Synthesis and Characterization of Block Copolymers of Poly(silylene diethynylbenzen) and Poly(silylene dipropargyl aryl ether)
Abstract
1. Introduction
2. Experimental Methods
2.1. Materials
2.2. Synthesis of Block Copolymers
2.3. Characterizations
2.4. Preparation of Cured Copolymers
3. Results and Discussion
3.1. Structural Characterization of Copolymers
3.1.1. 1H-NMR Analysis
3.1.2. FT-IR Analysis
3.1.3. Molecular Weight
3.1.4. X-ray Diffraction
3.2. Processabilities of Copolymers
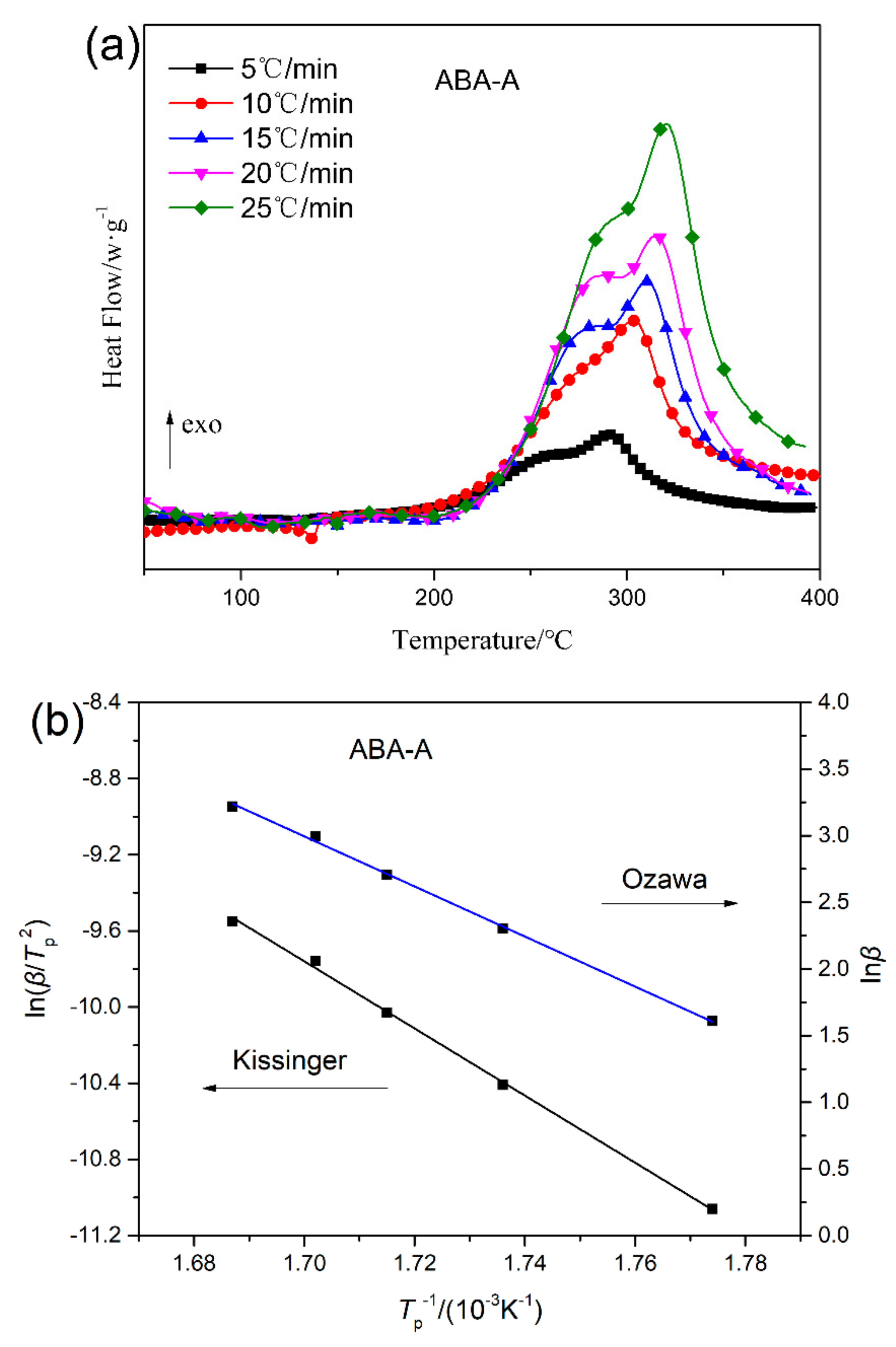
3.3. Thermal Curing Reactions of Copolymers
3.4. The Properties of Cured Copolymers
3.4.1. Mechanical Properties of Cured Copolymers
3.4.2. Thermal Properties of Cured Copolymers
4. Conclusions
Supplementary Materials
Author Contributions
Funding
Institutional Review Board Statement
Informed Consent Statement
Conflicts of Interest
References
- Huang, J.X.; Du, W.; Zhang, J.; Huang, F.R.; Du, L. Study on the copolymers of silicon-containing arylacetylene resin and acetylene-functional benzoxazine. Polym. Bull. 2009, 62, 127–138. [Google Scholar] [CrossRef]
- Luneva, L.K.; Sladkov, A.M.; Korshak, V.V. Organometallic polymers with acetylene bonds in the chain. Polym. Sci. USSR 1967, 9, 1019–1023. [Google Scholar] [CrossRef]
- Robert, J.P.C.; William, E.D.; Yang, Z.-X. Synthesis of poly(alkynylsilanes) having various aromatic groups in the backbone. J. Polym. Sci. Polym. Lett. 1990, 28, 431–437. [Google Scholar]
- Robert, J.P.C.; William, E.D.; Yang, Z.-X. Preparation of diphenylsilylene polymers containing main-chain acetylene and (hetero)aromatic groups: χ(2) Non-linear optical and other properties. J. Organomet. Chem. 1993, 455, 69–76. [Google Scholar]
- Robert, J.P.C.; William, E.D.; Yang, Z.-X. Preparation of oligomers containing tetra-phenylsilole, acetylene and aromatic groups in the main chain, and incorporation of iron carbonyl. J. Organomet. Chem. 1993, 456, 35–39. [Google Scholar]
- Robert, J.P.C.; William, E.D.; Yang, Z.-X. The palladium-catalysed cross-coupling polymerization of diethynylmethyl (n-octyl)silane with dihaloarenes. Eur. Polym. J. 1993, 29, 1563–1569. [Google Scholar]
- Itoh, M.; Mitsuzuka, M.; Iwata, K.; Inoue, K. A novel synthesis and extremely high thermal stability of poly[(phenylsilylene)ethynylene-1,3-phenyleneethynylene]. Macromolecules 1994, 27, 7917–7919. [Google Scholar] [CrossRef]
- Itoh, M.; Inoue, K.; Iwata, K.; Mitsuzuka, M.; Kakigano, T. New highly heat-resistant polymers containing silicon: Poly(silyleneethynylenephenyleneethynylene)s. Macromolecules 1997, 30, 694–701. [Google Scholar] [CrossRef]
- Kuroki, S.; Okita, K.; Itoh, M.; Kakigano, T.; Ishikawa, J. Thermosetting mechanism study of poly[(phenylsilylene)ethynylene-1,3-phenyleneethynylene] by solid-state NMR spec-troscopy and computational chemistry. Macromolecules 1998, 31, 2804–2808. [Google Scholar] [CrossRef]
- Buvat, P.; Jousse, F.; Delnaud, L.; Levassort, C. Synthesis and properties of new processable type polyarylacetylenes. In Proceedings of the International SAMPE Symposium and Exhibition, Long Beach, CA, USA, 2001; pp. 134–144. [Google Scholar]
- Zhang, J.; Huang, J.X.; Zhou, W.; Huang, F.R.; Du, L. Fiber reinforced silicon-containing arylacetylene resin composites. Express Polym. Lett. 2007, 1, 831–836. [Google Scholar] [CrossRef]
- Yan, H.; Qi, H.M.; Huang, F.R. Synthesis and characterization of poly(arylene acetylene) containing dimethylsilylene. Petrochem. Technol. 2004, 33, 880–884. [Google Scholar]
- Li, Q.; Zhou, Y.; Hang, X.D.; Deng, S.F.; Huang, F.R.; Du, L.; Li, Z.P. Synthesis and characterization of a novel arylacetylene oligomer containing POSS units in main chains. Eur. Polym. J. 2008, 44, 2538–2544. [Google Scholar] [CrossRef]
- Gao, F.; Zhang, L.L.; Tang, L.M.; Huang, F.R.; Du, L. Synthesis and characterization of Poly(tetramethyldisiloxane-ethynylenephenyleneethynylene) resins. J. Polym. Res. 2011, 18, 163–169. [Google Scholar] [CrossRef]
- Bu, X.J.; Zhou, Y.; Li, C.; Huang, F.R. Octakis(ethynyldimethylsiloxy) silsesquioxane: Synthesis and application in poly(silicane arylacetylene) resin. J. Appl. Polym. Sci. 2016, 133, 44158. [Google Scholar] [CrossRef]
- Chen, H.G.; Xin, H.; Lu, J.R.; Tang, J.K.; Yuan, Q.L.; Huang, F.R. Synthesis and properties of poly(dimethylsilylene-ethynylene-phenoxyphenoxyphenylene-ethynylene). High Perform. Polym. 2017, 29, 595–601. [Google Scholar] [CrossRef]
- Li, C.; Luo, J.W.; Ma, M.P.; Tang, J.K.; Yuan, Q.L.; Huang, F.R. Synthesis and properties of sulfur-contained poly(silylene arylacetylene)s. J. Polym. Sci. Polym. Chem. 2019, 57, 2324–2332. [Google Scholar] [CrossRef]
- Ma, M.P.; Li, C.; Liu, X.T.; Yuan, Q.L.; Huang, F.R. Synthesis and properties of a silicon-containing arylacetylene resin with 2,6-diphenoxypyridine unit. Chem. Select. 2020, 5, 1146–1152. [Google Scholar] [CrossRef]
- Huang, F.R.; Qi, H.M.; Yuan, Q.L. High-Temperature-Resistant Arylacetylene Resins and Their Composites; Science Press: Beijing, China, 2020; pp. 62–552. [Google Scholar]
- Agag, T.; Takeichi, T. Novel benzoxazine monomers containing p-phenyl propargyl ether: Polymerization of monomers and properties of polybenzoxazines. Macromolecules 2001, 34, 7257–7263. [Google Scholar] [CrossRef]
- Yang, G.; Li, B.; Zhang, M.N.; Yang, Z.Y. High heat-resistant linear propargyl ether-terminated polymers containing Si–H group: Synthesis, characterization, and properties. High Perform. Polym. 2014, 26, 290–297. [Google Scholar] [CrossRef]
- Yang, G.; Zhou, C.G.; Li, B. Novel propargylether-terminated monomers containing pyridine and phenyl pendent group: Synthesis, cure, and properties. J. Appl. Polym. Sci. 2014, 131. [Google Scholar] [CrossRef]
- Zheng, J.D.; Yuan, Q.L.; Cui, F.X.; Huang, F.R. Synthesis and characterization of silicon-containing arylacetylene ether of bisphenol a resins and their composites. IOP Conf. Ser. Mater. Sci. Eng. 2018, 397, 012020. [Google Scholar] [CrossRef]
- Wang, Q.; Yang, J.H.; Yuan, Q.L.; Huang, F.R.; Du, L. Synthesis and characterization of block copolymers of poly(silane arylacetylene) and poly(siloxane arylacetylene). CIESC J. 2014, 65, 4168–4175. [Google Scholar]
- Yang, T.J.; Dong, S.K.; Yuan, Q.L.; Huang, F.R. Preparation and properties of modified silicon-containing arylacetylene resin composite reinforced by carbon fiber cloth. Chin. J. Mater. Res. 2018, 32, 464–472. [Google Scholar]
- Tian, J.J.; Wang, X.F.; Wan, L.Q.; Hu, Y.H. Investigation of structure/property relationships of polytriazoles. High Perform. Polym. 2010, 22, 198–212. [Google Scholar] [CrossRef]
- Dhanalakshmi, J.P.; Pitchaimari, G.; Alam, S.; Vijayakumar, C.T. High-temperature matrix resins based on bispropargyl ethers (BPEs)—Part 2: Curing kinetics of structurally diverse BPEs and their blends with bismaleimide. High Perform. Polym. 2014, 26, 1–12. [Google Scholar] [CrossRef]
- Yu, G.; Wang, J.; Liu, C.; Lin, E.C.; Jian, X.G. Soluble and curable poly(phthalazinone ether amide)s with teminal cyano groups and their crosslinking to heat resistant resin. Polymer 2009, 50, 1700–1708. [Google Scholar] [CrossRef]
- Li, F.F.; Wang, C.F.; Shen, X.N.; Huang, F.R.; Du, L. Synthesis and characterization of novel silicon-containing aromatic bispropargyl ether resins and their composites. Polym. J. 2011, 43, 594–599. [Google Scholar] [CrossRef]
- Dong, S.K.; Yuan, Q.L.; Xu, Q.; Huang, F.R. Study on novel silicon-containing dipropargyl ethers. Mater. Sci. Eng. 2018, 397, 012007. [Google Scholar] [CrossRef]
- Luo, J.W.; Liu, X.T.; Ma, M.P.; Tang, J.K.; Huang, F.R. Dendritic poly(silylene arylacetylene) resins based on 1,3,5-triethynylbenzene. Eur. Polym. J. 2020, 129, 109628. [Google Scholar] [CrossRef]
- Niu, Q.; Tang, J.K.; Li, C.; Luo, J.W.; Liu, X.T.; Yuan, Q.L.; Huang, F.R. Preparation and properties of new poly (methylphenyl silylene aryl ether arylacetylene) resin. J. Aeronaut. Mater. 2019, 39, 69–74. [Google Scholar]
- Grenier-Loustalot, M.F.; Sanglar, C. Prepolymers with propargylic terminal residues—I. Simulation of reaction mechanisms and kinetics on monofunctional models. Eur. Polym. J. 1997, 33, 1125–1134. [Google Scholar] [CrossRef]
- Kissinger, H.E. Reaction kinetics in differential thermal analysis. Anal. Chem. 1957, 29, 1702–1706. [Google Scholar] [CrossRef]
- Ozawa, T. Nonisothermal kinetics and generalized time. Thermochim. Acta 1986, 100, 109–118. [Google Scholar] [CrossRef]









| Polymers | Designed Value (g/mol) | 1H-NMR Analysis (g/mol) | GPC Measurement | ||
|---|---|---|---|---|---|
| Đ | |||||
| AAA | 1402 | 1424 | 1843 | 3635 | 1.97 |
| ABA-A | 1758 | 1831 | 1789 | 3348 | 1.87 |
| ABA-O | 1706 | 1818 | 1757 | 3334 | 1.89 |
| Solvent | AAA | ABA-A | ABA-O |
|---|---|---|---|
| Petroleum ether | - | - | - |
| Toluene | + | + | + |
| Dichloromethane | + | + | + |
| Acetonitrile | - | ± | ± |
| Methanol | - | - | - |
| Ethanol | - | - | - |
| Acetone | ± | ± | + |
| Tetrahydrofuran | + | + | + |
| Ethyl acetate | + | ± | + |
| Dimethylformide | + | + | + |
| Dimethyl sulfoxide | ± | + | + |
| Polymers | AAA | ABA-A | ABA-O |
|---|---|---|---|
| Melting range (°C) 1 | 115–157 | 110–140 | 101–129 |
| Processing window (°C) 2 | 135–181 | 132–190 | 117–182 |
| Window width (°C) 2 | 46 | 58 | 65 |
| Polymers | Ti (°C) | Tp (°C) | Te (°C) | ΔH (J/g) |
|---|---|---|---|---|
| AAA | 201 | 249 | 277 | 274 |
| ABA-A | 222 | 302 | 336 | 897 |
| ABA-O | 220 | 293 | 319 | 865 |
| Polymers | Ea (kJ/mol) | ||
|---|---|---|---|
| Kissinger Method | Ozawa Method | Average | |
| AAA | 97.7 | 101.1 | 99.4 |
| ABA-A | 146.6 | 148.5 | 147.5 |
| ABA-O | 165.4 | 166.0 | 165.7 |
| Polymers | Flexural Strength (MPa) | Flexural Modulus (GPa) |
|---|---|---|
| AAA | 33.1 ± 3.2 | 2.8 ± 0.2 |
| ABA-A | 40.2 ± 1.0 | 3.1 ± 0.3 |
| ABA-O | 37.1 ± 2.2 | 3.0 ± 0.2 |
| Cured Polymers | N2 | Air | ||
|---|---|---|---|---|
| Td5 (°C) | Y800°C (%) | Td5 (°C) | Y800°C (%) | |
| AAA | 638 | 90.7 | 534 | 29.6 |
| ABA-A | 560 | 87.2 | 518 | 24.3 |
| ABA-O | 602 | 89.4 | 525 | 25.2 |
Publisher’s Note: MDPI stays neutral with regard to jurisdictional claims in published maps and institutional affiliations. |
© 2021 by the authors. Licensee MDPI, Basel, Switzerland. This article is an open access article distributed under the terms and conditions of the Creative Commons Attribution (CC BY) license (https://creativecommons.org/licenses/by/4.0/).
Share and Cite
Gao, M.; Shang, C.; Li, J.; Han, G.; Tang, J.; Yuan, Q.; Huang, F. Synthesis and Characterization of Block Copolymers of Poly(silylene diethynylbenzen) and Poly(silylene dipropargyl aryl ether). Polymers 2021, 13, 1511. https://doi.org/10.3390/polym13091511
Gao M, Shang C, Li J, Han G, Tang J, Yuan Q, Huang F. Synthesis and Characterization of Block Copolymers of Poly(silylene diethynylbenzen) and Poly(silylene dipropargyl aryl ether). Polymers. 2021; 13(9):1511. https://doi.org/10.3390/polym13091511
Chicago/Turabian StyleGao, Man, Chengyuan Shang, Jixian Li, Gang Han, Junkun Tang, Qiaolong Yuan, and Farong Huang. 2021. "Synthesis and Characterization of Block Copolymers of Poly(silylene diethynylbenzen) and Poly(silylene dipropargyl aryl ether)" Polymers 13, no. 9: 1511. https://doi.org/10.3390/polym13091511
APA StyleGao, M., Shang, C., Li, J., Han, G., Tang, J., Yuan, Q., & Huang, F. (2021). Synthesis and Characterization of Block Copolymers of Poly(silylene diethynylbenzen) and Poly(silylene dipropargyl aryl ether). Polymers, 13(9), 1511. https://doi.org/10.3390/polym13091511

