Interrelation between Fiber–Matrix Interphasial Phenomena and Flexural Stress Relaxation Behavior of a Glass Fiber–Polymer Composite
Abstract
1. Introduction
2. Materials and Methods
2.1. Materials
2.2. Quasistatic Mechanical Tests
2.3. Stress Relaxation Tests
3. Theoretical Background
3.1. Interphase Model
3.2. Hybrid Interphase Model
3.3. Hybrid Viscoelastic Interphase Model
3.4. Application of the Hybrid Viscoelastic Interphase Model
3.4.1. Geometrical Aspects
3.4.2. Model Application
4. Results and Discussion
4.1. Application of the HIM Model on the Quasistatic Bending Results
4.2. Application of HVIM on the Stress Relaxation Results
5. Conclusions
- The minimum value (corresponding to the midpoint of the fiber separation distance) of the relative interphase modulus is always higher than the modulus of the neat resin for all fiber volume fractions, while there is a continuous increase of this value with the filler volume fraction Vf.
- However, when plotting the interphase relative modulus Ei/Em value corresponding to the midpoint of the fiber separation against adhesion coefficient kE, one can observe an initial and almost abrupt increase, reaching a maximum for kE = 0.3, and this is followed by a subsequent reduction of the ratio Ei/Em.
- This kind of behavior was attributed to three different parameters, namely: the interphase thickness, the maximum value of the relative interphase modulus at the fiber–matrix contact point and the rate of decrease of the relative interphase modulus in the radial direction.
- Finally, in the same part of the present investigation, the characteristic surface resulting from the Vi/Vm–kE–Vf three-dimensional diagram was presented.
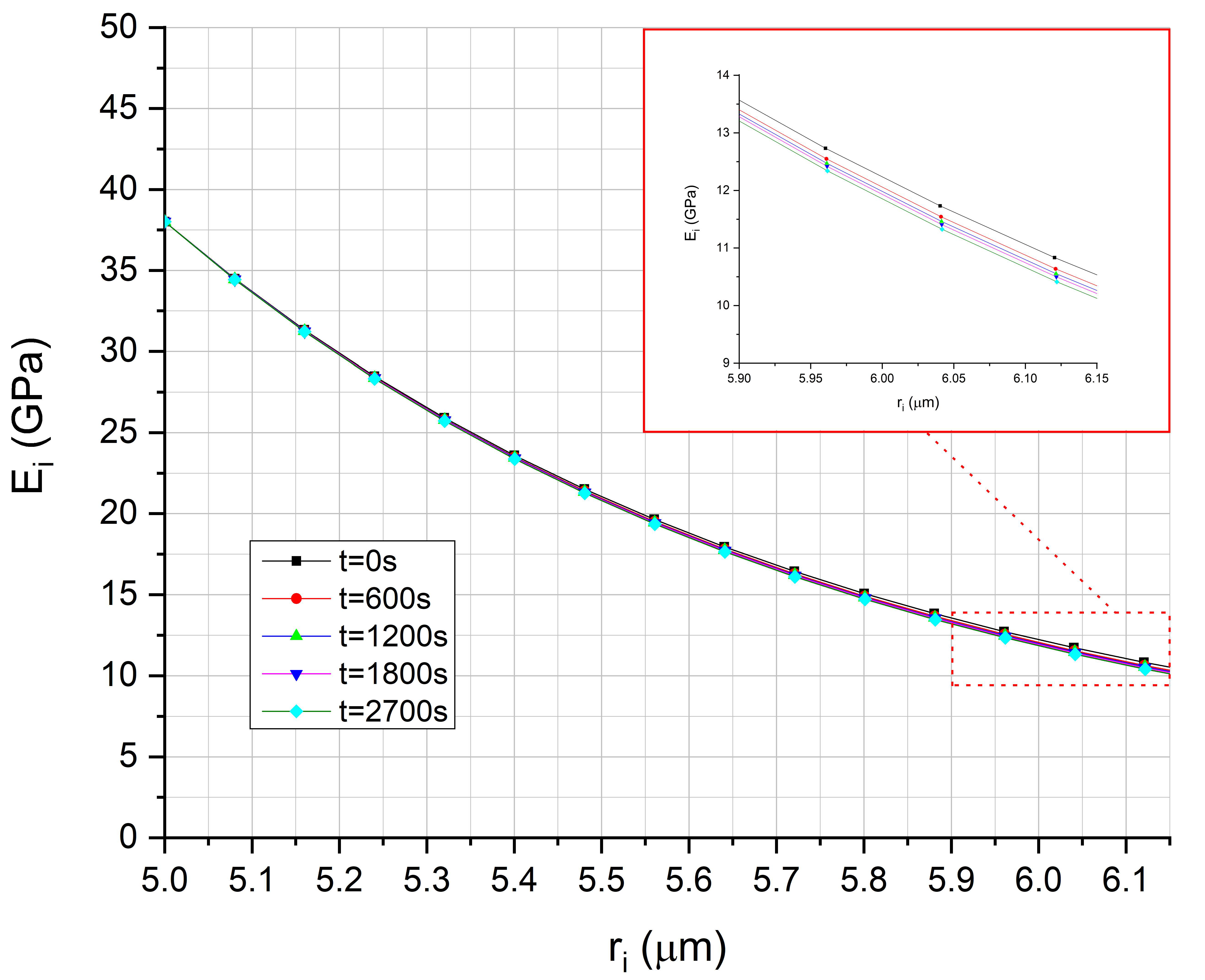
- The interphase thickness increases with time during relaxation.
- At any time instant during the stress relaxation process, the interphase modulus always decreases along the radial direction.
Author Contributions
Funding
Data Availability Statement
Conflicts of Interest
References
- Rajak, D.K.; Pagar, D.D.; Menezes, P.L.; Linul, E. Fiber-reinforced polymer composites: Manufacturing, properties, and applications. Polymers 2019, 11, 1667. [Google Scholar] [CrossRef]
- Dong, S.; Li, C.; Xian, G. Environmental impacts of glass-and carbon-fiber-reinforced polymer bar-reinforced seawater and sea sand concrete beams used in marine environments: An lca case study. Polymers 2021, 13, 154. [Google Scholar] [CrossRef]
- Atmakuri, A.; Palevicius, A.; Vilkauskas, A.; Janusas, G. Review of hybrid fiber based composites with nano particles-material properties and applications. Polymers 2020, 12, 2088. [Google Scholar] [CrossRef] [PubMed]
- Zagho, M.; Hussein, E.; Elzatahry, A. Recent Overviews in Functional Polymer Composites for Biomedical Applications. Polymers 2018, 10, 739. [Google Scholar] [CrossRef]
- Kyzas, G.Z.; Deliyanni, E.A.; Matis, K.A.; Lazaridis, N.K.; Bikiaris, D.N.; Mitropoulos, A.C. Emerging nanocomposite biomaterials as biomedical adsorbents: An overview. Compos. Interfaces 2018, 25, 415–454. [Google Scholar] [CrossRef]
- Zafeiropoulou, K.; Kostagiannakopoulou, C.; Sotiriadis, G.; Kostopoulos, V. A Preliminary Study of the Influence of Graphene Nanoplatelet Specific Surface Area on the Interlaminar Fracture Properties of Carbon Fiber/Epoxy Composites. Polymers 2020, 12, 3060. [Google Scholar] [CrossRef]
- Sideridis, E. The influence of particle distribution and interphase on the thermal expansion coefficient of particulate composites by the use of a new model. Compos. Interfaces 2016, 23, 231–254. [Google Scholar] [CrossRef]
- Ureña, A.; Rams, J.; Escalera, M.D.; Sánchez, M. Characterization of interfacial mechanical properties in carbon fiber/aluminium matrix composites by the nanoindentation technique. Compos. Sci. Technol. 2005, 65, 2025–2038. [Google Scholar] [CrossRef]
- Hamming, L.M.; Qiao, R.; Messersmith, P.B.; Catherine Brinson, L. Effects of dispersion and interfacial modification on the macroscale properties of TiO2 polymer–matrix nanocomposites. Compos. Sci. Technol. 2009, 69, 1880–1886. [Google Scholar] [CrossRef]
- Ma, L.; Zhu, Y.; Feng, P.; Song, G.; Huang, Y.; Liu, H.; Zhang, J.; Fan, J.; Hou, H.; Guo, Z. Reinforcing carbon fiber epoxy composites with triazine derivatives functionalized graphene oxide modified sizing agent. Compos. Part B Eng. 2019, 176, 107078. [Google Scholar] [CrossRef]
- Harinath, P.N.V.; Radadia, N.; Bramhe, S.; Surendran, D.; Sabane, V.; Singh, A.; Kim, T.N.; Sharbidre, R.; Cheol, B.J.; Peters, L.; et al. Analysis of microstructural, thermal and mechanical properties of unidirectional glass fiber fabrics exhibiting sizing migration. Compos. Part B Eng. 2019, 164, 570–575. [Google Scholar] [CrossRef]
- Fu, S.-Y.; Feng, X.-Q.; Lauke, B.; Mai, Y.-W. Effects of particle size, particle/matrix interface adhesion and particle loading on mechanical properties of particulate-polymer composites. Compos. Part B Eng. 2008, 39, 933–961. [Google Scholar] [CrossRef]
- Hull, D.; Clyne, T.W. An Introduction to Composite Materials; Clarke, D.R., Suresh, S., Ward, I.M., Eds.; Cambridge University Press: Cambridge, UK, 1996. [Google Scholar]
- Mahato, K.K.; Dutta, K.; Ray, B.C. Static and Dynamic Behavior of Fibrous Polymeric Composite Materials at Different Environmental Conditions. J. Polym. Environ. 2018, 26, 1024–1050. [Google Scholar] [CrossRef]
- Ray, B.C. Temperature effect during humid ageing on interfaces of glass and carbon fibers reinforced epoxy composites. J. Colloid Interface Sci. 2006, 298, 111–117. [Google Scholar] [CrossRef] [PubMed]
- Kollia, A.; Kontaxis, L.C.; Papanicolaou, G.C.; Zaoutsos, S.P. Effect of thermal shock cycling on the quasi-static and dynamic flexural properties of flax fabric-epoxy matrix laminates. J. Appl. Polym. Sci. 2020, 137, 48529. [Google Scholar] [CrossRef]
- Jiang, X.; Song, J.; Qiang, X.; Kolstein, H.; Bijlaard, F. Moisture absorption/desorption effects on flexural property of Glass-fiber-reinforced polyester laminates: Three-point bending test and coupled hygro-mechanical finite element analysis. Polymers 2016, 8, 290. [Google Scholar] [CrossRef]
- Fu, S.-Y.; Lauke, B.; Mäder, E.; Yue, C.-Y.; Hu, X. Tensile properties of short-glass-fiber- and short-carbon-fiber-reinforced polypropylene composites. Compos. Part A Appl. Sci. Manuf. 2000, 31, 1117–1125. [Google Scholar] [CrossRef]
- Pfeiffer, F.; Bremer, H. The Art of Modeling Mechanical Systems; Pfeiffer, F., Bremer, H., Eds.; CISM International Centre for Mechanical Sciences; Springer International Publishing: Cham, Switzerland, 2017; Volume 570, ISBN 978-3-319-40255. [Google Scholar]
- Budiman, B.A.; Triawan, F.; Adziman, F.; Nurprasetio, I.P. Modeling of stress transfer behavior in fiber-matrix composite under axial and transverse loadings. Compos. Interfaces 2017, 24, 677–690. [Google Scholar] [CrossRef]
- Papanicolaou, G.C.; Kontaxis, L.C.; Manara, A.E. Viscoelastic behaviour and modelling of nano and micro TiO2 powder-epoxy resin composites. Cienc. Tecnol. Mater. 2016, 28, 138–146. [Google Scholar] [CrossRef]
- Papanicolaou, G.C.; Kostopoulos, V.; Kontaxis, L.C.; Kollia, E.; Kotrotsos, A. A comparative study between epoxy/Titania micro- and nanoparticulate composites thermal and mechanical behavior by means of particle-matrix interphase considerations. Polym. Eng. Sci. 2017. [Google Scholar] [CrossRef]
- Papanicolaou, G.; Manara, A.; Kontaxis, L. Experimental and Prediction Study of Displacement-Rate Effects on Flexural Behaviour in Nano and Micro TiO2 Particles-Epoxy Resin Composites. Polymers 2019, 12, 22. [Google Scholar] [CrossRef] [PubMed]
- Papanicolaou, G.C.; Portan, D.V. Carbon and titanium dioxide nanotube polymer composite manufacturing—Characterization and interphase modeling. In Structural Integrity and Durability of Advanced Composites: Innovative Modelling Methods and Intelligent Design; Elsevier: Amsterdam, The Netherlands, 2015; pp. 735–761. ISBN 9780081001387. [Google Scholar]
- Sideridis, E.; Theotokoglou, E.E.; Giannopoulos, I. Analytical and computational study of the moduli of fiber-reinforced composites and comparison with experiments. Compos. Interfaces 2015, 22, 563–578. [Google Scholar] [CrossRef]
- Papanicolaou, G.C.; Keppas, L.K.; Anifantis, N.K. Finite element prediction of debonding onset in short fiber reinforced polymers incorporating a hybrid interphase region. Compos. Interfaces 2008, 15, 477–493. [Google Scholar] [CrossRef]
- Papanicolaou, G.C.; Anifantis, N.K.; Keppas, L.K.; Kosmidou, T.V. Stress analysis of short fiber-reinforced polymers incorporating a hybrid interphase region. Compos. Interfaces 2007, 14, 131–152. [Google Scholar] [CrossRef]
- Papanicolaou, G.C.; Demetrescu, I.; Portan, D.V.; Papaefthymiou, K.P. Interphase modelling of human osteoblasts spread on pure titanium surface covered with TiO2 nanotubes. Compos. Interfaces 2011, 18, 23–35. [Google Scholar] [CrossRef]
- Chandra, R.; Singh, S.P.; Gupta, K. Damping studies in fiber-reinforced composites—A review. Compos. Struct. 1999, 46, 41–51. [Google Scholar] [CrossRef]
- Papanicolaou, G.C.; Xepapadaki, A.G.; Drakopoulos, E.D.; Papaefthymiou, K.P.; Portan, D.V. Interphasial viscoelastic behavior of CNT reinforced nanocomposites studied by means of the concept of the hybrid viscoelastic interphase. J. Appl. Polym. Sci. 2012, 124, 1578–1588. [Google Scholar] [CrossRef]
- Material-Archiv. Available online: https://materialarchiv.ch/de/ma:material_106 (accessed on 12 March 2021).
- Papanicolaou, G.C.; Paipetis, S.A.; Theocaris, P.S. The concept of boundary interphase in composite mechanics. Colloid Polym. Sci. 1978, 256, 625–630. [Google Scholar] [CrossRef]
- Papanicolaou, G.C.; Theocaris, P.S.; Spathis, G.D. Adhesion efficiency between phases in fibre-reinforced polymers by means of the concept of boundary interphase. Colloid Polym. Sci. Kolloid-Z. Polym. 1980, 258, 1231–1237. [Google Scholar] [CrossRef]
- Papanicolaou, G.C.; Michalopoulou, M.V.; Anifantis, N.K. Thermal stresses in fibrous composites incorporating hybrid interphase regions. Compos. Sci. Technol. 2002, 62, 1881–1894. [Google Scholar] [CrossRef]
- Papanicolaou, G.C.; Bouboulas, A.S.; Anifantis, N.K. Thermal expansivities in fibrous composites incorporating hybrid interphase regions. Compos. Struct. 2009, 88, 542–547. [Google Scholar] [CrossRef]
- Portan, D.V.; Kroustalli, A.A.; Deligianni, D.D.; Papanicolaou, G.C. On the biocompatibility between TiO 2 nanotubes layer and human osteoblasts. J. Biomed. Mater. Res. Part A 2012, 100A, 2546–2553. [Google Scholar] [CrossRef] [PubMed]













| Property | Matrix | E-Glass | Composite |
|---|---|---|---|
| Density (gcm−3) | 1.16 | 2.56 | 1.7–1.9 |
| Flexural modulus (GPa) | 2.5–2.7 | 76 | 24 |
| Water absorption (%) | 1.16 | - | 0.15 |
Publisher’s Note: MDPI stays neutral with regard to jurisdictional claims in published maps and institutional affiliations. |
© 2021 by the authors. Licensee MDPI, Basel, Switzerland. This article is an open access article distributed under the terms and conditions of the Creative Commons Attribution (CC BY) license (http://creativecommons.org/licenses/by/4.0/).
Share and Cite
Papanicolaou, G.C.; Portan, D.V.; Kontaxis, L.C. Interrelation between Fiber–Matrix Interphasial Phenomena and Flexural Stress Relaxation Behavior of a Glass Fiber–Polymer Composite. Polymers 2021, 13, 978. https://doi.org/10.3390/polym13060978
Papanicolaou GC, Portan DV, Kontaxis LC. Interrelation between Fiber–Matrix Interphasial Phenomena and Flexural Stress Relaxation Behavior of a Glass Fiber–Polymer Composite. Polymers. 2021; 13(6):978. https://doi.org/10.3390/polym13060978
Chicago/Turabian StylePapanicolaou, George C., Diana V. Portan, and Lykourgos C. Kontaxis. 2021. "Interrelation between Fiber–Matrix Interphasial Phenomena and Flexural Stress Relaxation Behavior of a Glass Fiber–Polymer Composite" Polymers 13, no. 6: 978. https://doi.org/10.3390/polym13060978
APA StylePapanicolaou, G. C., Portan, D. V., & Kontaxis, L. C. (2021). Interrelation between Fiber–Matrix Interphasial Phenomena and Flexural Stress Relaxation Behavior of a Glass Fiber–Polymer Composite. Polymers, 13(6), 978. https://doi.org/10.3390/polym13060978

