Effect of π-Conjugated Spacer in N-Alkylphenoxazine-Based Sensitizers Containing Double Anchors for Dye-Sensitized Solar Cells
Abstract
1. Introduction
2. Materials and Methods
2.1. General Method
2.2. Fabrication of DSSCs
2.3. Quantum Chemistry Computation
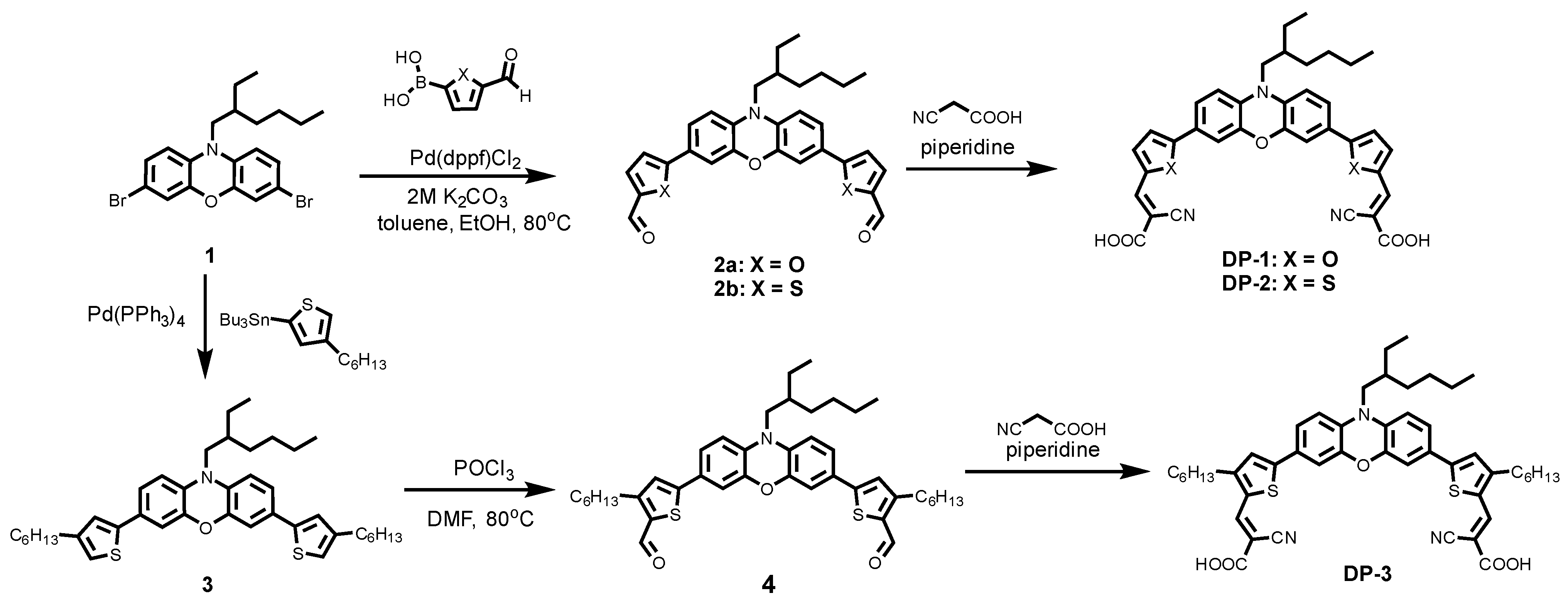
2.4. Synthesis
3. Result and Discussion
3.1. Synthesis
3.2. Optical Properties
3.3. Electrochemical Properties
3.4. Photovoltaic Properties
3.5. Electrochemical Impedance Spectroscopy Analysis
3.6. Computational Calculation
4. Conclusions
Author Contributions
Funding
Institutional Review Board Statement
Informed Consent Statement
Data Availability Statement
Conflicts of Interest
References
- Reagen, B.O.; Gratzel, M. High-Efficiency Solar Cell Based on Dye-Sensitized Colloidal TiO2 Films. Nature 1991, 353, 737–740. [Google Scholar] [CrossRef]
- Anscombe, N. Solar cells that mimic plants. Nat. Photonics 2011, 5, 266–267. [Google Scholar] [CrossRef]
- Mathew, S.; Yella, A.; Gao, P.; Humphry-Baker, R.; Curchod, B.F.E.; Ashari-Astani, N.; Tavernelli, I.; Rothlisberger, U.; Nazeeruddin, M.K.; Grätzel, M. Dye-Sensitized Solar Cells with 13% Efficiency Achieved through the Molecular Engineering of Porphyrin Sensitizers. Nat. Chem. 2014, 6, 242–247. [Google Scholar] [CrossRef] [PubMed]
- Decoppet, J.D.; Tsai, J.H.; Grätzel, C.; Wu, C.G.; Zakeeruddin, S.M.; Grätzel, M. Highly Efficient Light-Harvesting Ruthenium Sensitizer for Thin-Film Dye-Sensitized Solar Cells. ACS Nano 2009, 3, 3103–3109. [Google Scholar]
- Yao, Z.; Zhang, M.; Wu, H.; Yang, L.; Li, R.; Wang, P. Donor/acceptor indenoperylene dye for highly efficient organic dye-sensitized solar cells. J. Am. Chem. Soc. 2015, 137, 3799–3802. [Google Scholar] [CrossRef]
- Hung, W.I.; Liao, Y.Y.; Lee, T.H.; Ting, Y.C.; Ni, J.S.; Kao, W.S.; Lin, J.T.; Wei, T.C.; Yen, Y.S. Eugenic metal-free sensitizers with double anchors for high performance dye-sensitized solar cells. Chem. Commun. 2015, 51, 2152–2155. [Google Scholar] [CrossRef]
- Yen, Y.S.; Chou, H.H.; Chen, Y.C.; Hsu, C.Y.; Lin, J.T. Recent Developments in Molecule-Based Organic Materials for Dye-Sensitized Solar Cells. J. Mater. Chem. 2012, 22, 8734–8747. [Google Scholar] [CrossRef]
- Lee, C.P.; Li, C.T.; Ho, K.C. Use of organic materials in dye-sensitized solar cells. Mater. Today 2017, 20, 267–283. [Google Scholar] [CrossRef]
- Pashaei, B.; Shahroosvand, H.; Graetzel, M.; Nazeeruddin, M.K. Influence of Ancillary Ligands in Dye-Sensitized Solar Cells. Chem. Rev. 2016, 116, 9485–9564. [Google Scholar] [CrossRef]
- Mahmood, A. Triphenylamine based dyes for dye sensitized solar cells: A review. Sol. Energy 2016, 123, 127–144. [Google Scholar] [CrossRef]
- Ji, J.; Zhou, H.; Kim, H. Rational design criteria for D-π-A structured organic and porphyrin sensitizers for highly efficient dye-sensitized solar cells. J. Mater. Chem. A 2018, 6, 14518–14545. [Google Scholar] [CrossRef]
- Liang, M.; Liu, Y.; Xiao, B.; Yang, S.; Wang, Z.; Han, H. An analytical model for the transverse permeability of gas diffusion layer with electrical double layer effects in proton exchange membrane fuel cells. Int. J. Hydrog. Energy 2018, 43, 17880–17888. [Google Scholar] [CrossRef]
- Liang, M.; Fu, C.; Xiao, B.; Luo, L.; Wang, Z. A fractal study for the effective electrolyte diffusion through charged porous media. Int. J. Heat Mass Transf. 2019, 137, 365–371. [Google Scholar] [CrossRef]
- Mao, J.; Guo, F.; Ying, W.; Wu, W.; Li, J.; Hua, J. Benzotriazole-Bridged Sensitizers Containing a Furan Moiety for Dye-Sensitized Solar Cells with High Open-Circuit Voltage Performance. Chem. Asian J. 2012, 7, 982–991. [Google Scholar] [CrossRef]
- Chen, W.C.; Nachimuthu, S.; Jiang, J.C. Revealing the influence of Cyano in Anchoring groups of Organic Dyes on Adsorption Stability and Photovoltaic Properties for Dye-Sensitized Solar Cells. Sci. Rep. 2017, 10, 4979. [Google Scholar] [CrossRef]
- Zhang, L.; Cole, J.M. Anchoring Groups for Dye-Sensitized Solar Cells. ACS Appl. Mater. Interfaces 2015, 7, 3427–3455. [Google Scholar] [CrossRef] [PubMed]
- Yen, Y.S.; Ni, J.S.; Lin, T.Y.; Hung, W.I.; Lin, J.T.; Yeh, M.C.P. Imidazole-based sensitizers containging double anchors for dye-sensitized solar cells. Eur. J. Org. Chem. 2015, 2015, 7367–7377. [Google Scholar] [CrossRef]
- Kumar, D.; Chen, Y.L.; Tsai, C.H.; Wong, K.T. Dihydophenazine-based double-anchoring dye for dye-sensitized solar cells. J. Chin. Chem. Soc. 2020, 67, 361–369. [Google Scholar] [CrossRef]
- Zhang, W.; Dai, X.; Liao, X.; Zang, X.; Zhang, H.; Yin, X.; Yu, C.; Ke, C.; Hong, Y. Phenothiazine (or phenoxazine) based (D–π–A)–L2–(A–π–D–π–A)2–type organic dyes with five anchors for efficient dye-sensitized solar cells. Sol. Energy 2020, 212, 220–230. [Google Scholar] [CrossRef]
- Ren, X.; Jiang, S.; Cha, M.; Zhou, G.; Wang, Z.S. Thiophene-bridged double D-π-A dye for efficient dye-sensitized solar cell. Chem. Mater. 2012, 24, 3493–3499. [Google Scholar] [CrossRef]
- Hung, W.I.; Liao, Y.Y.; Hsu, C.Y.; Chou, H.H.; Lee, T.H.; Kao, W.S.; Lin, J.T. High-performance dye-sensitized solar cells based on phenothiazine dyes containing double anchors and thiophene spacers. Chem. Asian J. 2014, 9, 357–366. [Google Scholar] [CrossRef]
- Lin, R.Y.Y.; Wu, F.L.; Chang, C.H.; Chou, H.H.; Chuang, T.M.; Chu, T.C.; Hsu, C.Y.; Chen, P.W.; Ho, K.C.; Lo, Y.H.; et al. Y-shaped metal-free D–π–(A)2 sensitizers for high-performance dye-sensitized solar cells. J. Mater. Chem. 2014, 2, 3092–3101. [Google Scholar]
- Jiang, X.; Karlsson, K.M.; Gabrielsson, E.; Johansson, E.M.; Quintana, M.; Karlsson, M.; Sun, L.; Boschloo, G.; Hagfeldt, A. Highly efficient solid-state dye-sensitized solar cells based on triphenylamine dyes. Adv. Funct. Mater. 2011, 21, 2944–2952. [Google Scholar] [CrossRef]
- Shang, H.; Luo, Y.; Guo, X.; Huang, X.; Zhan, X.; Jiang, K.; Meng, Q. The effect of anchoring group number on the performance of dye-sensitized solar cells. Dyes Pigm. 2010, 87, 249–256. [Google Scholar] [CrossRef]
- Liu, J.; Luo, Y.; Li, L.; Wang, G.; Wang, X.; Chen, Y.; Liu, B. Photovoltaic Performance of 4,8-Bis(2′-ethylhexylthiophene)thieno[2,3-f]benzofuran-Based Dyes Fabricated with Different Donors in Dye-Sensitized Solar Cells. ACS Omega 2020, 5, 12440–12450. [Google Scholar] [CrossRef]
- Li, C.T.; Wu, F.L.; Liang, C.J.; Ho, K.C.; Lin, J.T. Effective suppression of interfacial charge recombination by a 12-crown-4 substituent on a double-anchored organic sensitizer and rotating disk electrochemical evidence. J. Mater. Chem. 2017, 5, 7586–7594. [Google Scholar] [CrossRef]
- Abbotto, A.; Manfredi, N.; Marinzi, C.; De Angelis, F.; Mosconi, E.; Yum, J.H.; Zhang, X.; Nazeeruddin, M.K.; Grätzel, M. Di-branched di-anchoring organic dyes for dye-sensitized solar cells. Energy Environ. Sci. 2009, 2, 1094–1101. [Google Scholar] [CrossRef]
- Kumar, D.; Wong, K.T. Organic dianchor dyes for dye-sensitized solar cells. Mater. Today Energy 2017, 5, 243–279. [Google Scholar] [CrossRef]
- Seo, K.D.; You, B.S.; Choi, I.T.; Ju, M.J.; You, M.; Kang, H.S.; Kim, H.K. Dual-channel anchorable organic dyes with well-defined structures for highly efficient dye-sensitized solar cells. J. Mater. Chem. A 2013, 1, 9947–9953. [Google Scholar] [CrossRef]
- Seo, K.D.; You, B.S.; Choi, I.T.; Ju, M.J.; You, M.; Kang, H.S.; Kim, H.K. Dye-Sensitized Solar Cells based on Organic Dual-Channel Anchorable Dyes with Well-Defined Core Bridge Structures. ChemSusChem 2013, 6, 2069–2073. [Google Scholar] [CrossRef]
- Manfredi, N.; Cecconi, B.; Abboto, A. Multi-Branched Multi-Anchoring Metal-Free Dyes for Dye-Sensitized Solar Cells. Eur. J. Org. Chem. 2014, 2014, 7069–7086. [Google Scholar] [CrossRef]
- Lo, C.Y.; Kumar, D.; Chou, S.H.; Chen, C.H.; Tsai, C.H.; Liu, S.H.; Chou, P.T.; Wong, K.T. Highly Twisted Dianchoring D–π–A Sensitizers for Efficient Dye-Sensitized Solar Cells. ACS Appl. Mater. Interfaces 2016, 8, 27832–27842. [Google Scholar] [CrossRef]
- Lee, Y.H.; Yun, H.J.; Choi, S.K.; Yang, Y.S.; Park, T.; Ahn, K.S.; Suresh, T.; Kim, J.H. Triphenylamine-based tri-anchoring organic dye with enhanced electron lifetime and long-term stability for dye sensitized solar cells. Synth. Met. 2016, 217, 248–255. [Google Scholar] [CrossRef]
- Tan, H.; Pan, C.; Wang, G.; Wu, Y.; Zhang, Y.; Zou, Y.; Yu, G.; Zhang, M. Phenoxazine-based organic dyes with different chromophores for dye-sensitized solar cells. Org. Electron. 2013, 14, 2795–2801. [Google Scholar] [CrossRef]
- Yook, K.S.; Lee, J. Organic materials for deep blue phosphorescent organic light-emitting diodes. Adv. Mater. 2012, 24, 3169–3190. [Google Scholar] [CrossRef]
- Huang, Z.S.; Zang, X.F.; Hua, T.; Wang, L.; Meier, H.; Cao, D. 2,3-Dipentyldithieno[3,2-f:2′,3′-h]quinoxaline-Based Organic Dyes for Efficient Dye-Sensitized Solar Cells: Effect of π-Bridges and Electron Donors on Solar Cell Performance. ACS Appl. Mater. Interfaces 2015, 7, 20418–20429. [Google Scholar] [CrossRef]
- Kim, B.G.; Chung, K.; Kim, J. Molecular Design Principle of All-organic Dyes for Dye-Sensitized Solar Cells. Chem. Eur. J. 2013, 19, 5220–5230. [Google Scholar] [CrossRef]
- Hara, K.; Sato, T.; Katoh, R.; Furube, A.; Ohga, Y.; Shinpo, A.; Suga, S.; Sayama, K.; Sugihara, H.; Arakawa, H. Molecular Design of Coumarin Dyes for Efficient Dye-Sensitized Solar Cells. J. Phys. Chem. B 2003, 107, 597–606. [Google Scholar] [CrossRef]
- Hagfeldt, A.; Grätzel, M. Light-Induced Redox Reactions in Nanocrystalline Systems. Chem. Rev. 1995, 95, 49–68. [Google Scholar] [CrossRef]
- Cisneros, R.; Beley, M.; Fauvarque, J.F.; Lapicque, F. Investigation of electron transfer processes involved in DSSC’s by wavelength dependent electrochemical impedance spectroscopy (λ-EIS). Electrochim. Acta 2015, 171, 49–58. [Google Scholar] [CrossRef]
- Rahman, M.; Nath, N.C.D.; Lee, J.J. Electrochemical Impedance Spectroscopic Analysis of Sensitization-Based Solar Cells. Isr. J. Chem. 2015, 55, 990–1001. [Google Scholar] [CrossRef]
- Zainudin, S.N.F.; Abdullah, H.; Markom, M. Electrochemical studies of tin oxide based-dye-sensitized solar cell (DSSC): A review. J. Mater. Sci. Mater. Electron. 2019, 30, 5342–5356. [Google Scholar] [CrossRef]
- Pignanelli, F.; Fernández-Werner, L.; Romero, M.; Mombrú, D.; Tumelero, M.A.; Pasa, A.; German, E.; Faccio, R.; Mombrú, A.W. Hydrogen titanate nanotubes for dye sensitized solar cells applications: Experimental and theoretical study. Mater. Res. Bull. 2018, 106, 40–48. [Google Scholar] [CrossRef]











| Dye | λabs, nm (ε, M−1cm−1) a | λem nm a | Eox b (V vs. NHE) | E0-0 c eV | E0-0* d (V vs. NHE) | HOMO/LUMO(eV) |
|---|---|---|---|---|---|---|
| DP-1 | 524 (16,862) | 636 | 1.02 | 2.12 | −1.10 | 5.42/3.30 |
| DP-2 | 526 (41,950) | 653 | 1.01 | 2.10 | −1.09 | 5.41/3.31 |
| DP-3 | 528 (47,760) | 647 | 1.00 | 2.09 | −1.09 | 5.40/3.31 |
| Dye | VOC (V) | JSC (mA/cm2) | η (%) | FF |
|---|---|---|---|---|
| DP-1 | 0.64 | 3.31 | 1.53 | 0.72 |
| DP-2 | 0.68 | 8.14 | 3.80 | 0.69 |
| DP-3 | 0.68 | 5.62 | 2.92 | 0.76 |
| DP-1 +10 mMCDCA | 0.65 | 3.64 | 1.80 | 0.76 |
| DP-2 +10 mMCDCA | 0.69 | 8.52 | 3.96 | 0.67 |
| DP-3 + 10 mMCDCA | 0.68 | 6.23 | 3.10 | 0.74 |
| N719 | 0.72 | 15.36 | 7.38 | 0.67 |
| Dye | State | Excitation b | λcal, eV | fc | ∆(Mulliken charge), d |e| | f × ∆q | Dye | State | Excitation b | λcal, eV | fc | ∆(Mulliken charge), d |e| | f × ∆q |
|---|---|---|---|---|---|---|---|---|---|---|---|---|---|
| GF1 | S1 | H → L (99%) | 2.19 | 0.34 | Ac: −0.19 | −0.13 | GF2 | S1 | H → L (99%) | 2.21 | 0.57 | Ac: −0.19 | −0.20 |
| F: −0.09 | T: −0.14 | ||||||||||||
| Poz: 0.56 | Poz: 0.61 | ||||||||||||
| F’: −0.09 | T’: −0.12 | ||||||||||||
| Ac’: −0.19 | Ac’: −0.17 | ||||||||||||
| S2 | H → L1 (95%) | 2.47 | 0.20 | Ac: −0.23 | −0.09 | S2 | H → L1 (97%) | 2.47 | 0.20 | Ac: −0.20 | −0.08 | ||
| F: −0.09 | T: −0.12 | ||||||||||||
| Poz: 0.64 | Poz: 0.68 | ||||||||||||
| F’: −0.09 | T’: −0.14 | ||||||||||||
| Ac’: −0.23 | Ac’: −0.22 | ||||||||||||
| S3 | H2 → L1 (6%)H1 → L (91%) | 3.23 | 0.62 | Ac: −0.12 | −0.15 | S3 | H1 → L (95%) | 3.27 | 0.54 | Ac: −0.11 | −0.09 | ||
| F: 0.05 | T: 0.01 | ||||||||||||
| Poz: 0.14 | Poz: 0.11 | ||||||||||||
| F’: 0.05 | T’: 0.05 | ||||||||||||
| Ac’: −0.12 | Ac’: −0.06 | ||||||||||||
| GF3 | S1 | H → L (99%) | 2.20 | 0.58 | Ac: −0.18 | −0.20 | |||||||
| T1: −0.14 | |||||||||||||
| Poz: 0.59 | |||||||||||||
| T1′: −0.12 | |||||||||||||
| Ac’: −0.16 | |||||||||||||
| S2 | H → L1 (96%) | 2.46 | 0.19 | Ac: −0.19 | −0.07 | ||||||||
| T1: −0.12 | |||||||||||||
| Poz: 0.66 | |||||||||||||
| T1′: −0.14 | |||||||||||||
| Ac’: −0.21 | |||||||||||||
| S3 | H1 → L (94%) | 3.19 | 0.56 | Ac: −0.10 | −0.08 | ||||||||
| T1: 0.01 | |||||||||||||
| Poz: 0.09 | |||||||||||||
| T1′: 0.05 | |||||||||||||
| Ac’: −0.05 |
Publisher’s Note: MDPI stays neutral with regard to jurisdictional claims in published maps and institutional affiliations. |
© 2021 by the authors. Licensee MDPI, Basel, Switzerland. This article is an open access article distributed under the terms and conditions of the Creative Commons Attribution (CC BY) license (https://creativecommons.org/licenses/by/4.0/).
Share and Cite
Yen, Y.-S.; Indumathi, V. Effect of π-Conjugated Spacer in N-Alkylphenoxazine-Based Sensitizers Containing Double Anchors for Dye-Sensitized Solar Cells. Polymers 2021, 13, 1304. https://doi.org/10.3390/polym13081304
Yen Y-S, Indumathi V. Effect of π-Conjugated Spacer in N-Alkylphenoxazine-Based Sensitizers Containing Double Anchors for Dye-Sensitized Solar Cells. Polymers. 2021; 13(8):1304. https://doi.org/10.3390/polym13081304
Chicago/Turabian StyleYen, Yung-Sheng, and Velu Indumathi. 2021. "Effect of π-Conjugated Spacer in N-Alkylphenoxazine-Based Sensitizers Containing Double Anchors for Dye-Sensitized Solar Cells" Polymers 13, no. 8: 1304. https://doi.org/10.3390/polym13081304
APA StyleYen, Y.-S., & Indumathi, V. (2021). Effect of π-Conjugated Spacer in N-Alkylphenoxazine-Based Sensitizers Containing Double Anchors for Dye-Sensitized Solar Cells. Polymers, 13(8), 1304. https://doi.org/10.3390/polym13081304

