Interfacial Binding Energy between Calcium-Silicate-Hydrates and Epoxy Resin: A Molecular Dynamics Study
Abstract
1. Introduction
2. Computational Methodology
2.1. Forcefield
2.2. Model Construction
2.3. Simulation
3. Results and Discussion
3.1. Structural Analysis
3.2. Mean Square Displacement
3.3. Binding Energy
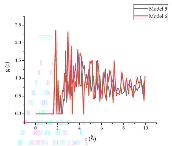
3.4. Radial Distribution Function
4. Conclusions
- (1)
- After the molecular dynamic simulation, the layers of the three-layer structure of the tobermorite and epoxy resin in the model permeate each other due to the interaction between atoms, and the cracks between the models were reduced.
- (2)
- The MSD results showed that there was a larger displacement of O in the cured epoxy, which indicated the strong mutual attraction between epoxy resin and tobermorite. Meantime, the N atom in the TEPA showed a larger displacement than that in MC120D, revealing that TEPA can offer better binding behaviour between the epoxy resin and the cementitious matrix.
- (3)
- Based on the MD simulation, the incorporation of a curing agent significantly increased the binding energy, with a higher value of TEPA (50.53 kcal/mol) suggesting that the system of epoxy with a TEPA curing agent may provide a better repairing performance.
- (4)
- According to RDF analysis, the earliest appearance of the first peak of Ca in tobermorite and the O in epoxy was observed, indicating the strongest interaction between O atoms and Ca atoms. Additionally, the RDF of Ca in tobermorite and N in cured epoxy further confirmed that the epoxy cured by TEPA can offer a better binding effect on repairing cementitious materials. In addition, O and H atoms between the interfaces will form hydrogen bonds, thus increasing the interfacial binding energy.
- (5)
- The results revealed that the chain length and chain direction showed limited influence on the binding energy between the epoxy and the tobermorite, while the type of curing agent significantly boosted the binding energy. Based on the simulation, it exhibited a better ability to repair cracks in cementitious material.
Author Contributions
Funding
Institutional Review Board Statement
Informed Consent Statement
Data Availability Statement
Conflicts of Interest
References
- Scrivener, K.L.; John, V.M.; Gartner, E.M. Eco-efficient cements: Potential economically viable solutions for a low-CO2 cement-based materials industry. Cem. Concr. Res. 2018, 114, 2–26. [Google Scholar] [CrossRef]
- Beushausen, H.; Bester, N. The influence of curing on restrained shrinkage cracking of bonded concrete overlays. Cem. Concr. Res. 2016, 87, 87–96. [Google Scholar] [CrossRef]
- Li, W.; Dong, B.; Yang, Z.; Xu, J.; Chen, Q.; Li, H.; Xing, F.; Jiang, Z. Recent advances in intrinsic self-healing cementitious materials. Adv. Mater. 2018, 30, 1705679. [Google Scholar] [CrossRef]
- Brown, E.N.; Sottos, N.R.; White, S.R. Fracture testing of a self-healing polymer composite. Exp. Mech. 2002, 42, 372–379. [Google Scholar] [CrossRef]
- Huang, H.; Ye, G. Simulation of self-healing by further hydration in cementitious materials. Cem. Concr. Compos. 2012, 34, 460–467. [Google Scholar] [CrossRef]
- Zhu, H.; Chen, Q.; Yan, Z.; Ju, J.W.; Zhou, S. Micromechanical models for saturated concrete repaired by the electrochemical deposition method. Mater. Struct. 2014, 47, 1067–1082. [Google Scholar] [CrossRef]
- Nobuaki, O.; Jae-Suk, R. Use of electrodeposition for repair of concrete with shrinkage cracks. J. Mater. Civil Eng. 2001, 13, 136–142. [Google Scholar]
- Han, N.-X.; Xing, F. A comprehensive review of the study and development of microcapsule based self-resilience systems for concrete structures at Shenzhen University. Materials 2016, 10, 2. [Google Scholar] [CrossRef]
- White, S.R.; Sottos, N.R.; Geubelle, P.H.; Moore, J.S.; Kessler, M.R. Autonomic healing of polymer composites. Nature 2002, 409, 794–817. [Google Scholar] [CrossRef]
- Han, T.; Wang, X.; Li, D.; Li, D.; Xing, F.; Ren, J.; Han, N. Stress-strain behaviour and pore structure of microcapsule-based self-healing cementitious composite under triaxial tests. Constr. Build. Mater. 2020, 241, 118009. [Google Scholar] [CrossRef]
- Wang, X.; Huang, Y.; Huang, Y.; Zhang, J.; Fang, C.; Yu, K.; Chen, Q.; Li, T.; Han, R.; Yang, Z.; et al. Laboratory and field study on the performance of microcapsule-based self-healing concrete in tunnel engineering. Constr. Build. Mater. 2019, 220, 90–101. [Google Scholar] [CrossRef]
- Zhang, M. A Study on Microcapsule Based Self-Healing Method and Mechanism for Cementitious Composites. Ph.D. Thesis, Central South University, Changsha City, China, 2013. [Google Scholar]
- Hou, D.; Zhang, W.; Sun, M.; Wang, P.; Wang, M.; Zhang, J.; Li, Z. Modified lucas-washburn function of capillary transport in the calcium silicate hydrate gel pore: A coarse-grained molecular dynamics study. Cem. Concr. Res. 2020, 136, 106166. [Google Scholar] [CrossRef]
- Wang, P.; Qiao, G.; Guo, Y.; Zhang, Y.; Hou, D.; Jin, Z.; Zhang, J.; Wang, M.; Hu, X. Molecular dynamics simulation of the interfacial bonding properties between graphene oxide and calcium silicate hydrate. Constr. Build. Mater. 2020, 260, 119927. [Google Scholar] [CrossRef]
- Wang, P.; Qiao, G.; Zhang, Y.; Hou, D.; Zhang, J.; Wang, M.; Wang, X.; Hu, X. Molecular dynamics simulation study on interfacial shear strength between calcium-silicate-hydrate and polymer fibers. Constr. Build. Mater. 2020, 257, 119557. [Google Scholar] [CrossRef]
- Hou, D.; Yu, J.; Wang, P. Molecular dynamics modeling of the structure, dynamics, energetics and mechanical properties of cement-polymer nanocomposite. Compos. Part B 2019, 162, 433–444. [Google Scholar] [CrossRef]
- Du, J.; Bu, Y.; Shen, Z. Interfacial properties and nanostructural characteristics of epoxy resin in cement matrix. Constr. Build. Mater. 2018, 164, 103–112. [Google Scholar] [CrossRef]
- Al-Ostaz, A.; Wu, W.; Cheng, A.H.D.; Song, C.R. A molecular dynamics and microporomechanics study on the mechanical properties of major constituents of hydrated cement. Compos. Part B 2010, 41, 543–549. [Google Scholar] [CrossRef]
- Fan, D.; Yang, S. Mechanical properties of C–S–H globules and interfaces by molecular dynamics simulation. Constr. Build. Mater. 2018, 176, 573–582. [Google Scholar] [CrossRef]
- Manzano, H.; Dolado, J.S.; Ayuela, A. Elastic properties of the main species present in Portland cement pastes. Acta Mater. 2008, 57, 1666–1674. [Google Scholar] [CrossRef]
- Sylvia, M.M.; James, M.D.A.; Caetano, R.M. Molecular simulations of cement based materials: A comparison between first principles and classical force field calculations. Comput. Mater. Sci. 2017, 138, 392–402. [Google Scholar]
- Sun, H.J. COMPASS: An ab initio force-field optimized for condensed-phase applications overview with details on alkane and benzene compounds. J. Phys. Chem. B 1998, 102, 7338–7364. [Google Scholar] [CrossRef]
- Tavakoli, D.; Tarighat, A. Molecular dynamics study on the mechanical properties of Portland cement clinker phases. Comput. Mater. Sci. 2016, 119, 65–73. [Google Scholar] [CrossRef]
- Grujicic, M.; Sun, Y.P.; Koudela, K.L. The effect of covalent functionalization of carbon nanotube reinforcements on the atomic-level mechanical properties of poly-vinyl-ester-epoxy. Appl. Surf. Sci. 2006, 253, 3009–3021. [Google Scholar] [CrossRef]
- Sun, H.; Ren, P.; Fried, J.R. The COMPASS force field: Parameterization and validation for phosphazenes. Comput. Theor. Polym. Sci. 1998, 8, 229–246. [Google Scholar] [CrossRef]
- Wu, W.; Al-Ostaz, A.; Cheng, A.H.D.; Song, C.R. Computation of elastic properties of Portland cement using molecular dynamics. J. Nanomech. Micromech. 2011, 1, 84–90. [Google Scholar] [CrossRef]
- Manzano, H.; Dolado, J.S.; Griebel, M.; Hamaekers, J. A molecular dynamics study of the aluminosilicate chains structure in Al-rich calcium silicate hydrated (C–S–H) gels. Phys. Status Solidi Appl. Mater. 2008, 205, 1324–1329. [Google Scholar] [CrossRef]
- Cong, X.; Kirkpatrick, R.J. 17O and 29Si MAS NMR study of β–C2S hydration and the structure of calcium-silicate hydrates. Cem. Concr. Res. 1993, 23, 1065–1077. [Google Scholar] [CrossRef]
- Cong, X.; Kirkpatrick, R.J. 29Si and 17O NMR investigation of the structure of some crystalline calcium silica hydrates. Adv. Cem. Based Mater. 1996, 3, 133–143. [Google Scholar] [CrossRef]
- Masse, S.; Zanni, H.; Lecourtier, J.; Roussel, J.C.; Rivereau, A. 29Si solid state NMR study of tricalcium silicate and cement hydration at high temperature. Cem. Concr. Res. 1993, 23, 1169–1177. [Google Scholar] [CrossRef]
- Garbev, K.; Bornefeld, M.; Beuchle, G.; Stemmermann, P. Cell dimensions and composition of nanocrystalline calcium silicate hydrate solid solutions. Part 2: X-ray and thermogravimetry study. J. Am. Ceram. Soc. 2010, 91, 3015–3023. [Google Scholar] [CrossRef]
- Soyer-Uzun, S.; Chae, S.R.; Benmore, C.J.; Wenk, H.R.; Monteiro, P.J.M. Compositional evolution of calcium silicate hydrate (C–S–H) structures by total X-ray scattering. J. Am. Ceram. Soc. 2012, 95, 793–798. [Google Scholar] [CrossRef]
- Hou, D.; Zhu, Y.; Lu, Y.; Li, Z. Mechanical properties of calcium silicate hydrate (C–S–H) at nano-scale: A molecular dynamics study. Mater. Chem. Phys. 2014, 146, 503–511. [Google Scholar] [CrossRef]
- Li, K.; Shui, Z.H.; Dai, W. Molecular dynamic simulation of structural and mechanical properties of cement hydrates: From natural minerals to amorphous phases. Mater. Res. Innov. 2012, 16, 338–344. [Google Scholar] [CrossRef]
- Pellenq, R.J.M.; Lequeux, N.; Damme, H.V. Engineering the bonding scheme in C–S–H: The iono-covalent framework. Cem. Concr. Res. 2007, 38, 159–174. [Google Scholar] [CrossRef]
- Roland, J.M.P.; Akihiro, K.; Rouzbeh, S.; Krystyn, J.V.V.; Markus, J.B.; Sidney, Y.; Franz-Josef, U. A realistic molecular model of cement hydrates. Proc. Natl. Acad. Sci. USA 2009, 106, 16102–16107. [Google Scholar]
- Elena, B.; Stefano, M.; Anthony, R.K. The crystal structure of tobermorite 14 Å (plombierite), a C–S–H phase. J. Am. Ceram. Soc. 2005, 88, 505–512. [Google Scholar]
- Wang, X.F.; Zhang, J.H.; Han, R.; Han, N.X.; Xing, F. Evaluation of damage and repair rate of self-healing microcapsule-based cementitious materials using electrochemical impedance spectroscopy. J. Clean. Prod. 2019, 235, 966–976. [Google Scholar] [CrossRef]
- Wang, X.F.; Han, R.; Tao, J.; Han, T.L.; Zhu, G.M.; Tang, J.N.; Han, N.X.; Xing, F. Identification of mechanical parameters of urea-formaldehyde microcapsules using finite-element method. Compos. Part B Eng. 2019, 158, 249–258. [Google Scholar] [CrossRef]
- Bryan, E. Chemistry and Technology of Epoxy Resins; Springer: Dordrecht, The Netherlands, 1993. [Google Scholar]
- Petrie, E.M. Epoxy Adhesive Formulations; McGraw Hill Professional: New York, NY, USA, 2006. [Google Scholar]
- Ooi, S.K.; Cook, W.D.; Simon, G.P.; Such, C.H. DSC studies of the curing mechanisms and kinetics of DGEBA using imidazole curing agents. Polymer 2000, 41, 3639–3649. [Google Scholar] [CrossRef]
- Ma, H.; Li, Z. Realistic pore structure of Portland cement paste: Experimental study and numerical simulation. Comput. Concr. 2013, 11, 317–336. [Google Scholar] [CrossRef]
- Leeuw, S.W.D.; Perram, J.W.; Smith, E.R. Simulation of electrostatic systems in periodic boundary conditions. I. Lattice sums and dielectric constants. Proc. R. Soc. Lond. Ser. A Math. Phys. Sci. 1980, 373, 27–56. [Google Scholar]
- Chen, S.J.; Li, C.Y.; Wang, Q.; Duan, W.H. Reinforcing mechanism of graphene at atomic level: Friction, crack surface adhesion and 2D geometry. Carbon 2017, 114, 557–565. [Google Scholar] [CrossRef]
- Zhou, Y.; Hou, D.; Manzano, H.; Orozco, C.; Geng, G.; Monteiro, P.; Liu, J. Interfacial connection mechanisms in calcium-Silicate-hydrates/polymer nanocomposites: A molecular dynamics study. ACS Appl. Mater. Interfaces 2017, 9, 41014–41025. [Google Scholar] [CrossRef]
- Sadat, M.R.; Muralidharan, K.; Zhang, L. Reactive molecular dynamics simulation of the mechanical behavior of sodium aluminosilicate geopolymer and calcium silicate hydrate composites. Comput. Mater. Sci. 2018, 150, 500–509. [Google Scholar] [CrossRef]
- Liang, Y. Mechanical and fracture properties of calcium silicate hydrate and calcium hydroxide composite from reactive molecular dynamics simulations. Chem.Phys. Lett. 2020, 761, 138117. [Google Scholar] [CrossRef]
- Wang, X.; Xie, W.; Li, T.; Ren, J.; Zhu, J.; Han, N.; Xing, F. Molecular dynamics study on mechanical properties of interface between urea-formaldehyde resin and calcium-silicate-hydrates. Materials 2020, 13, 4054. [Google Scholar] [CrossRef] [PubMed]
- Hou, D.; Zhang, J.; Li, Z.; Zhu, Y. Uniaxial tension study of calcium silicate hydrate (C–S–H): Structure, dynamics and mechanical properties. Mater. Struct. 2015, 48, 3811–3824. [Google Scholar] [CrossRef]
- Wang, J.; Kalinichev, A.G.; Kirkpatrick, R.J. Molecular modeling of water structure in nano-pores between brucite (001) surfaces1. Geochim. Cosmochim. Acta 2004, 68, 3351–3365. [Google Scholar] [CrossRef]














| Model | n | Curing Agent | Direction |
|---|---|---|---|
| No. 1 | N/A | N/A | N/A |
| No. 2 | 0 | N/A | X |
| No. 3 | 1 | N/A | X |
| No. 4 | 2 | N/A | X |
| No. 5 | 0 | MC120D | X |
| No. 6 | 0 | TEPA | X |
| No. 7 | 1 | N/A | Z |
| Model | Before MD Simulation (Å) | After MD Simulation (Å) | Reduction (Å) |
|---|---|---|---|
| No. 1 | 68.72 | 61.33 | 7.39 |
| No. 2 | 65.2 | 59.48 | 5.72 |
| No. 3 | 67.93 | 61.41 | 6.52 |
| No. 4 | 67.89 | 61.44 | 6.45 |
| No. 5 | 68.1 | 61.55 | 6.55 |
| No. 6 | 64.97 | 59.49 | 5.48 |
| Model | |
|---|---|
| No. 1 | N/A |
| No. 2 | 19.5 |
| No. 3 | 18.36 |
| No. 4 | 23.3 |
| No. 5 | 40.83 |
| No. 6 | 50.53 |
| No. 7 | 27.93 |
Publisher’s Note: MDPI stays neutral with regard to jurisdictional claims in published maps and institutional affiliations. |
© 2021 by the authors. Licensee MDPI, Basel, Switzerland. This article is an open access article distributed under the terms and conditions of the Creative Commons Attribution (CC BY) license (https://creativecommons.org/licenses/by/4.0/).
Share and Cite
Wang, X.; Xie, W.; Ren, J.; Zhu, J.; Li, L.-Y.; Xing, F. Interfacial Binding Energy between Calcium-Silicate-Hydrates and Epoxy Resin: A Molecular Dynamics Study. Polymers 2021, 13, 1683. https://doi.org/10.3390/polym13111683
Wang X, Xie W, Ren J, Zhu J, Li L-Y, Xing F. Interfacial Binding Energy between Calcium-Silicate-Hydrates and Epoxy Resin: A Molecular Dynamics Study. Polymers. 2021; 13(11):1683. https://doi.org/10.3390/polym13111683
Chicago/Turabian StyleWang, Xianfeng, Wei Xie, Jun Ren, Jihua Zhu, Long-Yuan Li, and Feng Xing. 2021. "Interfacial Binding Energy between Calcium-Silicate-Hydrates and Epoxy Resin: A Molecular Dynamics Study" Polymers 13, no. 11: 1683. https://doi.org/10.3390/polym13111683
APA StyleWang, X., Xie, W., Ren, J., Zhu, J., Li, L.-Y., & Xing, F. (2021). Interfacial Binding Energy between Calcium-Silicate-Hydrates and Epoxy Resin: A Molecular Dynamics Study. Polymers, 13(11), 1683. https://doi.org/10.3390/polym13111683

