Influence of Graphene Oxide Contents on Mechanical Behavior of Polyurethane Composites Fabricated with Different Diisocyanates
Abstract
1. Introduction
2. Materials and Methods
2.1. Materials
2.2. Fabrication of Polyurethane Composites
2.3. Characterization
2.3.1. Fourier Transform Infrared Spectroscopy (FTIR)
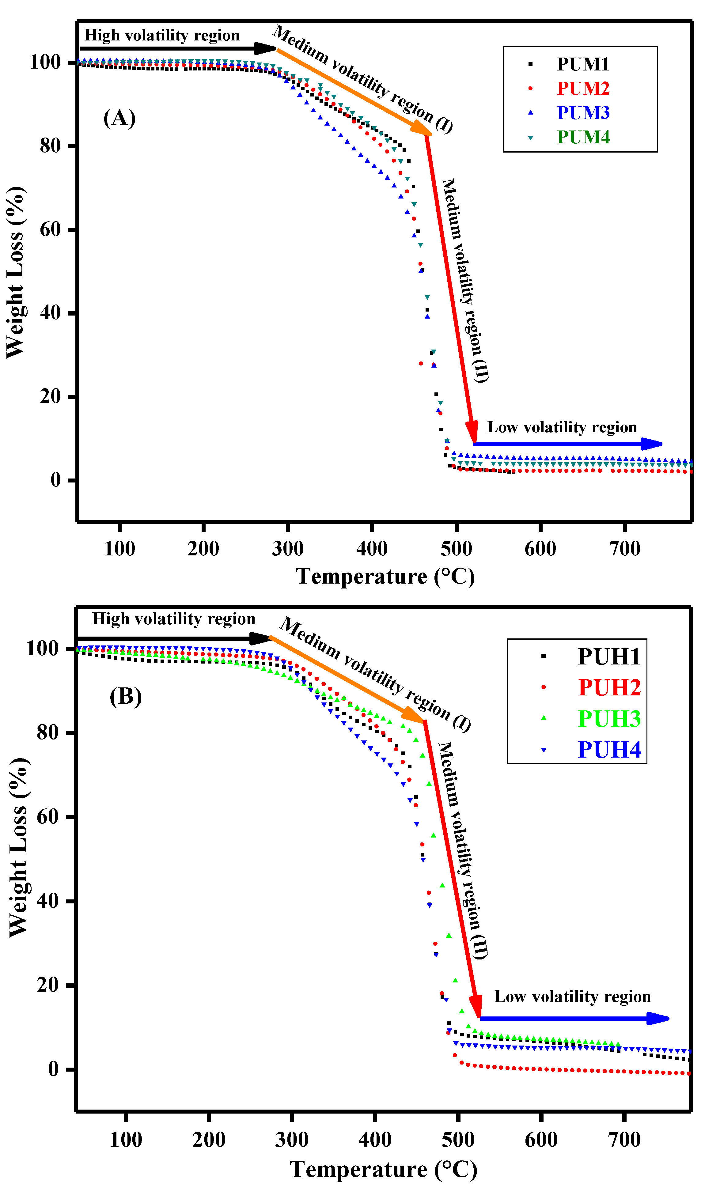
2.3.2. Thermal Gravimetric Analysis (TGA)
2.3.3. Dynamic Mechanical Analysis (DMA)
2.3.4. Swelling Test
2.3.5. Scanning Electron Microscopy (SEM)
3. Results
3.1. Structural Confirmation through FTIR
3.2. Evaluation of Thermal Stability by TGA
3.3. Mechanical Behavior of GO Induced PU Composites
3.4. Swelling Behavior of GO Induced PU Composites
3.5. Morphology of GO Induced PU Composites by SEM
4. Conclusions
Author Contributions
Funding
Institutional Review Board Statement
Informed Consent Statement
Data Availability Statement
Acknowledgments
Conflicts of Interest
References
- Khatoon, H.; Iqbal, S.; Ahmad, S. Covalently functionalized ethylene diamine modified graphene oxide poly-paraphenylene diamine dispersed polyurethane anticorrosive nanocomposite coatings. Prog. Org. Coat. 2021, 105966. [Google Scholar] [CrossRef]
- Han, X.; Guo, Z. Graphene and its derivative composite materials with special wettability: Potential application in oil-water separation. Carbon 2021, 172, 647–681. [Google Scholar] [CrossRef]
- Ponnamma, D.; Yin, Y.; Salim, N. Recent progress and multifunctional applications of 3D printed graphene nanocomposites. Compos. B Eng. 2021, 204, 108493. [Google Scholar] [CrossRef]
- Wang, Y.; Zhou, W.; Cao, K.; Hu, X.; Gao, L.; Lu, Y. Structural Impact of Graphene Nanoribbon on Mechanical Properties and Anti-corrosion Performance of Polyurethane Nanocomposites. Chem. Eng. J. 2021, 405, 126858. [Google Scholar]
- Joo, H.; Cho, S. Comparative studies on polyurethane composites filled with polyaniline and graphene for DLP-type 3D. PrintingPolymer 2020, 121, 67. [Google Scholar] [CrossRef]
- Qifei, J.; Wanshuang, L.; Yongzheng, P.; Vadim, S.; Lin, L.; Zhili, D. Chemical functionalization of graphene oxide for improving mechanical and thermal properties of polyurethane composites. Mater. Des. 2015, 85. [Google Scholar] [CrossRef]
- Kai, W.; Hirota, Y.; Hua, L.; Inoue, Y. Thermal and mechanical properties of a poly (ε-caprolactone)/graphite oxide composite. J. Appl. Polym. Sci. 2008, 107, 1395–1400. [Google Scholar] [CrossRef]
- Lin, F.; Xiang, Y.; Shen, S.H. ShenTemperature dependent mechanical properties of graphene reinforced polymer nanocomposites—A molecular dynamics simulation. Compos. Part. B Eng. Compos. B Eng. 2017, 111, 261–269. [Google Scholar] [CrossRef]
- Naeem, M.; Kuan, H.C.; Michelmore, A. A new method for preparation of functionalized graphene and its epoxy nanocomposites. Compos. Part. B Eng. J. Compos. B. Eng. 2020, 1961, 108096. [Google Scholar] [CrossRef]
- Wang, H.; Xie, G.; Fang, M.; Ying, Z.; Zeng, Y. Mechanical reinforcement of graphene/poly(vinyl chloride) composites prepared by combining the in-situ suspension polymerization and melt-mixing methods. Compos. B Eng. 2017, 11315, 278–284. [Google Scholar] [CrossRef]
- Hung, P.; Lau, K.; Fox, B.; Hameed, N.; Lee, J.; Hui, D. Surface modification of carbon fibre using graphene–related materials for multifunctional composites. Compos. B. Eng. 2019, 133, 240–257. [Google Scholar] [CrossRef]
- Saha, T.; Bhowmick, A.K.; Oda, T.; Miyauchi, T.; Fujii, N. Influence of layered nanofillers on the mechanical properties and thermal degradation of polyacrylicester polymer: Theoretical and experimental investigations. Compos. B. Eng. 2019, 16915, 65–78. [Google Scholar] [CrossRef]
- Spinelli, G.; Lamberti, P.; Tucci, V.; Ivanova, R.; Tabakova, S.; Ivanov, E.; Kotsilkova, R.; Cimmino, S.; Di, R.; Silvestre, M.C. Rheological and electrical behaviour of nanocarbon/poly (lactic) acid for 3D printing applications. Compos. B Eng. 2019, 167, 467–476. [Google Scholar] [CrossRef]
- Postiglione, G.; Natale, G.; Griffini, G.; Levi, M.; Turri, S. Conductive 3D microstructures by direct 3D printing of polymer/carbon nanotube nanocomposites via liquid deposition modeling. Compos. Appl. Sci. Manuf. 2015, 76, 110–114. [Google Scholar] [CrossRef]
- Hu, K.; Kulkarni, D.D.; Choi, I.; Tsukruk, V.V. Graphene-polymer nanocomposites for structural and functional applications. Prog. Polym. Sci. 2014, 3911, 1934–1972. [Google Scholar] [CrossRef]
- Akram, N.; Zia, K.M.; Saeed, M.; Usman, M.; Khan, W.G.; Bashir, M.A.J. Investigation of non-adhesive behaviour of waterborne polyurethane dispersions. Poly. Res. 2019, 26, 45. [Google Scholar] [CrossRef]
- Akram, N.; Zia, K.M.; Saeed, M.; Mansha, A.; Khan, W.G. Morphological studies of polyurethane based pressure sensitive adhesives by tapping mode atomic force microscopy. J. Poly. Res. 2018, 25, 194. [Google Scholar] [CrossRef]
- Hailu, K.; Guthausen, G.; Becker, W.; König, A.; Bendfeld, A.; Geissler, E. In-situ Characterization of the Cure Reaction of HTPB and IPDI by Simultaneous NMR and IR Measurements. Poly. Test. 2010, 29, 513–519. [Google Scholar] [CrossRef]
- Xiang, D.; Liu, L.; Liang, Y. Effect of hard segment content on structure dielectric and mechanical properties of hydroxyl-terminated butadiene-acrylonitrile copolymer-based polyurethane elastomers. Polymer 2017, 132, 180–187. [Google Scholar] [CrossRef]
- Beatriz, L.; José, L.D.L.F. Rheokinetic analysis on the formation of metallo-polyurethanes based on hydroxyl-terminated polybutadiene. Euro. Polym. J. 2014, 50, 117–126. [Google Scholar]
- Ramezanzadeh, B.; Ghasemi, E.; Mahdavian, M.; Changizi, E. Characterization of covalently-grafted polyisocyanate chains onto graphene oxide for polyurethane composites with improved mechanical properties. Chem. Eng. J. 2015, 281, 869–883. [Google Scholar] [CrossRef]
- Ji, Y.H.; Liu, Y.; Li, Y.Q.; Xiao, M.H.; Du, S.S.; Zhang, J.Y.; Hu, N.; Fu, S.Y. Significantly enhanced electrical conductivity of silver nanowire/polyurethane composites via graphene oxide as novel dispersant. Compos. Sci. Technol. 2016, 132, 57–67. [Google Scholar] [CrossRef]
- Bera, M.; Gupta, P.; Maji, P.K. Efficacy of ultra-low loading of amine functionalized graphene oxide into glycidol-terminated polyurethane for high-performance composite material. React. Funct. Polym. 2019, 139, 60–74. [Google Scholar] [CrossRef]
- Fan, W.; Wang, J.; Zhang, Z.; Li, Z. Synergistic enhancement of UV-resistance and electrical conductivity of waterborne polyurethane composite with combination of functionalized 2D graphene oxide and 1D nanocellulose. Prog. Org. Coat. 2020, 106017. [Google Scholar] [CrossRef]
- Akram, N.; Zia, K.M.; Saeed, M.; Usman, M.; Khan, W.G. Role of isophorone diisocyanate in the optimization of adhesion tendency of polyurethane pressure sensitive adhesives. J. Appl. Polym. Sci. 2018, 135, 1–9. [Google Scholar] [CrossRef]
- Akram, N.; Zia, K.M.; Sattar, R.; Tabassum, S.; Saeed, M. Thermomechanical investigation of hydroxyl-terminated polybutadiene-based linear polyurethane elastomers. J. Appl. Polym. Sci. 2019, 136, 47289. [Google Scholar] [CrossRef]
- Akram, N.; Zia, K.M.; Saeed, M.; Usman, M.; Saleem, S. Impact of macrodiols on the adhesion strength of polyurethane pressure-sensitive adhesives. J. App. Polym. Sci. 2018, 135, 1–7. [Google Scholar] [CrossRef]
- Akram, N.; Gurney, R.S.; Zuber, M.; Ishaq, M.; Keddie, J.L. Influence of Polyol molecular weight and type on the tack and peel properties of waterborne polyurethane pressure-sensitive adhesives. Macromol. React. Eng. 2013, 7, 493–503. [Google Scholar] [CrossRef]
- Daoudi, A.; Perraton, D.; Dony, A.; Carter, A. From Complex Modulus E* to Creep Compliance D(t): Experimental and Modeling Study. Materials 2020, 13, 1945. [Google Scholar] [CrossRef]
- Jeevan, J.; Abhishek, K.A. EMI shielding and dynamic mechanical analysis of graphene oxide-carbon nanotube-acrylonitrile butadiene styrene hybrid composites. Polym. Test. 2020, 91, 106839. [Google Scholar]







| Sample Code | Graphene Oxide (wt.%) | HS Contents a (wt.%) | SS Contents b (wt %) | Sample Code | Graphene Oxide (wt.%) | HS Contents a (wt.%) | SS Contents b (wt. %) |
|---|---|---|---|---|---|---|---|
| PUB | 0 | 5.0 | 95.0 | PUB | 0 | 5.0 | 95.0 |
| PUM1 | 0.5 | 10.0 | 90.0 | PUH1 | 0.5 | 10.0 | 90.0 |
| PUM2 | 1.0 | 15.0 | 85.0 | PUH2 | 1.0 | 15.0 | 85.0 |
| PUM3 | 1.5 | 20.0 | 80.0 | PUH3 | 1.5 | 20.0 | 80.0 |
| PUM4 | 2.0 | 25.0 | 75.0 | PUH4 | 2.0 | 25.0 | 75.0 |
| Assignments | Wave Number (cm−1) | |
|---|---|---|
| Observed Values | Literature Values [16,17] | |
| υsymCH2 = (Vinyl) | 2978 | 2977 |
| υasCH2 | 2935–2913 | 2935–2915 |
| υsymCH2 | 2855 | 2865–2845 |
| H–C=O | 1716–1700 | 1750–1680 |
| υC=O | 1736–1709 | 1750–1680 |
| υC–C(aromatic) | 1599–1615 | 1615–1580 |
| δN–H | 1531–1529 | 1650–1550 |
| υC–N | 1231–1220 | 1250–1150 |
| δC–H (aromatic) | 1224–963 | 1225–950 |
| υC–O–C | 1060–1049 | 1150–1050 |
| ω C–H (aromatic) | 814–675 | 900–670 |
| Sample Code | T@1%Wt Loss (°C) | T@50%Wt Loss (°C) | T@90%Wt Loss (°C) | Sample Code | T@1%Wt Loss (°C) | T@50%Wt Loss (°C) | T@90%Wt Loss (°C) |
|---|---|---|---|---|---|---|---|
| PUM1 | 200 | 457 | 488 | PUH1 | 120 | 457 | 489 |
| PUM2 | 242 | 457 | 488 | PUH2 | 135 | 460 | 488 |
| PUM3 | 257 | 459 | 481 | PUH3 | 160 | 470 | 489 |
| PUM4 | 282 | 457 | 490 | PUH4 | 258 | 457 | 490 |
| Sample Code | HS (wt%) | GO (wt%) | E′ (MPa) | E* (MPa) | D* (1/MPa) | N 1 × 10−4 (mol/m3) | Sample Code | HS (wt%) | GO (wt)% | E′ (MPa) | E* (MPa) | D* (1/MPa) | N 1 ˟ 10−4 (mol/m3) |
|---|---|---|---|---|---|---|---|---|---|---|---|---|---|
| PUB | 5.0 | -- | 1.6 ± 0.50 | 1.41 ± 0.25 | 0.614 ± 0.01 | 1.17 ± 0.10 | PUB | 5.0 | -- | 0.20 ± 0.5 | 0.206 ± 0.5 | 0.614 ± 0.01 | 0.148 ± 0.75 |
| PUM1 | 10.0 | 0.5 | 1.65 ± 0.15 | 1.63 ± 0.75 | 0.411 ± 0.01 | 1.06 ± 0.20 | PUH1 | 10.0 | 0.5 | 1.6 ± 0.55 | 1.63 ± 0.25 | 0.411 ± 0.02 | 1.06 ± 0.25 |
| PUM2 | 15.0 | 1.0 | 2.49 ± 0.25 | 2.43 ± 0.75 | 0.711 ± 0.02 | 1.82 ± 0.15 | PUH2 | 15.0 | 1.0 | 3.76 ± 0.58 | 3.72 ± 0.58 | 0.135 ± 0.01 | 2.76 ± 0.15 |
| PUM3 | 20.0 | 1.5 | 5.26 ± 1.00 | 5.24 ± 1.00 | 0.191 ± 0.001 | 3.86 ± 0.15 | PUH3 | 20.0 | 1.5 | 7.4 ± 0.57 | 7.39 ± 0.80 | 0.269 ± 0.01 | 5.58 ± 0.90 |
| PUM4 | 25.0 | 2.0 | 5.92 ± 1.00 | 5.8 ± 0.900 | 0.172 ± 0.01 | 4.34 ± 0.25 | PUH4 | 25.0 | 2.0 | 27.59 ± 0.50 | 36.2 ± 1.50 | 0.0143 ± 0.001 | 0.002 ± 0.005 |
Publisher’s Note: MDPI stays neutral with regard to jurisdictional claims in published maps and institutional affiliations. |
© 2021 by the authors. Licensee MDPI, Basel, Switzerland. This article is an open access article distributed under the terms and conditions of the Creative Commons Attribution (CC BY) license (http://creativecommons.org/licenses/by/4.0/).
Share and Cite
Akram, N.; Saeed, M.; Usman, M.; Mansha, A.; Anjum, F.; Zia, K.M.; Mahmood, I.; Mumtaz, N.; Gul Khan, W. Influence of Graphene Oxide Contents on Mechanical Behavior of Polyurethane Composites Fabricated with Different Diisocyanates. Polymers 2021, 13, 444. https://doi.org/10.3390/polym13030444
Akram N, Saeed M, Usman M, Mansha A, Anjum F, Zia KM, Mahmood I, Mumtaz N, Gul Khan W. Influence of Graphene Oxide Contents on Mechanical Behavior of Polyurethane Composites Fabricated with Different Diisocyanates. Polymers. 2021; 13(3):444. https://doi.org/10.3390/polym13030444
Chicago/Turabian StyleAkram, Nadia, Muhammad Saeed, Muhammad Usman, Asim Mansha, Fozia Anjum, Khalid Mahmood Zia, Irfan Mahmood, Nida Mumtaz, and Waheed Gul Khan. 2021. "Influence of Graphene Oxide Contents on Mechanical Behavior of Polyurethane Composites Fabricated with Different Diisocyanates" Polymers 13, no. 3: 444. https://doi.org/10.3390/polym13030444
APA StyleAkram, N., Saeed, M., Usman, M., Mansha, A., Anjum, F., Zia, K. M., Mahmood, I., Mumtaz, N., & Gul Khan, W. (2021). Influence of Graphene Oxide Contents on Mechanical Behavior of Polyurethane Composites Fabricated with Different Diisocyanates. Polymers, 13(3), 444. https://doi.org/10.3390/polym13030444

