Alginate/κ-Carrageenan-Based Edible Films Incorporated with Clove Essential Oil: Physico-Chemical Characterization and Antioxidant-Antimicrobial Activity
Abstract
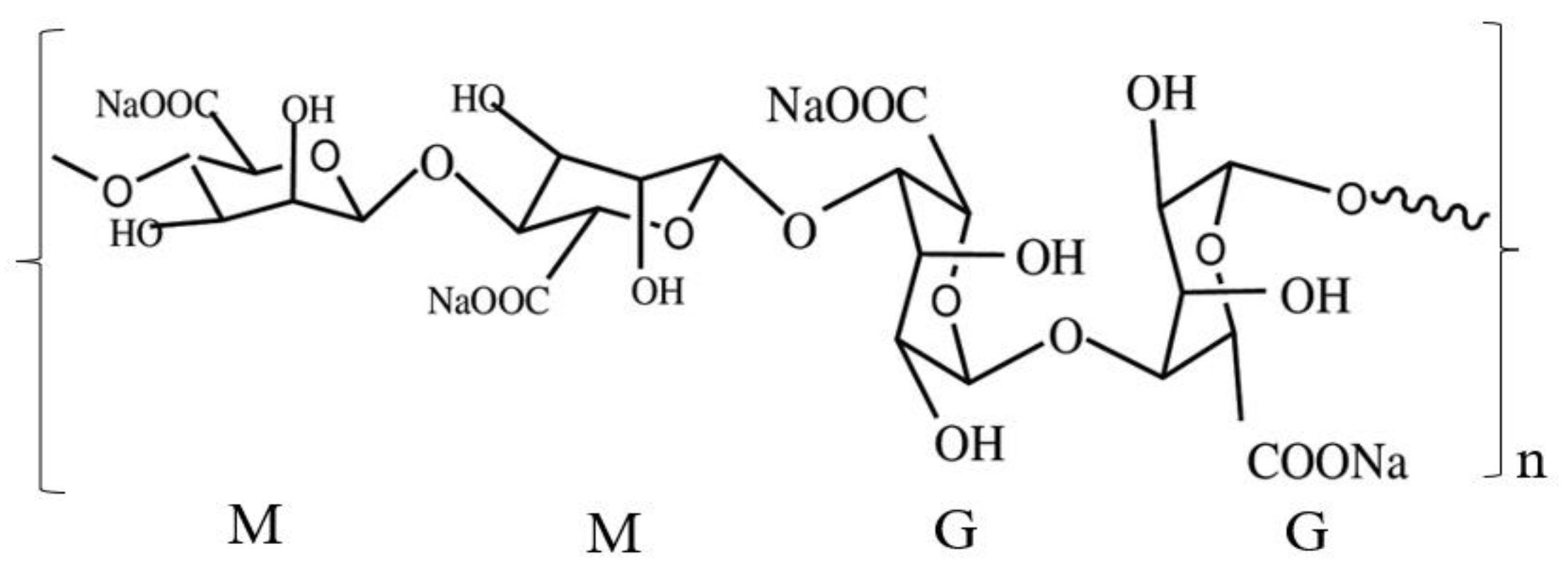
1. Introduction
2. Materials and Methods
2.1. Materials
2.2. Edible Film Preparation
2.3. Film Characterizations
2.3.1. Morphology Observation Using Scanning Electron Microscopy (SEM)
2.3.2. Fourier Transform Infrared (FTIR) Spectroscopy
2.3.3. X-ray Diffraction (XRD) Analysis
2.4. Mechanical Properties
2.5. Physical Properties
2.6. Antioxidant Analysis
2.7. Antimicrobial Properties Evaluation
2.8. Statistical Analysis
3. Results and Discussion
3.1. Morphology Surface Observation
3.2. Fourier Transform Infrared (FTIR) Spectra Analysis
3.3. X-ray Diffraction (XRD) Pattern Analysis
3.4. Mechanical Properties of Prepared Films
3.5. Physical Properties
3.6. Antioxidant and Antimicrobial Activity
3.6.1. DPPH Radical Scavenging Assay
3.6.2. Inhibition Zone
4. Conclusions
Author Contributions
Funding
Acknowledgments
Conflicts of Interest
References
- Deepa, B.; Abraham, E.; Pothan, L.; Cordeiro, N.; Faria, M.; Thomas, S. Biodegradable Nanocomposite Films Based on Sodium Alginate and Cellulose Nanofibrils. Materials 2016, 9, 50. [Google Scholar] [CrossRef]
- Huq, T.; Salmieri, S.; Khan, A.; Khan, R.A.; Le Tien, C.; Riedl, B.; Fraschini, C.; Bouchard, J.; Uribe-Calderon, J.; Kamal, M.R.; et al. Nanocrystalline cellulose (NCC) reinforced alginate based biodegradable nanocomposite film. Carbohydr. Polym. 2012, 90, 1757–1763. [Google Scholar] [CrossRef] [PubMed]
- Shojaee-Aliabadi, S.; Hosseini, H.; Mohammadifar, M.A.; Mohammadi, A.; Ghasemlou, M.; Hosseini, S.M.; Khaksar, R. Characterization of κ-carrageenan films incorporated plant essential oils with improved antimicrobial activity. Carbohydr. Polym. 2014, 101, 582–591. [Google Scholar] [CrossRef] [PubMed]
- Shojaee-Aliabadi, S.; Mohammadifar, M.A.; Hosseini, H.; Mohammadi, A.; Ghasemlou, M.; Hosseini, S.M.; Haghshenas, M.; Khaksar, R. Characterization of nanobiocomposite kappa-carrageenan film with Zataria multiflora essential oil and nanoclay. Int. J. Biol. Macromol. 2014, 69, 282–289. [Google Scholar] [CrossRef] [PubMed]
- Kazemi, S.M.; Rezaei, M. Antimicrobial Effectiveness of Gelatin-Alginate Film Containing Oregano Essential Oil for Fish Preservation. J. Food Saf. 2015, 35, 482–490. [Google Scholar] [CrossRef]
- Atef, M.; Rezaei, M.; Behrooz, R. Characterization of physical, mechanical, and antibacterial properties of agar-cellulose bionanocomposite films incorporated with savory essential oil. Food Hydrocoll. 2015, 45, 150–157. [Google Scholar] [CrossRef]
- Liakos, I.; Rizzello, L.; Scurr, D.J.; Pompa, P.P.; Bayer, I.S.; Athanassiou, A. All-natural composite wound dressing films of essential oils encapsulated in sodium alginate with antimicrobial properties. Int. J. Pharm. 2014, 463, 137–145. [Google Scholar] [CrossRef]
- Draget, K.I.; Taylor, C. Chemical, physical and biological properties of alginates and their biomedical implications. Food Hydrocoll. 2011, 25, 251–256. [Google Scholar] [CrossRef]
- Wang, L.; Auty, M.A.; Kerry, J.P. Physical assessment of composite biodegradable films manufactured using whey protein isolate, gelatin and sodium alginate. J. Food Eng. 2010, 96, 199–207. [Google Scholar] [CrossRef]
- Abasalizadeh, F.; Moghaddam, S.V.; Alizadeh, E.; Akbari, E.; Kashani, E.; Fazljou, S.M.B.; Torbati, M.; Akbarzadeh, A. Alginate-based hydrogels as drug delivery vehicles in cancer treatment and their applications in wound dressing and 3D bioprinting. J. Biol. Eng. 2020, 14, 1–22. [Google Scholar] [CrossRef]
- Kim, J.O.; Kil Park, J.; Kim, J.H.; Jin, S.G.; Yong, C.S.; Li, D.X.; Choi, J.Y.; Woo, J.S.; Yoo, B.K.; Lyoo, W.S.; et al. Development of polyvinyl alcohol–sodium alginate gel-matrix-based wound dressing system containing nitrofurazone. Int. J. Pharm. 2008, 359, 79–86. [Google Scholar] [CrossRef] [PubMed]
- Zhang, D.; Gan, R.-Y.; Zhang, J.; Farha, A.K.; Li, H.-B.; Zhu, F.; Wang, X.; Corke, H. Antivirulence properties and related mechanisms of spice essential oils: A comprehensive review. Compr. Rev. Food Sci. Food Saf. 2020, 19, 1018–1055. [Google Scholar] [CrossRef] [PubMed]
- Zhang, D.; Gan, R.-Y.; Farha, A.K.; Kim, G.; Yang, Q.-Q.; Shi, X.; Shi, C.; Luo, Q.-X.; Xu, X.; Li, H.-B.; et al. Discovery of Antibacterial Dietary Spices That Target Antibiotic-Resistant Bacteria. Microorganism 2019, 7, 157. [Google Scholar] [CrossRef] [PubMed]
- Ahmed, J.; Mulla, M.; Jacob, H.; Luciano, G.; Bini, T.B.; Almusallam, A. Polylactide/poly(ε-caprolactone)/zinc oxide/clove essential oil composite antimicrobial films for scrambled egg packaging. Food Packag. Shelf Life 2019, 21, 100355. [Google Scholar] [CrossRef]
- Mulla, M.; Ahmed, J.; Al-Attar, H.; Castro-Aguirre, E.; Arfat, Y.A.; Auras, R. Antimicrobial efficacy of clove essential oil infused into chemically modified LLDPE film for chicken meat packaging. Food Control. 2017, 73, 663–671. [Google Scholar] [CrossRef]
- Li, J.; Ma, J.; Chen, S.; He, J.; Huang, Y. Characterization of calcium alginate/ deacetylated konjac glucomannan blend films prepared by Ca2+ crosslinking and deacetylation. Food Hydrocoll. 2018, 82, 363–369. [Google Scholar] [CrossRef]
- Giz, A.S.; Berberoglu, M.; Bener, S.; Aydelik-Ayazoglu, S.; Bayraktar, H.; Alaca, B.E.; Catalgil-Giz, H. A detailed investigation of the effect of calcium crosslinking and glycerol plasticizing on the physical properties of alginate films. Int. J. Biol. Macromol. 2020, 148, 49–55. [Google Scholar] [CrossRef]
- Lee, B.-B.; Bhandari, B.; Howes, T. Gelation of an alginate film via spraying of calcium chloride droplets. Chem. Eng. Sci. 2018, 183, 1–12. [Google Scholar] [CrossRef]
- Dou, L.; Li, B.; Zhang, K.; Chu, X.; Hou, H. Physical properties and antioxidant activity of gelatin-sodium alginate edible films with tea polyphenols. Int. J. Biol. Macromol. 2018, 118, 1377–1383. [Google Scholar] [CrossRef]
- Ojagh, S.M.; Rezaei, M.; Razavi, S.H.; Hosseini, S.M.H. Development and evaluation of a novel biodegradable film made from chitosan and cinnamon essential oil with low affinity toward water. Food Chem. 2010, 122, 161–166. [Google Scholar] [CrossRef]
- Yang, L.; Yang, J.; Qin, X.; Kan, J.; Zeng, F.; Zhong, J. Ternary composite films with simultaneously enhanced strength and ductility: Effects of sodium alginate-gelatin weight ratio and graphene oxide content. Int. J. Biol. Macromol. 2020, 156, 494–503. [Google Scholar] [CrossRef] [PubMed]
- Al-Musa, S. Evaluation of parameters involved in preparation and release of drug loaded in crosslinked matrices of alginate. J. Control. Release 1999, 57, 223–232. [Google Scholar] [CrossRef]
- Wu, Y.; Weller, C.; Hamouz, F.; Cuppett, S.; Schnepf, M. Moisture Loss and Lipid Oxidation for Precooked Ground-Beef Patties Packaged in Edible Starch-Alginate-Based Composite Films. J. Food Sci. 2001, 66, 486–493. [Google Scholar] [CrossRef]
- Faried, M.; Shameli, K.; Miyake, M.; Zakaria, Z.; Hara, H.; Khairudin, N.B.A.; Etemadi, M. Ultrasound-Assisted in the Synthesis of Silver Nanoparticles Using Sodium Alginate Mediated by Green Method. Digest J. Nanomat. Biostructures 2016, 11, 7. [Google Scholar]
- Batista, N.L.; Olivier, P.; Bernhart, G.; Rezende, M.C.; Botelho, E.C. Correlation between degree of crystallinity, morphology and mechanical properties of PPS/carbon fiber laminates. Mater. Res. 2016, 19, 195–201. [Google Scholar] [CrossRef]
- Pascalău, V.; Popescu, V.A.; Popescu, G.; Dudescu, M.C.; Borodi, G.; Dinescu, A.M.; Perhaiţa, I.; Paul, M.C. The alginate/k-carrageenan ratio’s influence on the properties of the cross-linked composite films. J. Alloys Compd. 2012, 536, S418–S423. [Google Scholar] [CrossRef]
- Paula, G.A.; Benevides, N.M.B.; Cunha, A.P.; De Oliveira, A.V.; Pinto, A.M.; Morais, J.P.S.; Mc Azeredo, H. Development and characterization of edible films from mixtures of κ-carrageenan, ι-carrageenan, and alginate. Food Hydrocoll. 2015, 47, 140–145. [Google Scholar] [CrossRef]
- Yu, F.; Cui, T.; Yang, C.; Dai, X.; Ma, J. κ-Carrageenan/Sodium alginate double-network hydrogel with enhanced mechanical properties, anti-swelling, and adsorption capacity. Chemosphere 2019, 237, 124417. [Google Scholar] [CrossRef]
- Hosseini, M.H.; Razavi, S.H.; Mousavi, M.A. Antimicrobial, Physical and Mechanical Properties of Chitosan-Based Films Incorporated with Thyme, Clove and Cinnamon Essential Oils. J. Food Process. Preserv. 2009, 33, 727–743. [Google Scholar] [CrossRef]
- Costa, M.J.; Marques, A.M.; Pastrana, L.M.; Teixeira, J.A.; Sillankorva, S.M.; Cerqueira, M.A. Physicochemical properties of alginate-based films: Effect of ionic crosslinking and mannuronic and guluronic acid ratio. Food Hydrocoll. 2018, 81, 442–448. [Google Scholar] [CrossRef]
- Mohammadi, R.; Mohammadifar, M.A.; Rouhi, M.; Kariminejad, M.; Mortazavian, A.M.; Sadeghi, E.; Hasanvand, S. Physico-mechanical and structural properties of eggshell membrane gelatin- chitosan blend edible films. Int. J. Biol. Macromol. 2018, 107, 406–412. [Google Scholar] [CrossRef] [PubMed]
- Mahcene, Z.; Khelil, A.; Hasni, S.; Akman, P.K.; Bozkurt, F.; Birech, K.; Goudjil, M.B.; Tornuk, F. Development and characterization of sodium alginate based active edible films incorporated with essential oils of some medicinal plants. Int. J. Biol. Macromol. 2020, 145, 124–132. [Google Scholar] [CrossRef] [PubMed]
- Salarbashi, D.; Tajik, S.; Shojaee-Aliabadi, S.; Ghasemlou, M.; Moayyed, H.; Khaksar, R.; Noghabi, M.S. Development of new active packaging film made from a soluble soybean polysaccharide incorporated Zataria multiflora Boiss and Mentha pulegium essential oils. Food Chem. 2014, 146, 614–622. [Google Scholar] [CrossRef] [PubMed]
- Ballester-Costa, C.; Sendra, E.; Fernández-López, J.; Viuda-Martos, M. Evaluation of the antibacterial and antioxidant activities of chitosan edible films incorporated with organic essential oils obtained from four Thymus species. J. Food Sci. Technol. 2016, 53, 3374–3379. [Google Scholar] [CrossRef] [PubMed]
- Hung, C.-P.; Lo, H.-F.; Hsu, W.-H.; Chen, S.-C.; Lin, L.-L. Immobilization of Escherichia coli novablue γ-glutamyltranspeptidase in Ca-alginate-k-carrageenan beads. Appl. Biochem. Biotechnol. 2008, 150, 157–170. [Google Scholar] [CrossRef] [PubMed]
- Salama, H.E.; Aziz, M.S.A.; Sabaa, M.W. Development of antibacterial carboxymethyl cellulose/chitosan biguanidine hydrochloride edible films activated with frankincense essential oil. Int. J. Biol. Macromol. 2019, 139, 1162–1167. [Google Scholar] [CrossRef]








| Variable | Conc. | Thickness (mm) | Tensile Strength (MPa) | Water Solubility (%) | Elongation at Break (%) |
|---|---|---|---|---|---|
| SA/KC | 10/0 | 0.37 ± 0.018 b | 23.02 ± 1.15 c | 47.94 ± 3.43 d | 8 ± 0.39 j |
| 9/1 | 0.15 ± 0.012 c | 20.96 ± 1.09 d | 52.90 ± 1.47 c | 26 ± 0.21 g | |
| 8/2 | 0.11 ± 0.052 d | 20.65 ± 0.78 d | 54.98 ± 0.61 b | 46 ± 0.10 f | |
| 7/3 | 0.10 ± 0.062 d | 17.93 ± 1.93 e | 57.00 ± 2.62 a | 70 ± 0.23 b | |
| 6/4 | 0.08 ± 0.008 e | 16.77 ± 1.09 e | 59.04 ± 4.67 a | 86 ± 0.39 a | |
| CEO (v/v) | 1.5% | 0.09 ± 0.017 d | 28.46 ± 1.29 a | 59.04 ± 3.06 a | 58 ± 0.60 e |
| 2.0% | 0.11 ± 0.002 d | 25.97 ± 1.80 b | 57.00 ± 1.02 a | 60 ± 0.40 d | |
| 2.5% | 0.13 ± 0.022 c | 24.32 ± 0.15 c | 54.98 ± 0.99 b | 68 ± 0.40 c | |
| 3.0% | 0.15 ± 0.012 c | 20.96 ± 1.09 d | 52.90 ± 1.47 c | 70 ± 0.60 b | |
| CaCl2 (b/v) | 0% | 0.15 ± 0.017 c | 16.77 ± 1.69 e | 51.49 ± 1.80 c | 86 ± 0.44 a |
| 1% | 1.00 ± 0.030 a | 24.41 ± 0.94 c | 39.11 ± 0.57 e | 20 ± 0.22 i | |
| 2% | 1.10 ± 0.013 a | 26.21 ± 0.74 b | 28.45 ± 1.23 f | 22 ± 0.20 h |
| CEO Concentration (%v) | Radius (mm) | Inhibition Area (mm2) |
|---|---|---|
| 0.00 (control) | 0 | 0.00 ± 0.00 e |
| 1.50 | 3 | 28.28 ± 3.29 d |
| 2.00 | 4 | 50.28 ± 1.29 c |
| 2.50 | 5 | 79.57 ± 2.00 b |
| 3.00 | 6 | 113.14 ± 5.57 a |
Publisher’s Note: MDPI stays neutral with regard to jurisdictional claims in published maps and institutional affiliations. |
© 2021 by the authors. Licensee MDPI, Basel, Switzerland. This article is an open access article distributed under the terms and conditions of the Creative Commons Attribution (CC BY) license (http://creativecommons.org/licenses/by/4.0/).
Share and Cite
Prasetyaningrum, A.; Utomo, D.P.; Raemas, A.F.A.; Kusworo, T.D.; Jos, B.; Djaeni, M. Alginate/κ-Carrageenan-Based Edible Films Incorporated with Clove Essential Oil: Physico-Chemical Characterization and Antioxidant-Antimicrobial Activity. Polymers 2021, 13, 354. https://doi.org/10.3390/polym13030354
Prasetyaningrum A, Utomo DP, Raemas AFA, Kusworo TD, Jos B, Djaeni M. Alginate/κ-Carrageenan-Based Edible Films Incorporated with Clove Essential Oil: Physico-Chemical Characterization and Antioxidant-Antimicrobial Activity. Polymers. 2021; 13(3):354. https://doi.org/10.3390/polym13030354
Chicago/Turabian StylePrasetyaningrum, Aji, Dani P. Utomo, Al Farrel A. Raemas, Tutuk D. Kusworo, Bakti Jos, and Mohammad Djaeni. 2021. "Alginate/κ-Carrageenan-Based Edible Films Incorporated with Clove Essential Oil: Physico-Chemical Characterization and Antioxidant-Antimicrobial Activity" Polymers 13, no. 3: 354. https://doi.org/10.3390/polym13030354
APA StylePrasetyaningrum, A., Utomo, D. P., Raemas, A. F. A., Kusworo, T. D., Jos, B., & Djaeni, M. (2021). Alginate/κ-Carrageenan-Based Edible Films Incorporated with Clove Essential Oil: Physico-Chemical Characterization and Antioxidant-Antimicrobial Activity. Polymers, 13(3), 354. https://doi.org/10.3390/polym13030354

