Chemical Composition and Rheological Properties of Seed Mucilages of Various Yellow- and Brown-Seeded Flax (Linum usitatissimum L.) Cultivars
Abstract
1. Introduction
2. Materials and Methods
2.1. Materials
2.2. Preparation of Flaxseed Mucilage
2.3. Analytical Methods
2.4. Rheometry
2.5. Statistical Methods
3. Results and Discussion
3.1. Yield and Properties of FSM Extracts
3.2. Composition of FSM
3.2.1. Ash and Elemental Composition
3.2.2. Proteins
3.2.3. Monosaccharide Composition
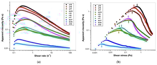
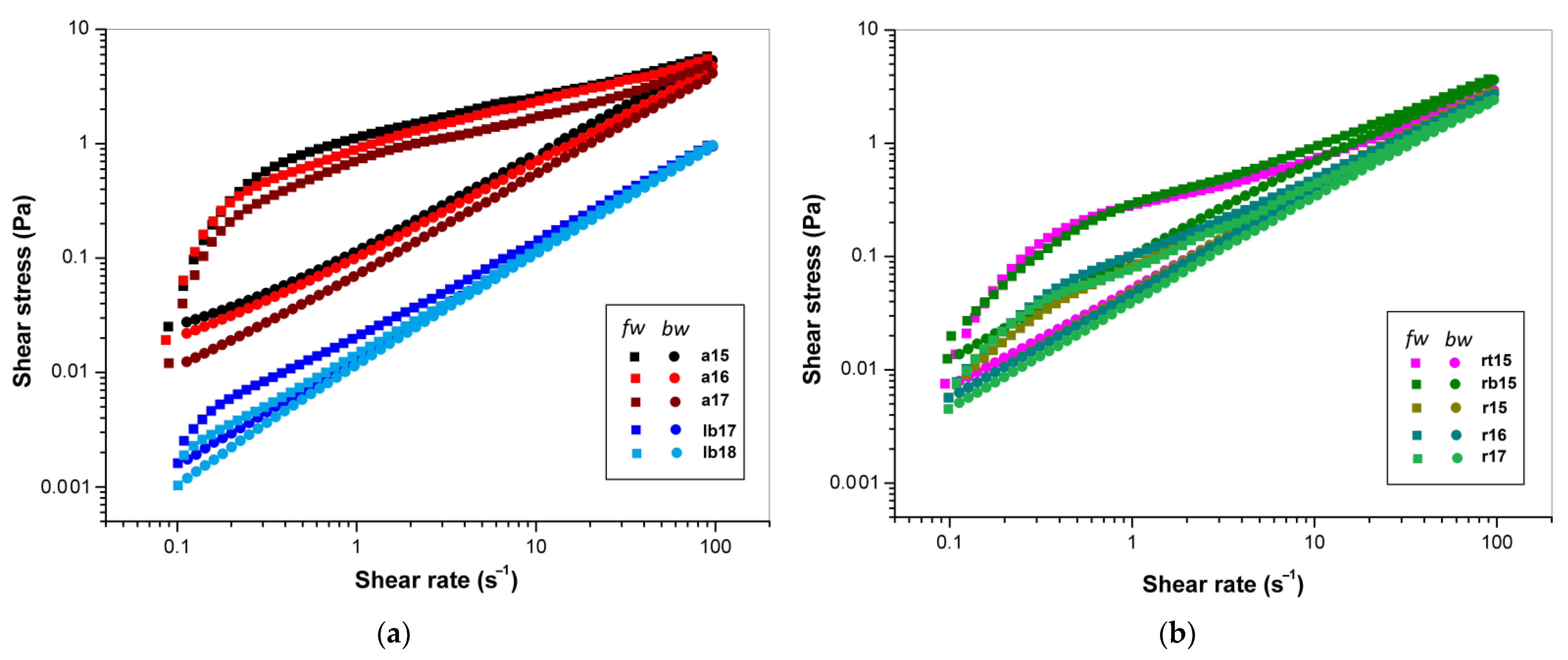
3.3. Rheological Properties
3.4. Statistical Evaluation of Analytical Data
4. Conclusions
Author Contributions
Funding
Institutional Review Board Statement
Informed Consent Statement
Data Availability Statement
Conflicts of Interest
Appendix A
- n < 1 for a pseudoplastic system;
- n > 1 for a dilatant system;
- n = 1 for a Newtonian system.
Appendix B
References
- Jhala, A.J.; Hall, L.M. Flax (Linum usitatissimum L.): Current uses and future applications. Aust. J. Basic Appl. Sci. 2010, 4, 4304–4312. [Google Scholar]
- Rubilar, M.; Gutiérrez, C.; Verdugo, M.; Shene, C.; Sineiro, J. Flaxseed as a source of functional ingredients. J. Soil Sci. Plant Nutr. 2010, 10, 373–377. [Google Scholar] [CrossRef]
- Miart, F.; Fournet, F.; Dubrulle, N.; Petit, E.; Demailly, H.; Dupont, L.; Zabijak, L.; Marcelo, P.; Boudaoud, A.; Pineau, C.; et al. Cytological approaches combined with chemical analysis reveals the layered nature of flax mucilage. Front. Plant Sci. 2019, 10, 684. [Google Scholar] [CrossRef] [PubMed]
- Ding, H.H.; Cui, S.W.; Goff, H.D.; Wang, Q.; Chen, J.; Han, N.F. Soluble polysaccharides from flaxseed kernel as a new source of dietary fibres: Extraction and physicochemical characterization. Int. Food Res. J. 2014, 56, 166–173. [Google Scholar] [CrossRef]
- Cui, W.; Mazza, G.; Oomah, B.D.; Biliaderis, C.G. Optimization of an aqueous extraction process for flaxseed gum by response surface methodology. Lebensm. Wiss Technol. 1994, 27, 363–369. [Google Scholar] [CrossRef]
- Kamel, R.; Afifi, S.M.; Kassem, I.A.; Elkasabgy, N.A.; Farag, M.A. Arabinoxylan and rhamnogalacturonan mucilage: Outgoing and potential trends of pharmaceutical, environmental, and medicinal merits. Int. J. Biol. Macromol. 2020, 165, 2550–2564. [Google Scholar] [CrossRef]
- Fedeniuk, R.W.; Biliaderis, C.G. Composition and physicochemical properties of linseed (Linum usitatissimum L.) mucilage. J. Agric. Food Chem. 1994, 42, 240–247. [Google Scholar] [CrossRef]
- Warrand, J.; Michaud, P.; Picton, L.; Muller, G.; Courtois, B.; Ralainirina, R.; Courtois, J. Large-scale purification of water-soluble polysaccharides from flaxseed mucilage, and isolation of a new anionic polymer. Chromatographia 2003, 58, 331–335. [Google Scholar]
- Ding, H.H.; Qian, K.; Goff, H.D.; Wang, Q.; Cui, S.W. Structural and conformational characterization of arabinoxylans from flaxseed mucilage. Food Chem. 2018, 254, 266–271. [Google Scholar] [CrossRef]
- Qian, K.Y.; Cui, S.W.; Nikiforuk, J.; Goff, H.D. Structural elucidation of rhamnogalacturonans from flaxseed hulls. Carbohydr. Res. 2012, 362, 47–55. [Google Scholar] [CrossRef]
- Warrand, J.; Michaud, P.; Picton, L.; Muller, G.; Courtois, B.; Pailanirina, R.; Courtois, J. Structural investigations of the neutral polysaccharide of Linum usitatissimum L. seeds mucilage. Int. J. Biol. Macromol. 2005, 35, 121–125. [Google Scholar] [CrossRef] [PubMed]
- Naran, R.; Chen, G.; Carpita, N.C. Novel rhamnogalacturonan I and arabinoxylan polysaccharides of flax seed mucilage. Plant Physiol. 2008, 148, 132–141. [Google Scholar] [CrossRef] [PubMed]
- Ray, S.; Paynel, F.; Morvan, C.; Lerouge, P.; Driouich, A.; Ray, B. Characterization of mucilage polysaccharides, arabinogalactan proteins and cell-wall hemicellulosic polysaccharides isolated from flax seed meal: A wealth of structural moieties. Carbohydr. Polym. 2013, 93, 651–660. [Google Scholar] [CrossRef] [PubMed]
- Cui, W.; Mazza, G. Physicochemical characteristics of flaxseed gum. Int. Food Res. J. 1996, 29, 397–402. [Google Scholar] [CrossRef]
- Chen, W.Y.; Chang, H.Y.; Lu, J.K.; Huang, Y.C.; Harroun, S.G.; Tseng, Y.T.; Li, Y.J.; Huang, C.C.; Chang, H.T. Self-Assembly of Antimicrobial Peptides on Gold Nanodots: Against Multidrug-Resistant Bacteria and Wound-Healing Application. Adv. Funct. Mater. 2015, 25, 7189–7199. [Google Scholar] [CrossRef]
- Cui, W.; Mazza, G.; Biliaderis, C.G. Chemical structure, molecular size distributions, and rheological properties of flaxseed gum. J. Agric. Food Chem. 1994, 42, 1891–1895. [Google Scholar] [CrossRef]
- Kaur, M.; Kaur, R.; Punia, S. Characterization of mucilages extracted from different flaxseed (Linum usitatissiumum L.) cultivars: A heteropolysaccharide with desirable functional and rheological properties. Int. J. Biol. Macromol. 2018, 117, 919–927. [Google Scholar] [CrossRef]
- Kaewmanee, T.; Bagnasco, L.; Benjakul, S.; Lanteri, S.; Morelli, C.F.; Speranza, G.; Cosulich, M.E. Characterisation of mucilages extracted from seven Italian cultivars of flax. Food Chem. 2014, 148, 60–69. [Google Scholar] [CrossRef]
- Chornick, T.L. Effect of Cultivar and Sequential Ethanol Precipitation on the Physicochemical Properties of Flaxseed Mucilage. Master’s Thesis, University of Manitoba, Winnipeg, MB, Canada, 2002. Available online: https://mspace.lib.umanitoba.ca/bitstream/handle/1993/19583/Chornick_Effect_of.pdf (accessed on 25 March 2022).
- Synytsya, A.; Poučková, P.; Zadinová, M.; Troshchynska, Y.; Štětina, J.; Synytsya, A.; Saloň, I.; Král, V. Hydrogels based on low-methoxyl amidated citrus pectin and flaxseed gum formulated with tripeptide glycyl-l-histidyl-l-lysine improve the healing of experimental cutting wounds in rats. Int. J. of Biol. Macromol. 2020, 165, 3156–3168. [Google Scholar] [CrossRef]
- Karami, N.; Kamkar, A.; Shahbazi, Y.; Misaghi, A. Edible films based on chitosan-flaxseed mucilage: In vitro antimicrobial and antioxidant properties and their application on survival of food-borne pathogenic bacteria in raw minced trout fillets. Pharm. Biomed. Res. 2019, 5, 10–16. [Google Scholar] [CrossRef]
- Tee, Y.B.; Wong, J.; Tan, M.C.; Talib, R.A. Development of edible film from flaxseed mucilage. BioResources 2016, 11, 10286–10295. [Google Scholar] [CrossRef]
- Soleimani-Rambod, A.; Zomorodi, S.; Naghizadeh Raeisi, S.; Khosrowshahi Asl, A.; Shahidi, S.A. The effect of xanthan gum and flaxseed mucilage as edible coatings in Cheddar cheese during ripening. Coatings 2018, 8, 80. [Google Scholar] [CrossRef]
- Rodrigues, F.J.; Cedran, M.F.; Garcia, S. Influence of linseed mucilage incorporated into an alginate-base edible coating containing probiotic bacteria on shelf-life of fresh-cut yacon (Smallanthus sonchifolius). Food Bioproc. Technol. 2018, 11, 1605–1614. [Google Scholar] [CrossRef]
- Treviño-Garza, M.Z.; Correa-Cerón, R.C.; Ortiz-Lechuga, E.G.; Solís-Arévalo, K.K.; Castillo-Hernández, S.L.; Gallardo-Rivera, C.T.; Arévalo Niño, K. Effect of linseed (Linum usitatissimum) mucilage and chitosan edible coatings on quality and shelf-life of fresh-cut cantaloupe (Cucumis melo). Coatings 2019, 9, 368. [Google Scholar] [CrossRef]
- Bitaghsir, M.; Kadivar, M.; Shahedi, M. Investigation of the possibility of producing low-calorie cake containing flaxseed mucilage as fat replacer. Iran. J. Nutr. Sci. Food Technol. 2014, 9, 73–82. [Google Scholar]
- Basiri, S.; Haidary, N.; Shekarforoush, S.S.; Niakousari, M. Flaxseed mucilage: A natural stabilizer in stirred yogurt. Carbohydr. Polym. 2018, 187, 59–65. [Google Scholar] [CrossRef]
- Akhtar, M.N.; Mushtaq, Z.; Ahmad, N.; Khan, M.K.; Ahmad, M.H.; Hussain, A.I.; Imran, M. Optimal ultrasound-assisted process extraction, characterization, and functional product development from flaxseed meal derived polysaccharide gum. Processes 2019, 7, 189. [Google Scholar] [CrossRef]
- Arabshahi-Delouee, S.; Rahati Ghochani, S.; Mohammadi, A. Effect of flaxseed (Linum usitatissimum) mucilage on physicochemical and sensorial properties of semi-fat set yoghurt. J. Food Biosci. Technol. 2020, 10, 91–100. [Google Scholar]
- Korus, J.; Witczak, T.; Ziobro, R.; Juszczak, L. Linseed (Linum usitatissimum L.) mucilage as a novel structure forming agent in gluten-free bread. LWT-Food Sci. Technol. 2015, 62, 257–264. [Google Scholar] [CrossRef]
- Chen, H.H.; Xu, S.Y.; Wang, Z. Interaction between flaxseed gum and meat protein. J. Food Eng. 2007, 80, 1051–1059. [Google Scholar] [CrossRef]
- Kishk, Y.F.; Elsheshetawy, H.E.; Mahmoud, E.A. Influence of isolated flaxseed mucilage as a non-starch polysaccharide on noodle quality. Int. J. Food Sci. Technol. 2011, 46, 661–668. [Google Scholar] [CrossRef]
- Wang, D.W.; Zhang, Y.R.; Huang, H.F. A study on application of flaxseed gum in ice cream. J. Jilin Agricult. Univ. 2003, 25, 224–227. [Google Scholar]
- Stewart, S.; Mazza, G. Effect of flaxseed gum on quality and stability of a model salad dressing. J. Food Quality 2000, 23, 373–390. [Google Scholar] [CrossRef]
- Chen, H.H.; Xu, S.; Wang, Z. Film and foam properties of flaxseed gum. Food Ferment. Industr. 2006, 32, 34–37. [Google Scholar]
- Alix, S.; Marais, S.; Morvan, C.; Lebrun, L. Biocomposite materials from flax plants: Preparation and properties. Composites A Appl. Sci. Manufact. 2008, 39, 1793–1801. [Google Scholar] [CrossRef]
- Bustamante, M.; Villarroel, M.; Rubilar, M.; Shene, C. Lactobacillus acidophilus La-05 encapsulated by spray drying: Effect of mucilage and protein from flaxseed (Linum usitatissimum L.). LWT-Food Sci. Technol. 2015, 62, 1162–1168. [Google Scholar] [CrossRef]
- Treviño-Garza, M.Z.; Yañez-Echeverría, S.A.; García, S.; Mora-Zúñiga, A.E.; Arévalo-Niño, K. Physico-mechanical, barrier and antimicrobial properties of linseed mucilage films incorporated with H. virginiana extract. Mexican J. Chem. Eng. 2020, 19, 983–996. [Google Scholar]
- Fang, S.; Zhou, Q.; Hu, Y.; Liu, F.; Mei, J.; Xie, J. Antimicrobial carvacrol incorporated in flaxseed gum-sodium alginate active films to improve the quality attributes of chinese sea bass (Lateolabrax maculatus) during cold storage. Molecules 2019, 24, 3292. [Google Scholar] [CrossRef]
- Barbary, O.M.; Al-Sohaimy, S.A.; El-Saadani, M.A.; Zeitoun, A.M.A. Extraction, composition and physicochemical properties of flaxseed mucilage. J Adv. Agric. Res. 2009, 14, 605–620. [Google Scholar]
- Liang, S.; Li, X.; Ma, X.; Li, A.; Wang, Y.; Reaney, M.J.; Shim, Y.Y. A flaxseed heteropolysaccharide stimulates immune responses and inhibits hepatitis B virus. Int. J. Biol. Macromol. 2019, 136, 230–240. [Google Scholar] [CrossRef]
- Kristensen, M.; Jensen, M.G.; Aarestrup, J.; Petersen, K.E.; Søndergaard, L.; Mikkelsen, M.S.; Astrup, A. Flaxseed dietary fibers lower cholesterol and increase fecal fat excretion, but magnitude of effect depends on food type. Nutr. Metabol. 2012, 9, 8. [Google Scholar] [CrossRef] [PubMed]
- Luo, J.; Li, Y.; Mai, Y.; Gao, L.; Ou, S.; Wang, Y.; Liu, L.; Peng, X. Flaxseed gum reduces body weight by regulating gut microbiota. J. Funct. Foods 2018, 47, 136–142. [Google Scholar] [CrossRef]
- Biao, Y.; Jiannan, H.; Yaolan, C.; Shujie, C.; Dechun, H.; Mcclements, D.J.; Chongjiang, C. Identification and characterization of antioxidant and immune-stimulatory polysaccharides in flaxseed hull. Food Chem. 2020, 315, 126266. [Google Scholar] [CrossRef] [PubMed]
- Inamdar, M.A.; Abhang, P.C.; Momin, M. Fenugreek & Flax Seeds Mucilages Used as a Pharmaceutical Binder; LAP LAMBERT Academic Publisher.: Chisinau, Moldova, 2013; pp. 1–76. [Google Scholar]
- Haseeb, M.T.; Hussain, M.A.; Yuk, S.H.; Bashir, S.; Nauman, M. Polysaccharides based superabsorbent hydrogel from Linseed: Dynamic swelling, stimuli responsive on–off switching and drug release. Carbohydr. Polym. 2016, 136, 750–756. [Google Scholar] [CrossRef] [PubMed]
- Sheikh, F.A.; Hussain, M.A.; Ashraf, M.U.; Haseeb, M.T.; Farid-ul-Haq, M. Linseed hydrogel based floating drug delivery system for fluoroquinolone: Design, in vitro drug release and in vivo real-time floating detection. Saudi Pharm. J. 2020, 28, 538–549. [Google Scholar] [CrossRef] [PubMed]
- Basu, S.; Chakrabatorty, S.; Bandyopadhyay, A.K. Development and evaluation of a mucoadhesive nasal gel of midazolam prepared with Linum usitatissimum L. seed mucilage. Sci. Pharm. 2009, 77, 899–910. [Google Scholar] [CrossRef][Green Version]
- Basu, S.; Bandyopadhyay, A.K. Characterization of mucoadhesive nasal gels containing midazolam hydrochloride prepared from Linum usitatissimum L. mucilage. Braz. J. Pharm. Sci. 2011, 47, 817–823. [Google Scholar] [CrossRef][Green Version]
- Nerkar, P.P.; Gattani, S.G. Oromucosal delivery of venlafaxine by linseed mucilage based gel: In vitro and in vivo evaluation in rabbits. Arch. Pharm. Res. 2013, 36, 846–853. [Google Scholar] [CrossRef]
- Deng, Y.; Chen, J.; Huang, J.; Yang, X.; Zhang, X.; Yuan, S.; Liao, W. Preparation and characterization of cellulose/flaxseed gum composite hydrogel and its hemostatic and wound healing functions evaluation. Cellulose 2020, 27, 3971–3988. [Google Scholar] [CrossRef]
- Haseeb, M.T.; Hussain, M.A.; Abbas, K.; Youssif, B.G.; Bashir, S.; Yuk, S.H.; Bukhari, S.N.A. Linseed hydrogel-mediated green synthesis of silver nanoparticles for antimicrobial and wound-dressing applications. Int. J. Nanomed. 2017, 12, 2845. [Google Scholar] [CrossRef]
- Wannerberger, K.; Nylander, T.; Nyman, M. Rheologicai and chemical properties of mucilage in different varieties from linseed (Linum ucitatissimum L). Acta Agric. Scan. 1991, 41, 311–319. [Google Scholar] [CrossRef]
- Liu, J.; Shim, Y.Y.; Shen, J.; Wang, Y.; Ghosh, S.; Reaney, M.J. Variation of composition and functional properties of gum from six Canadian flaxseed (Linum usitatissimum L.) cultivars. Int. J. Food Sci. Technol 2016, 51, 2313–2326. [Google Scholar] [CrossRef]
- Saha, D.; Bhattacharya, S. Hydrocolloids as thickening and gelling agents in food: A critical review. J. Food Sci. Technol. 2010, 47, 587–597. [Google Scholar] [CrossRef]
- Troshchynska, Y.; Bleha, R.; Kumbarová, L.; Sluková, M.; Sinica, A.; Štětina, J. Characterisation of flaxseed cultivars based on NIR diffusion reflectance spectra of whole seeds and derived samples. Czech J. Food Sci. 2019, 37, 374–382. [Google Scholar] [CrossRef]
- Troshchynska, Y.; Bleha, R.; Kumbarová, L.; Sluková, M.; Sinica, A.; Štětina, J. Discrimination of flax cultivars based on visible diffusion reflectance spectra and colour parameters of whole seeds. Czech J. Food Sci. 2019, 37, 199–204. [Google Scholar] [CrossRef]
- Ziolkovska, A. Laws of flaxseed mucilage extraction. Food Hydrocol. 2012, 26, 197–204. [Google Scholar] [CrossRef]
- Blakeney, A.B.; Harris, P.J.; Henry, R.J.; Stone, B.A. A simple and rapid preparation of alditol acetates for monosaccharide analysis. Carbohydr. Res. 1983, 113, 291–299. [Google Scholar] [CrossRef]
- Blumenkrantz, N.; Asboe-Hansen, G. New method for quantitative determination of uronic acids. Anal. Biochem. 1973, 54, 484–488. [Google Scholar] [CrossRef]
- Ghica, M.V.; Hîrjău, M.; Lupuleasa, D.; Dinu-Pîrvu, C.E. Flow and thixotropic parameters for rheological characterization of hydro-gels. Molecules 2016, 21, 786. [Google Scholar] [CrossRef]
- Wang, Y.; Li, D.; Wang, L.J.; Xue, J. Effects of high pressure homogenization on rheological properties of flaxseed gum. Carbohydr. Polym. 2011, 83, 489–494. [Google Scholar] [CrossRef]
- Ikeda, S.; Nishinari, K. “Weak gel”-type rheological properties of aqueous dispersions of non-aggregated κ-carrageenan helices. J. Agricult. Food Chem. 2001, 49, 4436–4441. [Google Scholar] [CrossRef] [PubMed]
- Özkan, N.; Xin, H.; Chen, X.D. Application of a depth sensing indentation hardness test to evaluate the mechanical properties of food materials. J. Food Sci. 2002, 65, 1814–1820. [Google Scholar] [CrossRef]
- Chen, Y.; Zhang, J.G.; Sun, H.J.; Wei, Z.J. Pectin from Abelmoschus esculentus: Optimization of extraction and rheological properties. Int. J. Biol. Macromol. 2014, 70, 498–505. [Google Scholar] [CrossRef]
- Iagher, F.; Reicher, F.; Ganter, J.L.M.S. Structural and rheological properties of polysaccharides from mango (Mangifera indica L.) pulp. Int. J. Biol. Macromol. 2002, 31, 9–17. [Google Scholar] [CrossRef]
- Ramachandran, S.; Chen, S.; Etzler, F. Rheological characterization of hydroxypropylcellulose gels. Drug Develop. Industr. Pharm. 1999, 25, 153–161. [Google Scholar] [CrossRef] [PubMed]
- Razavi, S.M.A.; Karazhiyan, H. Flow properties and tixotropy of selected hydrocolloids: Experimental and modeling studies. Food Hydrocol. 2009, 23, 908–912. [Google Scholar] [CrossRef]
- Lardy, F.; Vennat, B.; Pouget, M.P.; Pourrat, A. Functionalization of hydrocolloids: Principal component analysis applied to the study of correlations between parameters describing the consistency of hydrogels. Drug Develop. Industr. Pharm. 2000, 26, 715–721. [Google Scholar] [CrossRef]
- Fekri, N.; Khayami, M.; Heidari, R.; Jamee, R. Chemical analysis of flaxseed, sweet basil, dragon head and quince seed mucilages. Res. J. Biol. Sci. 2008, 3, 166–170. [Google Scholar]
- Kaushik, P.; Dowling, K.; Adhikari, R.; Barrow, C.J.; Adhikari, B. Effect of extraction temperature on composition, structure and functional properties of flaxseed gum. Food Chem. 2017, 215, 333–340. [Google Scholar] [CrossRef]
- Vieira, J.M.; Mantovani, R.A.; Raposo, M.F.J.; Coimbra, M.A.; Vicente, A.A.; Cunha, R.L. Effect of extraction temperature on rheological behavior and antioxidant capacity of flaxseed gum. Carbohydr. Polym. 2019, 213, 217–227. [Google Scholar] [CrossRef]
- Wang, Y.; Li, D.; Wang, L.J.; Li, S.J.; Adhikari, B. Effects of drying methods on the functional properties of flaxseed gum powders. Carbohydr. Polym. 2010, 81, 128–133. [Google Scholar] [CrossRef]
- Mazza, G.; Biliaderis, C.G. Functional properties of flax seed mucilage. J. Food Sci. 1989, 54, 1302–1305. [Google Scholar] [CrossRef]
- Qian, K.Y.; Cui, S.W.; Wu, Y.; Goff, H.D. Flaxseed gum from flaxseed hulls: Extraction, fractionation, and characterization. Food Hydrocol. 2012, 28, 275–283. [Google Scholar] [CrossRef]
- Oomah, B.D.; Kenaschuk, E.O.; Cui, W.; Mazza, G. Variation in the composition of water-soluble polysaccharides in flaxseed. J. Agric. Food Chem. 1995, 43, 1484–1488. [Google Scholar] [CrossRef]
- Guo, Q.; Zhu, X.; Zhen, W.; Li, Z.; Kang, J.; Sun, X.; Wang, S.; Cui, S.W. Rheological properties and stabilizing effects of high-temperature extracted flaxseed gum on oil/water emulsion systems. Food Hydrocol. 2021, 112, 106289. [Google Scholar] [CrossRef]
- Kjøniksen, A.L.; Hiorth, M.; Roots, J.; Nyström, B. Shear-induced association and gelation of aqueous solutions of pectin. J. Phys. Chem. B 2003, 107, 6324–6328. [Google Scholar] [CrossRef]
- Tho, I.; Kjøniksen, A.L.; Nyström, B.; Roots, J. Characterization of association and gelation of pectin in methanol−water mixtures. Biomacromolecules 2003, 4, 1623–1629. [Google Scholar] [CrossRef]
- Bernaerts, T.M.; Kyomugasho, C.; Van Looveren, N.; Gheysen, L.; Foubert, I.; Hendrickx, M.E.; Van Loey, A.M. Molecular and rheological characterization of different cell wall fractions of Porphyridium cruentum. Carbohydr. Polym. 2018, 195, 542–550. [Google Scholar] [CrossRef]
- Larson, R.G. The Structure and Rheology of Complex Fluids; Oxford University Press: New York, NY, USA, 1999; Volume 150, pp. 1–663. [Google Scholar]
- Wientjes, R.H.; Duits, M.H.; Jongschaap, R.J.; Mellema, J. Linear rheology of guar gum solutions. Macromolecules 2000, 33, 9594–9605. [Google Scholar] [CrossRef]





| Sample | Cultivar | Breeder | Harvesting Year | Seed Color | Fatty Acid Composition |
|---|---|---|---|---|---|
| a15 | Amon | Agritec (Šumperk, CR) | 2015 | yellow | low linolenic, high linoleic |
| a16 | Amon | 2016 | |||
| a17 | Amon | 2017 | |||
| r15 | Raciol | 2015 | medium linolenic/ linoleic | ||
| r16 | Raciol | 2016 | |||
| r17 | Raciol | 2017 | |||
| rb15 | Raciol Bio | 2015 | |||
| lb17 | Libra Bio | Limagrain Advanta Nederland, B.V. (Rilland, Holland) | 2017 | brown | high linolenic, low linoleic |
| lb18 | Libra Bio | 2018 | |||
| rt15 | Recital | Laboulet Semences (Airaines, France) | 2015 |
| Sample | Yield (% w/w) | pH | κ (mS cm−1) * |
|---|---|---|---|
| a15 | 7.9 | 5.79 ± 0.07 b | 1.645 ± 0.005 b |
| a16 | 10.0 | 6.11 ± 0.01 d | 2.138 ± 0.004 f |
| a17 | 7.5 | 5.98 ± 0.04 bcd | 1.712 ± 0.003 cd |
| r15 | 8.6 | 5.84 ± 0.02 bcd | 1.724 ± 0.001 cd |
| r16 | 8.7 | 6.07 ± 0.08 cd | 1.699 ± 0.006 c |
| r17 | 7.0 | 5.86 ± 0.05 bcd | 1.959 ± 0.002 e |
| rb15 | 9.1 | 5.83 ± 0.08 bc | 1.714 ± 0.001 cd |
| lb17 | 6.4 | 5.47 ± 0.01 a | 1.741 ± 0.005 d |
| lb18 | 9.7 | 5.48 ± 0.01 a | 1.694 ± 0.002 c |
| rt15 | 10.0 | 5.37 ± 0.04 a | 1.395 ± 0.001a |
| Sample | Content (% w/w) | |||||||||
|---|---|---|---|---|---|---|---|---|---|---|
| Organic Elements | Mineral Elements | Proteins * | Ash * | |||||||
| N | C | H | S | Na | K | Mg | Ca | |||
| a15 | 0.96 | 37.18 | 6.13 | 0.12 | 1.52 | 2.80 | 0.47 | 0.77 | 4.83 ± 0.31 a | 19.63 ± 0.39 d |
| a16 | 1.82 | 38.20 | 5.91 | 0.20 | 0.33 | 4.06 | 0.25 | 0.53 | 10.14 ± 0.16 d | 10.32 ± 0.22 a |
| a17 | 1.42 | 37.93 | 5.87 | 0.16 | 0.41 | 3.62 | 0.33 | 0.84 | 5.88 ± 0.12 ab | 10.48 ± 0.21 a |
| r15 | 1.42 | 37.78 | 5.71 | 0.18 | 0.38 | 1.96 | 0.27 | 0.52 | 9.88 ± 0.20 d | 10.12 ± 0.21 a |
| r16 | 1.77 | 37.94 | 5.82 | 0.21 | 0.54 | 4.22 | 0.46 | 0.83 | 10.38 ± 0.21 d | 10.73 ± 0.22 a |
| r17 | 1.40 | 37.71 | 5.74 | 0.18 | 0.40 | 3.45 | 0.35 | 0.77 | 6.65 ± 0.13 b | 11.09 ± 0.20 a |
| rb15 | 1.28 | 37.68 | 5.88 | 0.16 | 0.58 | 3.64 | 0.43 | 0.59 | 7.98 ± 0.15 c | 10.14 ± 0.21 a |
| lb17 | 3.04 | 37.04 | 5.76 | 0.33 | 0.13 | 5.86 | 0.27 | 0.40 | 16.95 ± 0.34 f | 12.93 ± 0.26 b |
| lb18 | 1.91 | 37.77 | 5.80 | 0.22 | 0.60 | 4.47 | 0.21 | 0.43 | 12.60 ± 0.27 e | 15.22 ± 0.30 c |
| rt15 | 1.39 | 38.31 | 5.87 | 0.19 | 0.21 | 3.12 | 0.17 | 0.60 | 13.55 ± 0.23 e | 10.97 ± 0.22 a |
| Sample | Molar Ratio (mol%) * | Content (% w/w) | |||||||
|---|---|---|---|---|---|---|---|---|---|
| Fuc | Ara | Man | Glc | Gal | Rha | Xyl | NS † | UA † | |
| a15 | 4.75 | 13.27 | 0.15 | 16.00 | 25.28 | 8.87 | 31.69 | 29.61 ± 0.27 b | 21.07 ± 0.34 e |
| a16 | 3.66 | 11.47 | 0.48 | 26.21 | 24.80 | 7.89 | 25.48 | 32.54 ± 0.25 c | 23.85 ± 0.42 f |
| a17 | 4.36 | 12.56 | 0.35 | 20.17 | 25.25 | 8.76 | 28.55 | 30.57 ± 0.26 b | 13.37 ± 0.29 d |
| r15 | 3.27 | 15.36 | 0.17 | 18.85 | 17.80 | 6.82 | 37.74 | 35.06 ± 0.29 d | 11.05 ± 0.23 bc |
| r16 | 3.62 | 15.22 | 0 | 21.86 | 17.61 | 6.45 | 35.25 | 35.81 ± 0.32 d | 9.51 ± 0.21 b |
| r17 | 3.71 | 15.17 | 0.18 | 18.98 | 16.89 | 6.43 | 38.65 | 37.88 ± 0.19 e | 21.96 ± 0.46 e |
| rb15 | 3.31 | 15.71 | 0.29 | 20.37 | 18.72 | 5.93 | 35.67 | 37.49 ± 0.31 e | 10.25 ± 0.21 b |
| lb17 | 6.39 | 8.26 | 2.14 | 17.32 | 30.00 | 12.56 | 23.31 | 22.81 ± 0.21 a | 21.77 ± 0.48 e |
| lb18 | 3.78 | 9.17 | 0 | 29.72 | 24.98 | 8.45 | 23.90 | 33.25 ± 0.28 c | 6.88 ± 0.15 a |
| rt15 | 3.20 | 14.82 | 0.18 | 24.65 | 18.56 | 6.87 | 31.73 | 38.16 ± 0.32 e | 12.62 ± 0.26 cd |
| Parameter | Sample | |||||||||
|---|---|---|---|---|---|---|---|---|---|---|
| a15 | a16 | a17 | r15 | r16 | r17 | rb15 | lb17 | lb18 | rt15 | |
| Kbw (mPa·sn) | 109.02 ± 4.93 d | 106.67 ± 3.03 d | 68.62 ± 2.65 c | 64.76 ± 0.55 c | 56.21 ± 0.56 bc | 47.83 ± 1.61 b | 150.9 ± 3.84 e | 15.33 ± 0.23 a | 12.17 ± 0.33 a | 58.11 ± 2.47 bc |
| nbw | 0.838 ± 0.012 bc | 0.826 ± 0.007 b | 0.865 ± 0.003 c | 0.837 ± 0.002 bc | 0.844 ± 0.001 bc | 0.856 ± 0.005 bc | 0.738 ± 0.003 a | 0.921 ± 0.005 d | 0.954 ± 0.004 e | 0.848 ± 0.005 bc |
| R2 | 0.9998 | 0.9991 | 0.9998 | 0.9993 | 0.9997 | 0.9992 | 0.9995 | 0.9999 | 0.9996 | 0.9994 |
| τY (mPa) | 571.3 ± 28.9 e | 348.7 ± 16.5 d | 268 ± 18 c | 34.7 ± 2 a | 52.3 ± 4.2 a | 38.1 ± 2.4 a | 153.1 ± 9.7 b | 4.7 ± 0.2 a | 2.9 ± 0.1 a | 146 ± 8 b |
| A (mPa) | 30.81 ± 0.80 abc | 209.0 ± 15.4 abc | 115.6 ± 9.8 ab | 1.467 ± 0.044 a | 12.20 ± 3.07 ab | 14.04 ± 2.21 ab | 43.26 ± 8.25 bc | 20.96 ± 1.94 abc | 2.41 ± 1.40 a | 51.03 ± 7.06 d |
| K′ (mPa·sn) | 6.27 ± 0.08 ef | 7.39 ± 0. 62 f | 4.12 ± 0.23 cd | 5.29 ± 0.10 de | 4.19 ± 0.10 cd | 3.28 ± 0.11 bc | 21.57 ± 0.26 g | 0.88 ± 0.03 a | 0.50 ± 0.02 a | 2.72 ± 0.09 b |
| n′ | 1.411 ± 0.010 b | 1.412 ± 0.053 b | 1.515 ± 0.032 bc | 1.454 ± 0.031 bc | 1.487 ± 0.013 bc | 1.578 ± 0.051 c | 1.162 ± 0.006 a | 1.842 ± 0.005 d | 1.946 ± 0.002 d | 1.598 ± 0.011 c |
| R2 | 0.9966 | 0.9973 | 0.9870 | 0.9987 | 0.9986 | 0.9988 | 0.9986 | 0.9966 | 0.9976 | 0.9989 |
| K″ (mPa·sn) | 76.11 ± 1.41 d | 59.63 ± 0.86 c | 61.77 ± 1.58 c | 54.66 ± 1.26 bc | 56.79 ± 1.07 c | 47.82 ± 0.09 b | 138.6 ± 2.17 e | 16.04 ± 0.92 a | 9.80 ± 0.54 a | 55.22 ± 3.14 bc |
| n″ | 0.771 ± 0.016 b | 0.831 ± 0.004 bc | 0.795 ± 0.007 bc | 0.828 ± 0.008 bc | 0.765 ± 0.005 b | 0.811 ± 0.053 bc | 0.651 ± 0.004 a | 0.892 ± 0.015 c | 1.020 ± 0.015 d | 0.778 ± 0.011 b |
| R2 | 0.9990 | 0.9998 | 0.9947 | 0.9992 | 0.9996 | 0.9983 | 0.9995 | 0.9975 | 0.9984 | 0.9995 |
| ωc (Rad·s−1) | 52.29 ± 1.16 c | 39.75 ± 0.59 b | 37.74 ± 1.44 b | 41.99 ± 2.25 b | 37.32 ± 1.68 b | 35.24 ± 1.84 b | 39.16 ± 0.74 b | 17.47 ± 0.78 a | 24.32 ± 0.77 a | 37.17 ± 2.07 b |
| Ahyst (Pa·s−1) | 120.85 ± 6.63 cd | 136.70 ± 6.25 d | 107.79 ± 5.72 d | 10.13 ± 0.42 abc | 11.18 ± 0.30 abc | 10.32 ± 0.69 abc | 23.46 ± 0.12 bc | 5.30 ± 0.04 ab | 3.28 ± 0.01 a | 28.18 ± 0.49 a |
| Ihyst (%) | 29.80 ± 1.44 b | 36.14 ± 1.36 c | 34.69 ± 0.97 c | 6.45 ± 0.31 a | 7.45 ± 0.26 a | 7.66 ± 0.54 a | 10.43 ± 0.10 a | 10.10 ± 0.66 a | 6.51 ± 0.16 a | 16.16 ± 0.25 a |
Publisher’s Note: MDPI stays neutral with regard to jurisdictional claims in published maps and institutional affiliations. |
© 2022 by the authors. Licensee MDPI, Basel, Switzerland. This article is an open access article distributed under the terms and conditions of the Creative Commons Attribution (CC BY) license (https://creativecommons.org/licenses/by/4.0/).
Share and Cite
Troshchynska, Y.; Bleha, R.; Synytsya, A.; Štětina, J. Chemical Composition and Rheological Properties of Seed Mucilages of Various Yellow- and Brown-Seeded Flax (Linum usitatissimum L.) Cultivars. Polymers 2022, 14, 2040. https://doi.org/10.3390/polym14102040
Troshchynska Y, Bleha R, Synytsya A, Štětina J. Chemical Composition and Rheological Properties of Seed Mucilages of Various Yellow- and Brown-Seeded Flax (Linum usitatissimum L.) Cultivars. Polymers. 2022; 14(10):2040. https://doi.org/10.3390/polym14102040
Chicago/Turabian StyleTroshchynska, Yana, Roman Bleha, Andriy Synytsya, and Jiří Štětina. 2022. "Chemical Composition and Rheological Properties of Seed Mucilages of Various Yellow- and Brown-Seeded Flax (Linum usitatissimum L.) Cultivars" Polymers 14, no. 10: 2040. https://doi.org/10.3390/polym14102040
APA StyleTroshchynska, Y., Bleha, R., Synytsya, A., & Štětina, J. (2022). Chemical Composition and Rheological Properties of Seed Mucilages of Various Yellow- and Brown-Seeded Flax (Linum usitatissimum L.) Cultivars. Polymers, 14(10), 2040. https://doi.org/10.3390/polym14102040

