.; Chen, S. Recyclable and reprocessable epoxy-polyhedral oligomeric silsesquioxane (POSS)/mesogenic azobenzene/poly (ethylene-co-vinyl acetate) composites with thermal- and light-responsive programmable shape-memory performance. Chem. Eng. J. 2022, 428, 132609. [Google Scholar] [CrossRef]
- Chen, Y.; Qin, Z.; Tang, G.; Wei, L.; Du, H.; Du, W. Balancing Optical Property and Enhancing Stability for High-Refractive Index Polythiourethane with Assistance of Cubic Thiol-Functionalized Silsesquioxanes. ACS Appl. Polym. Mater. 2021, 3, 153–161. [Google Scholar] [CrossRef]
- Cao, J.; Wang, D.; Wang, L.; Feng, S. A Superhydrophobic and Oleophobic Silicone Sponge with Hierarchical Structures. Macromol. Rapid Commun. 2021, 42, 2000761. [Google Scholar] [CrossRef]
- He, Z.; Yu, P.; Zhao, Y.; Yang, Q.; Zhao, Y.; Zhang, H.; Zi, S.; Miao, Z.; Zhang, H.; Shen, W. The regulation of electric-optical properties of polymer-dispersed liquid crystals via implantation of polyhedral oligomeric silsesquioxane (POSS) microstructure. Liq. Cryst. 2022, 49, 240–247. [Google Scholar] [CrossRef]
- Xie, X.; Zhang, X.; Yang, H.; Ji, X.; Li, J.; Ding, S. Iridium-Catalyzed Hydrosilylation of Unactivated Alkenes: Scope and Application to Late-Stage Functionalization. J. Org. Chem. 2019, 84, 1085–1093. [Google Scholar] [CrossRef] [PubMed]
- Itami, Y.; Marciniec, B.; Kubicki, M. Functionalization of Octavinylsilsesquioxane by Ruthenium-Catalyzed Silylative Coupling versus Cross-Metathesis. Chem. Eur. J. 2004, 10, 1239–1248. [Google Scholar] [CrossRef] [PubMed]
- Christian, P. Polymer chemistry. In Electrospinning for Tissue Regeneration; Elsevier: Amsterdam, The Netherlands, 2011; pp. 34–50. [Google Scholar]
- Li, W.; Feng, S. New Functionalized Ionic Liquids Based on POSS for the Detection of Fe3+ Ion. Polymers 2021, 13, 196. [Google Scholar] [CrossRef]
- Lewandowska, A.; Gajewski, P.; Szcześniak, K.; Sadej, M.; Patelski, P.; Marcinkowska, A. Modification of Thiol-Ene Ionogels with Octakis(methacryloxypropyl) Silsesquioxane. Polymers 2021, 13, 385. [Google Scholar] [CrossRef]
- Li, H.; Miao, S.; Chen, W.; Yang, X.; Li, M.; Xing, T.; Zhao, Y.; Chen, G. Durable superhydrophobic and oleophobic cotton fabric based on the grafting of fluorinated POSS through silane coupling and thiol-ene click reaction. Colloids Surfaces A: Physicochem. Eng. Asp. 2021, 630, 127566. [Google Scholar] [CrossRef]
- Hou, K.; Zeng, Y.; Zhou, C.; Chen, J.; Wen, X.; Xu, S.; Cheng, J.; Pi, P. Facile generation of robust POSS-based superhydrophobic fabrics via thiol-ene click chemistry. Chem. Eng. J. 2018, 332, 150–159. [Google Scholar] [CrossRef]
- Gao, C.; Zhang, D.; Wang, H.; Wang, C.; Yuan, J.; Zhu, C.; Liu, Y. Effect of polyhedral oligomeric silsesquioxane on thiol-ene UV curing kinetics of waterborne polyester. Prog. Org. Coat. 2019, 136, 105231. [Google Scholar] [CrossRef]
- Deng, Y.; Han, D.; Deng, Y.-Y.; Zhang, Q.; Chen, F.; Fu, Q. Facile one-step preparation of robust hydrophobic cotton fabrics by covalent bonding polyhedral oligomeric silsesquioxane for ultrafast oil/water separation. Chem. Eng. J. 2020, 379, 122391. [Google Scholar] [CrossRef]
- Shang, Q.; Liu, C.; Chen, J.; Yang, X.; Hu, Y.; Hu, L.; Zhou, Y.; Ren, X. Sustainable and Robust Superhydrophobic Cotton Fabrics Coated with Castor Oil-Based Nanocomposites for Effective Oil–Water Separation. ACS Sustain. Chem. Eng. 2020, 8, 7423–7435. [Google Scholar] [CrossRef]
- Zhang, W.-B.; Yu, X.; Wang, C.-L.; Sun, H.-J.; Hsieh, I.-F.; Li, Y.; Dong, X.-H.; Yue, K.; Van Horn, R.; Cheng, S.Z.D. Molecular Nanoparticles Are Unique Elements for Macromolecular Science: From “Nanoatoms” to Giant Molecules. Macromolecules 2014, 47, 1221–1239. [Google Scholar] [CrossRef]
- Xia, Y.; Ding, S.; Liu, Y.; Qi, Z. Facile Synthesis and Self-Assembly of Amphiphilic Polyether-Octafunctionalized Polyhedral Oligomeric Silsesquioxane via Thiol-Ene Click Reaction. Polymers 2017, 9, 251. [Google Scholar] [CrossRef] [PubMed] [Green Version]
- Pang, B.; Liu, R.; Han, G.; Wang, W.; Zhang, W. The synthesis of thermoresponsive POSS-based eight-arm star poly(N-isopropylacrylamide): A comparison between Z-RAFT and R-RAFT strategies. Polym. Chem. 2021, 12, 2063–2074. [Google Scholar] [CrossRef]
- Jiang, F.; Chen, Y.; Ye, Z.; Pang, S.; Xu, B. Efficient synthesis of POSS based amphiphilic nanoparticles via thiol-ene “click” reaction to improve foam stability. Colloids Surfaces A: Physicochem. Eng. Asp. 2022, 632, 127803. [Google Scholar] [CrossRef]
- Zhou, J.; Liu, Y.; Jiao, T.; Xing, R.; Yang, Z.; Fan, J.; Liu, J.; Li, B.; Peng, Q. Preparation and enhanced structural integrity of electrospun poly(ε-caprolactone)-based fibers by freezing amorphous chains through thiol-ene click reaction. Colloids Surf. A Physicochem. Eng. Asp. 2018, 538, 7–13. [Google Scholar] [CrossRef]
- Li, Z.; Fu, Y.; Li, Z.; Nan, N.; Zhu, Y.; Li, Y. Froth flotation giant surfactants. Polymer 2019, 162, 58–62. [Google Scholar] [CrossRef]
- Qian, Q.; Xu, J.; Zhang, M.; He, J.; Ni, P. Versatile Construction of Single-Tailed Giant Surfactants with Hydrophobic Poly(ε-caprolactone) Tail and Hydrophilic POSS Head. Polymers 2019, 11, 311. [Google Scholar] [CrossRef] [Green Version]
- Tang, G.; Wang, X.; Li, D.; Ma, Y.; Wu, D. Fabrication of POSS-embedded supramolecular hyperbranched polymers with multi-responsive morphology transitions. Polym. Chem. 2018, 9, 5377–5384. [Google Scholar] [CrossRef]
- Li, Y.; Su, H.; Feng, X.; Wang, Z.; Guo, K.; Wesdemiotis, C.; Fu, Q.; Cheng, S.Z.D.; Zhang, W. Bin Thiol-Michael “click” chemistry: Another efficient tool for head functionalization of giant surfactants. Polym. Chem. 2014, 5, 6151–6162. [Google Scholar] [CrossRef]
- Zhao, W.; Huang, Y.; Chen, R.; Peng, H.; Liao, Y.; Wang, Q. Facile preparation of thioether/hydroxyl functionalized polyhedral oligomeric silsesquioxanes hybrid polymer for ultrahigh selective adsorption of silver(I) ions. React. Funct. Polym. 2021, 163, 104899. [Google Scholar] [CrossRef]
- Akbari, A.; Arsalani, N.; Eftekhari-Sis, B.; Amini, M.; Gohari, G.; Jabbari, E. Cube-octameric silsesquioxane (POSS)-capped magnetic iron oxide nanoparticles for the efficient removal of methylene blue. Front. Chem. Sci. Eng. 2019, 13, 563–573. [Google Scholar] [CrossRef]
- Chen, J.; Cui, Y.; Song, K.; Liu, T.; Zhou, L.; Bao, B.; Wang, R.; Wang, L. The self-assembly of a hybrid photosensitizer for the synergistically enhanced photodynamic/photothermal therapy. Biomater. Sci. 2021, 9, 2115–2123. [Google Scholar] [CrossRef] [PubMed]
- Lu, N.; Lu, Y.; Liu, S.; Jin, C.; Fang, S.; Zhou, X.; Li, Z. Tailor-Engineered POSS-Based Hybrid Gels for Bone Regeneration. Biomacromolecules 2019, 20, 3485–3493. [Google Scholar] [CrossRef] [PubMed]
- Liu, Y.; Endo, A.; Zhang, P.; Takizawa, A.; Takeda, N. Synthesis, Characterization, and Reaction of Divinyl—Substituted Laddersiloxanes. Silicon 2021, 14, 2723–2730. [Google Scholar] [CrossRef]
- Liu, Y.; Katano, M.; Yingsukkamol, P.; Takeda, N.; Unno, M.; Ouali, A. Tricyclic 6-8-6 Laddersiloxanes Derived from All-cis-tetravinylcyclotetrasiloxanolate: Synthesis, Characterization and Reactivity. J. Organomet. Chem. 2021, 959, 122213. [Google Scholar] [CrossRef]
- Kunthom, R.; Adachi, T.; Liu, Y.; Takeda, N.; Unno, M.; Tanaka, R. Synthesis of a “Butterfly Cage” Based on a Double-Decker Silsesquioxane. Chem. Asian J. 2019, 14, 4179–4182. [Google Scholar] [CrossRef]
- Chaiprasert, T.; Liu, Y.; Intaraprecha, K.P.; Kunthom, R.; Takeda, N.; Unno, M. Synthesis of Tricyclic Laddersiloxane with Various Ring Sizes (Bat Siloxane). Macromol. Rapid Commun. 2020, 42, 2000608. [Google Scholar] [CrossRef]
- Liu, Y.; Takeda, N.; Ouali, A.; Unno, M. Synthesis, Characterization, and Functionalization of Tetrafunctional Double-Decker Siloxanes. Inorg. Chem. 2019, 58, 4093–4098. [Google Scholar] [CrossRef]
- Liu, Y.; Onodera, K.; Takeda, N.; Ouali, A.; Unno, M. Synthesis and Characterization of Functionalizable Silsesquioxanes with Ladder-type Structures. Organometallics 2019, 38, 4373–4376. [Google Scholar] [CrossRef]
- Chaiprasert, T.; Liu, Y.; Takeda, N.; Unno, M. Janus ring siloxane: A versatile precursor of the extended Janus ring and tricyclic laddersiloxanes. Dalton Trans. 2020, 49, 13533–13537. [Google Scholar] [CrossRef]
- Chaiprasert, T.; Liu, Y.; Takeda, N.; Unno, M. Vinyl-Functionalized Janus Ring Siloxane: Potential Precursors to Hybrid Functional Materials. Materials 2021, 14, 2014. [Google Scholar] [CrossRef]
- Liu, Y.; Kigure, M.; Koizumi, K.; Takeda, N.; Unno, M.; Ouali, A. Synthesis of Tetrachloro, Tetraiodo, and Tetraazido Double-Decker Siloxanes. Inorg. Chem. 2020, 59, 15478–15486. [Google Scholar] [CrossRef] [PubMed]
- Liu, Y.; Kigure, M.; Okawa, R.; Takeda, N.; Unno, M.; Ouali, A. Synthesis and characterization of tetrathiol-substituted double-decker or ladder silsesquioxane nano-cores. Dalton Trans. 2021, 50, 3473–3478. [Google Scholar] [CrossRef] [PubMed]
- Minyaylo, E.O.; Anisimov, A.A.; Zaitsev, A.V.; Ol’shevskaya, V.A.; Peregudov, A.S.; Kononova, E.G.; Shchegolikhina, O.I.; Muzafarov, A.M.; Möller, M. Synthesis of new carboranyl organosilicon derivatives—Precursors for the preparation of hybrid organo-inorganic materials. J. Organomet. Chem. 2020, 928, 121547. [Google Scholar] [CrossRef]
- Anisimov, A.; Zhemchugov, P.; Milenin, S.; Goloveshkin, A.; Tsareva, U.; Bushmarinov, I.; Korlyukov, A.; Takazova, R.; Molodtsova, Y.; Muzafarov, A.; et al. Sodium cis-tetratolylcyclotetrasiloxanolate and cis-tritolylcyclotrisiloxanolate: Synthesis, structure and their mutual transformations. J. Organomet. Chem. 2016, 823, 103–111. [Google Scholar] [CrossRef]
- Anisimov, A.A.; Drozdov, F.V.; Vysochinskaya, Y.S.; Minyaylo, E.O.; Peregudov, A.S.; Dolgushin, F.M.; Shchegolikhina, O.I.; Muzafarov, A.M. Organoboron Derivatives of Stereoregular Phenylcyclosilsesquioxanes. Chem. Eur. J. 2020, 26, 11404–11407. [Google Scholar] [CrossRef]
- Vysochinskaya, Y.; Anisimov, A.; Krylov, F.; Buzin, M.; Buzin, A.; Peregudov, A.; Shchegolikhina, O.; Muzafarov, A. Synthesis of functional derivatives of stereoregular organocyclosilsesquioxanes by thiol-ene addition. J. Organomet. Chem. 2021, 954–955, 122072. [Google Scholar] [CrossRef]
- Sun, H.; Liu, X.; Yan, H.; Feng, Z.; Yu, B.; Ning, N.; Tian, M.; Zhang, L. The role of dipole structure and their interaction on the electromechanical and actuation performance of homogeneous silicone dielectric elastomers. Polymer 2019, 165, 1–10. [Google Scholar] [CrossRef]
- Vidal, F.; Lin, H.; Morales, C.; Jäkle, F. Polysiloxane/Polystyrene Thermo-Responsive and Self-Healing Polymer Network via Lewis Acid-Lewis Base Pair Formation. Molecules 2018, 23, 405. [Google Scholar] [CrossRef] [Green Version]
- Nowacka, M.; Rygała, A.; Kręgiel, D.; Kowalewska, A. Poly(silsesquioxanes) and poly(siloxanes) grafted with N-acetylcysteine for eradicating mature bacterial biofilms in water environment. Colloids Surf. B Biointerfaces 2018, 172, 627–634. [Google Scholar] [CrossRef]
- Shim, J.; Lee, J.W.; Bae, K.Y.; Kim, H.J.; Yoon, W.Y.; Lee, J.-C. Dendrite Suppression by Synergistic Combination of Solid Polymer Electrolyte Crosslinked with Natural Terpenes and Lithium-Powder Anode for Lithium-Metal Batteries. ChemSusChem 2017, 10, 2274–2283. [Google Scholar] [CrossRef]
- Li, Z.; Wang, D.; Ramella, D.; Gao, H.; Cao, H.; Zhao, Y.; Miao, Z.; Yang, Z.; He, W. Double-click synthesis of polysiloxane third-order nonlinear optical polymers with donor–acceptor chromophores. Polym. Chem. 2020, 11, 3046–3053. [Google Scholar] [CrossRef]
- Cole, M.A.; Bowman, C.N. Evaluation of thiol-ene click chemistry in functionalized polysiloxanes. J. Polym. Sci. Part A Polym. Chem. 2013, 51, 1749–1757. [Google Scholar] [CrossRef]
- Sheima, Y.; Yuts, Y.; Frauenrath, H.; Opris, D.M. Polysiloxanes Modified with Different Types and Contents of Polar Groups: Synthesis, Structure, and Thermal and Dielectric Properties. Macromolecules 2021, 54, 5737–5749. [Google Scholar] [CrossRef]
- Naganawa, Y.; Inomata, K.; Sato, K.; Nakajima, Y. Hydrosilylation reactions of functionalized alkenes. Tetrahedron Lett. 2020, 61, 151513. [Google Scholar] [CrossRef]
- Xia, Y.; Yao, H.; Miao, Z.; Ma, Y.; Cui, M.; Yan, L.; Ling, H.; Qi, Z. Facile synthesis and self-assembly of amphiphilic polydimethylsiloxane with poly(ethylene glycol) moieties via thiol-ene click reaction. RSC Adv. 2015, 5, 50955–50961. [Google Scholar] [CrossRef]
- Yang, H.; Liu, M.-X.; Yao, Y.-W.; Tao, P.-Y.; Lin, B.-P.; Keller, P.; Zhang, X.-Q.; Sun, Y.; Guo, L.-X. Polysiloxane-Based Liquid Crystalline Polymers and Elastomers Prepared by Thiol–Ene Chemistry. Macromolecules 2013, 46, 3406–3416. [Google Scholar] [CrossRef]
- Cao, J.; Zuo, Y.; Lu, H.; Yang, Y.; Feng, S. An unconventional chromophore in water-soluble polysiloxanes synthesized via thiol-ene reaction for metal ion detection. J. Photochem. Photobiol. A Chem. 2018, 350, 152–163. [Google Scholar] [CrossRef]
- Yao, W.; Gao, Y.; Zhang, C.; Li, C.; Li, F.; Yang, Z.; Zhang, L. A series of novel side chain liquid crystalline polysiloxanes containing cyano- and cholesterol-terminated substituents: Where will the structure-dependence of terminal behavior of the side chain reappear? J. Polym. Sci. Part A Polym. Chem. 2017, 55, 1765–1772. [Google Scholar] [CrossRef]
- Gou, Z.; Zuo, Y.; Feng, S. Thermally self-healing silicone-based networks with potential application in recycling adhesives. RSC Adv. 2016, 6, 73140–73147. [Google Scholar] [CrossRef]
- Wang, M.; Guo, L.X.; Lin, B.P.; Zhang, X.Q.; Sun, Y.; Yang, H. Photo-responsive polysiloxane-based azobenzene liquid crystalline polymers prepared by thiol-ene click chemistry. Liq. Cryst. 2016, 43, 1626–1635. [Google Scholar] [CrossRef]
- Lemonier, S.; Marty, J.; Fitremann, J. Polysiloxanes Modified by Thiol-Ene Reaction and Their Interaction with Gold Nanoparticles. Helv. Chim. Acta 2019, 102, e1900180. [Google Scholar] [CrossRef]
- Liu, H.; Wang, Z.; Sun, C. Robust Water-Repellent Treatment of Cotton Fabrics with Polysiloxane Modified via Thiol-Ene Click Reaction. Fibers Polym. 2018, 19, 580–586. [Google Scholar] [CrossRef]
- Shi, J.; Zhao, N.; Yan, D.; Song, J.; Fu, W.; Li, Z. Design of a mechanically strong and highly stretchable thermoplastic silicone elastomer based on coulombic interactions. J. Mater. Chem. A 2020, 8, 5943–5951. [Google Scholar] [CrossRef]
- Poscher, V.; Teasdale, I.; Salinas, Y. Surfactant-Free Synthesis of Cyclomatrix and Linear Organosilica Phosphazene-Based Hybrid Nanoparticles. ACS Appl. Nano Mater. 2019, 2, 655–660. [Google Scholar] [CrossRef]
- Bian, C.; Tan, J.; Ma, D.; Li, Y.; Zhang, J. Preparation and characterization of polymethyltrifluoropropylsilicone modified acrylonitrile-butadiene rubber/fluorosilicon rubber blend. J. Appl. Polym. Sci. 2015, 132. [Google Scholar] [CrossRef]
- Brummelhuis, N.T.; Diehl, C.; Schlaad, H. Thiol−Ene Modification of 1,2-Polybutadiene Using UV Light or Sunlight. Macromolecules 2008, 41, 9946–9947. [Google Scholar] [CrossRef]
- Korthals, B.; Morant-Miñana, M.C.; Schmid, M.; Mecking, S. Functionalization of Polymer Nanoparticles by Thiol−Ene Addition. Macromolecules 2010, 43, 8071–8078. [Google Scholar] [CrossRef] [Green Version]
- Chauhan, B.P.S.; Balagam, B. Silyl Functionalization of Polyolefins. Macromolecules 2006, 39, 2010–2012. [Google Scholar] [CrossRef]
- Januszewski, R.; Kownacki, I.; Maciejewski, H.; Marciniec, B. Transition metal-catalyzed hydrosilylation of polybutadiene—The effect of substituents at silicon on efficiency of silylfunctionalization process. J. Catal. 2019, 371, 27–34. [Google Scholar] [CrossRef]
- Poth, U. Drying Oils and Related Products. In Ullmann’s Encyclopedia of Industrial Chemistry; Wiley-VCH Verlag GmbH & Co. KGaA: Weinheim, Germany, 2001. [Google Scholar]
- Stephane, F.F.Y.; Jules, B.K.J. Terpenoids as Important Bioactive Constituents of Essential Oils. In Essential Oils; IntechOpen: London, UK, 2020. [Google Scholar] [CrossRef]
- Tsolakis, N.; Bam, W.; Srai, J.S.; Kumar, M. Renewable chemical feedstock supply network design: The case of terpenes. J. Clean. Prod. 2019, 222, 802–822. [Google Scholar] [CrossRef]
- Malko, M.; Wróblewska, A. Znaczenie R-(+)-limonenu, jako surowca do syntez w chemii organicznej i dla przemysłu organicznego. Chemik 2016, 70, 193–202. [Google Scholar]
- Januszewicz, K.; Kazimierski, P.; Suchocki, T.; Kardaś, D.; Lewandowski, W.; Klugmann-Radziemska, E.; Łuczak, J. Waste Rubber Pyrolysis: Product Yields and Limonene Concentration. Materials 2020, 13, 4435. [Google Scholar] [CrossRef] [PubMed]
- Dannecker, P.-K.; Biermann, U.; Sink, A.; Bloesser, F.R.; Metzger, J.O.; Meier, M.A.R. Fatty Acid–Derived Aliphatic Long Chain Polyethers by a Combination of Catalytic Ester Reduction and ADMET or Thiol-Ene Polymerization. Macromol. Chem. Phys. 2019, 220, 1800440. [Google Scholar] [CrossRef]
- Milenin, S.A.; Drozdov, F.V.; Selezneva, E.V.; Ardabevskaia, S.N.; Buzin, M.I.; Muzafarov, A.M. Undecenoic acid-based polydimethylsiloxanes obtained by hydrosilylation and hydrothiolation reactions. J. Organomet. Chem. 2020, 907, 121074. [Google Scholar] [CrossRef]
- Drozdov, F.V.; Tarasenkov, A.N.; Cherkaev, G.V.; Demchenko, N.V.; Buzin, M.I.; Leites, L.A.; Muzafarov, A. Synthesis and properties of prepolymers and their siloxane analogues by thiol-ene polyaddition of limonene with dithiols. Polym. Int. 2019, 68, 2017–2023. [Google Scholar] [CrossRef]
- Drozdov, F.V.; Tarasenkov, A.N.; Parshina, M.S.; Cherkaev, G.V.; Buzin, M.I.; Muzafarov, A.M. Synthesis of New Siloxane-Containing Polyamide Based on Limonene and Comparison of Their Properties with Non-Siloxane Analog. ChemistrySelect 2020, 5, 11534–11539. [Google Scholar] [CrossRef]
- Drozdov, F.V.; Cherkaev, G.V.; Muzafarov, A.M. Synthesis of new siloxane or sulfur containing symmetrical monomers based on carvone. Phosphorus Sulfur Silicon Relat. Elem. 2020, 195, 890–892. [Google Scholar] [CrossRef]
- Sample, C.S.; Lee, S.-H.; Li, S.; Bates, M.W.; Lensch, V.; Versaw, B.; Bates, C.M.; Hawker, C.J. Metal-Free Room-Temperature Vulcanization of Silicones via Borane Hydrosilylation. Macromolecules 2019, 52, 7244–7250. [Google Scholar] [CrossRef]
- Kwan, T.T.L.; Boutureira, O.; Frye, E.C.; Walsh, S.J.; Gupta, M.K.; Wallace, S.; Wu, Y.; Zhang, F.; Sore, H.F.; Galloway, W.R.J.D.; et al. Protein modification: Via alkyne hydrosilylation using a substoichiometric amount of ruthenium(II) catalyst. Chem. Sci. 2017, 8, 3871–3878. [Google Scholar] [CrossRef] [Green Version]
- Nguyen, K.D.Q.; Megone, W.V.; Kong, D.; Gautrot, J.E. Ultrafast diffusion-controlled thiol–ene based crosslinking of silicone elastomers with tailored mechanical properties for biomedical applications. Polym. Chem. 2016, 7, 5281–5293. [Google Scholar] [CrossRef]
- Van Den Berg, O.; Nguyen, L.-T.T.; Teixeira, R.F.A.; Goethals, F.; Özdilek, C.; Berghmans, S.; Du Prez, F.E. Low Modulus Dry Silicone-Gel Materials by Photoinduced Thiol–Ene Chemistry. Macromolecules 2014, 47, 1292–1300. [Google Scholar] [CrossRef]
- Ware, T.; Jennings, A.R.; Bassampour, Z.S.; Simon, D.; Son, D.Y.; Voit, W. Degradable, silyl ether thiol-ene networks. RSC Adv. 2014, 4, 39991–40002. [Google Scholar] [CrossRef]
- McKenzie, T.J.; Heaton, P.S.; Rishi, K.; Kumar, R.; Brunet, T.; Beaucage, G.; Mondain-Monval, O.; Ayres, N. Storage Moduli and Porosity of Soft PDMS PolyMIPEs Can Be Controlled Independently Using Thiol–Ene Click Chemistry. Macromolecules 2020, 53, 3719–3727. [Google Scholar] [CrossRef]
- Van Damme, J.; Van Den Berg, O.; Brancart, J.; Vlaminck, L.; Huyck, C.; Van Assche, G.; Van Mele, B.; Du Prez, F. Anthracene-Based Thiol–Ene Networks with Thermo-Degradable and Photo-Reversible Properties. Macromolecules 2017, 50, 1930–1938. [Google Scholar] [CrossRef]
- Liu, Z.; Xiao, D.; Liu, G.; Xiang, H.; Rong, M.; Zhang, M. Self-healing and reprocessing of transparent UV-cured polysiloxane elastomer. Prog. Org. Coat. 2021, 159, 106450. [Google Scholar] [CrossRef]
- Liu, Z.; Hong, P.; Huang, Z.; Zhang, T.; Xu, R.; Chen, L.; Xiang, H.; Liu, X. Self-healing, reprocessing and 3D printing of transparent and hydrolysis-resistant silicone elastomers. Chem. Eng. J. 2020, 387, 124142. [Google Scholar] [CrossRef]
- Zhao, T.; Yu, R.; Li, S.; Li, X.; Zhang, Y.; Yang, X.; Zhao, X.; Wang, C.; Liu, Z.; Dou, R.; et al. Superstretchable and Processable Silicone Elastomers by Digital Light Processing 3D Printing. ACS Appl. Mater. Interfaces 2019, 11, 14391–14398. [Google Scholar] [CrossRef]
- Campos, L.M.; Meinel, I.; Guino, R.G.; Schierhorn, M.; Gupta, N.; Stucky, G.D.; Hawker, C.J. Highly Versatile and Robust Materials for Soft Imprint Lithography Based on Thiol-ene Click Chemistry. Adv. Mater. 2008, 20, 3728–3733. [Google Scholar] [CrossRef]
- Caspari, P.; Dünki, S.J.; Nüesch, F.A.; Opris, D.M. Dielectric elastomer actuators with increased dielectric permittivity and low leakage current capable of suppressing electromechanical instability. J. Mater. Chem. C 2018, 6, 2043–2053. [Google Scholar] [CrossRef]
- Kim, J.-S.; Yang, S.; Park, H.; Bae, B.-S. Photo-curable siloxane hybrid material fabricated by a thiol–ene reaction of sol–gel synthesized oligosiloxanes. Chem. Commun. 2011, 47, 6051–6053. [Google Scholar] [CrossRef] [PubMed]
- Kim, J.-S.; Kim, Y.; Ko, J.-H.; Bae, B.-S. Thiol-Ene Reaction Derived Sol-Gel Hybrid Dielectric Layer for Oragnic Thin Film Transistors. ECS Trans. 2013, 50, 83–88. [Google Scholar] [CrossRef]
- Lee, A.; Jo, Y.Y.; Jeon, H.; Choi, S.-S.; Baek, K.-Y.; Hwang, S.S. Mechanical properties of thiol-ene UV-curable thermoplastic polysilsesquioxanes. Polymer 2015, 68, 140–146. [Google Scholar] [CrossRef]
- Bhagat, S.D.; Chatterjee, J.; Chen, B.; Stiegman, A.E. High Refractive Index Polymers Based on Thiol–Ene Cross-Linking Using Polarizable Inorganic/Organic Monomers. Macromolecules 2012, 45, 1174–1181. [Google Scholar] [CrossRef]
- Zuo, Y.; Lu, H.; Xue, L.; Wang, X.; Ning, L.; Feng, S. Preparation and characterization of luminescent silicone elastomer by thiol-ene “click” chemistry. J. Mater. Chem. C 2014, 2, 2724–2734. [Google Scholar] [CrossRef]
- Zuo, Y.; Lu, H.; Xue, L.; Wang, X.; Wu, L.; Feng, S. Polysiloxane-based luminescent elastomers prepared by thiol-ene “click” chemistry. Chem. Eur. J. 2014, 20, 12924–12932. [Google Scholar] [CrossRef]
- Sun, R.; Feng, S.; Wang, D.; Liu, H. Fluorescence-Tuned Silicone Elastomers for Multicolored Ultraviolet Light-Emitting Diodes: Realizing the Processability of Polyhedral Oligomeric Silsesquioxane-Based Hybrid Porous Polymers. Chem. Mater. 2018, 30, 6370–6376. [Google Scholar] [CrossRef]
- Zuo, Y.; Cao, J.; Feng, S. Sunlight-induced cross-linked luminescent films based on polysiloxanes and d -limonene via thiol-ene “click” chemistry. Adv. Funct. Mater. 2015, 25, 2754–2762. [Google Scholar] [CrossRef]
- Yang, T.; Zuo, Y.; Feng, S. Rational design of photo-chromic molecule for constructing polysiloxane-based fluorescent films and anti-counterfeiting. Mater. Des. 2021, 207, 109867. [Google Scholar] [CrossRef]
- Kumpfmueller, J.; Stadlmann, K.; Li, Z.; Satzinger, V.; Stampfl, J.; Liska, R. Two-photon-induced thiol-ene polymerization as a fabrication tool for flexible optical waveguides. Des. Monomers Polym. 2014, 17, 390–400. [Google Scholar] [CrossRef] [Green Version]
- Chen, X.; Fang, L.; Wang, J.; He, F.; Chen, X.; Wang, Y.; Zhou, J.; Tao, Y.; Sun, J.; Fang, Q. Intrinsic High Refractive Index Siloxane–Sulfide Polymer Networks Having High Thermostability and Transmittance via Thiol–Ene Cross-Linking Reaction. Macromolecules 2018, 51, 7567–7573. [Google Scholar] [CrossRef]
- Carrasco-Correa, E.J.; Ramis-Ramos, G.; Herrero-Martínez, J.M.; Lämmerhofer, M. Polymethacrylate monoliths with immobilized poly-3-mercaptopropyl methylsiloxane film for high-coverage surface functionalization by thiol-ene click reaction. J. Chromatogr. A 2014, 1367, 123–130. [Google Scholar] [CrossRef] [PubMed]
- Wolter, M.; Lämmerhofer, M. In-situ functionalized monolithic polysiloxane-polymethacrylate composite materials from polythiol-ene double click reaction in capillary column format for enantioselective nano-high-performance liquid chromatography. J. Chromatogr. A 2017, 1497, 172–179. [Google Scholar] [CrossRef] [PubMed]
- Schmitt, K.; Lämmerhofer, M. Optimization of the surface modification process of cross-linked polythiol-coated chiral stationary phases synthesized by a two-step thiol-ene click reaction. J. Sep. Sci. 2018, 41, 1338–1345. [Google Scholar] [CrossRef]
- Chen, Y.; Ding, Y.; Dong, Y.; Liu, Y.; Ren, X.; Wang, B.; Gao, C. Surface modification of calcium sulfate whisker using thiol-ene click reaction and its application in reinforced silicone rubber. J. Polym. Sci. 2020, 58, 624–635. [Google Scholar] [CrossRef]
- Wang, M.; Xing, J.; Sun, Y.-T.; Guo, L.-X.; Lin, B.-P.; Yang, H. Thiol–ene photoimmobilization of chymotrypsin on polysiloxane gels for enzymatic peptide synthesis. RSC Adv. 2018, 8, 11843–11849. [Google Scholar] [CrossRef] [Green Version]
- Akmakçi, E.; Demir, S. Nonhydrolytic sol–gel synthesized oligosiloxane resin reinforced thiol-ene photocured coatings for the immobilization of acetylcholinesterase. J. Sol-Gel Sci. Technol. 2019, 91, 72–81. [Google Scholar] [CrossRef]
- Khanin, D.A.; Kononevich, Y.N.; Morgalyuk, V.P.; Temnikov, M.N.; Vasil’ev, V.G.; Brel, V.K.; Muzafarov, A.M. Hybrid cyclotriphosphazene–polysiloxane–nano-SiO2 composites with improved mechanical properties. Mendeleev Commun. 2022, 32, 234–237. [Google Scholar] [CrossRef]
- Shim, J.; Kim, L.; Kim, H.J.; Jeong, D.; Lee, J.H.; Lee, J.-C. All-solid-state lithium metal battery with solid polymer electrolytes based on polysiloxane crosslinked by modified natural gallic acid. Polymer 2017, 122, 222–231. [Google Scholar] [CrossRef]
- Hong, T.; Cao, P.F.; Zhao, S.; Li, B.; Smith, C.; Lehmann, M.; Erwin, A.J.; Mahurin, S.M.; Venna, S.R.; Sokolov, A.P.; et al. Tailored CO2-philic Gas Separation Membranes via One-Pot Thiol-ene Chemistry. Macromolecules 2019, 52, 5819–5828. [Google Scholar] [CrossRef]
- Kusuma, V.A.; Roth, E.; Clafshenkel, W.P.; Klara, S.S.; Zhou, X.; Venna, S.R.; Albenze, E.; Luebke, D.R.; Mauter, M.; Koepsel, R.R.; et al. Crosslinked poly(ethylene oxide) containing siloxanes fabricated through thiol-ene photochemistry. J. Polym. Sci. Part A Polym. Chem. 2015, 53, 1548–1557. [Google Scholar] [CrossRef]
- Alekseev, E.S.; Alentiev, A.Y.; Belova, A.S.; Bogdan, V.I.; Bogdan, T.V.; Bystrova, A.V.; Gafarova, E.R.; Golubeva, E.N.; Grebenik, E.A.; Gromov, O.I.; et al. Supercritical fluids in chemistry. Russ. Chem. Rev. 2020, 89, 1337–1427. [Google Scholar] [CrossRef]
- Temnikov, M.N.; Kononevich, Y.N.; Meshkov, I.B.; Buzin, M.I.; Vasil’Ev, V.G.; Nikiforova, G.G.; Muzafarov, A.M. Simple and fast method for producing flexible superhydrophobic aerogels by direct formation of thiol-ene networks in scCO2. Polymer 2018, 138, 255–266. [Google Scholar] [CrossRef]
- Temnikov, M.N.; Kononevich, Y.; Popov, A.Y.; Vasil’Ev, V.G.; Muzafarov, A. The Effect of the Co-Solvent on the Aerogel Formation Directly in Supercritical CO2 Medium. ChemistrySelect 2020, 5, 5014–5021. [Google Scholar] [CrossRef]
- Khanin, D.; Kononevich, Y.; Temnikov, M.; Morgalyuk, V.; Vasil’ev, V.; Popov, A.; Brel, V.; Papkov, V.; Muzafarov, A. New hybrid materials based on cyclophosphazene and polysiloxane precursors: Synthesis and properties. Polymer 2020, 186, 122011. [Google Scholar] [CrossRef]
- Wang, L.; Liu, W.; Guo, L.-X.; Lin, B.-P.; Zhang, X.-Q.; Sun, Y.; Yang, H. A room-temperature two-stage thiol–ene photoaddition approach towards monodomain liquid crystalline elastomers. Polym. Chem. 2017, 8, 1364–1370. [Google Scholar] [CrossRef]
- Hara, M.; Orito, T.; Nagano, S.; Seki, T. Humidity-responsive phase transition and on-demand UV-curing in a hygroscopic polysiloxane–surfactant nanohybrid film. Chem. Commun. 2018, 54, 1457–1460. [Google Scholar] [CrossRef]











































Publisher’s Note: MDPI stays neutral with regard to jurisdictional claims in published maps and institutional affiliations. |
© 2022 by the authors. Licensee MDPI, Basel, Switzerland. This article is an open access article distributed under the terms and conditions of the Creative Commons Attribution (CC BY) license (https://creativecommons.org/licenses/by/4.0/).
Share and Cite
Krizhanovskiy, I.; Temnikov, M.; Kononevich, Y.; Anisimov, A.; Drozdov, F.; Muzafarov, A. The Use of the Thiol-Ene Addition Click Reaction in the Chemistry of Organosilicon Compounds: An Alternative or a Supplement to the Classical Hydrosilylation? Polymers 2022, 14, 3079. https://doi.org/10.3390/polym14153079
Krizhanovskiy I, Temnikov M, Kononevich Y, Anisimov A, Drozdov F, Muzafarov A. The Use of the Thiol-Ene Addition Click Reaction in the Chemistry of Organosilicon Compounds: An Alternative or a Supplement to the Classical Hydrosilylation? Polymers. 2022; 14(15):3079. https://doi.org/10.3390/polym14153079
Chicago/Turabian StyleKrizhanovskiy, Ilya, Maxim Temnikov, Yuriy Kononevich, Anton Anisimov, Fedor Drozdov, and Aziz Muzafarov. 2022. "The Use of the Thiol-Ene Addition Click Reaction in the Chemistry of Organosilicon Compounds: An Alternative or a Supplement to the Classical Hydrosilylation?" Polymers 14, no. 15: 3079. https://doi.org/10.3390/polym14153079
APA StyleKrizhanovskiy, I., Temnikov, M., Kononevich, Y., Anisimov, A., Drozdov, F., & Muzafarov, A. (2022). The Use of the Thiol-Ene Addition Click Reaction in the Chemistry of Organosilicon Compounds: An Alternative or a Supplement to the Classical Hydrosilylation? Polymers, 14(15), 3079. https://doi.org/10.3390/polym14153079

