Numerical Study of the Effect of Thixotropy on Extrudate Swell
Abstract
:1. Introduction
2. Problem Description
2.1. 2D Planar Problem
2.2. Three-Dimensional Problem
2.3. Balance Equations
2.4. Constitutive Equations
2.5. Thixotropy Model
2.6. Arbitrary Lagrangian–Eulerian Formulation
2.7. Free Surface Description
2.7.1. Two-Dimensional Planar Problem
2.7.2. Three-Dimensional Problem
2.8. Boundary- and Initial Conditions
3. Numerical Method
3.1. Weak Formulations
3.2. Spatial Discretization
3.3. Time Discretization
- Step 1
- Predict and update the position of the free surface, , in the bulk mesh. For the first time step, the prediction of the position equals the initial position: . For subsequent time steps, a second-order prediction of the free surface position is used:
- Step 2
- Construct the ALE mesh. This is done by solving a Laplace equation to obtain the mesh displacement, as explained in [21]. The new coordinates of the nodes are calculated using this obtained mesh displacement.
- Step 3
- The mesh velocities can now be obtained by numerically differentiating the mesh displacement. In the first time step, the mesh velocities are zero, since the height function is equal to the initial height . For subsequent time steps, a second-order backward differencing scheme is used, using the updated mesh nodes:where is the time step used.
- Step 4
- A prediction is done for the velocity and the conformation fields. In the first time step, a first-order prediction is used: , . For subsequent time steps, a second-order prediction of the velocity and conformation field is used:The velocity prediction is used to calculate in the rate-controlled kinetic equation for , whereas the conformation prediction is used to calculate the von Mises equivalent shear stress , as given by Equation (10), in the stress-controlled equation for . Equation (23) can now be solved to obtain the structure parameter in every node of the mesh. For the first time step, first-order time integration is used:whereas for subsequent time steps, second-order time integration is used:The relaxation times are now updated using .
- Step 5
- Using the method of D’Avino and Hulsen [34] for decoupling the momentum balance from the constitutive equation, the velocities and pressures are computed. Using this implicit stress formulation, the balance equations are solved using a prediction for the viscoelastic stress tensor to find and at every time step.
- Step 6
- After solving for the new velocities and pressures, the actual conformation tensor is found using a second-order, semi-implicit extrapolated backward differencing scheme with conformation prediction for Equation (22).
- Step 7
4. Results
4.1. Convergence
4.1.1. Mesh Convergence
4.1.2. Time Convergence
4.2. Constant Flow Rate
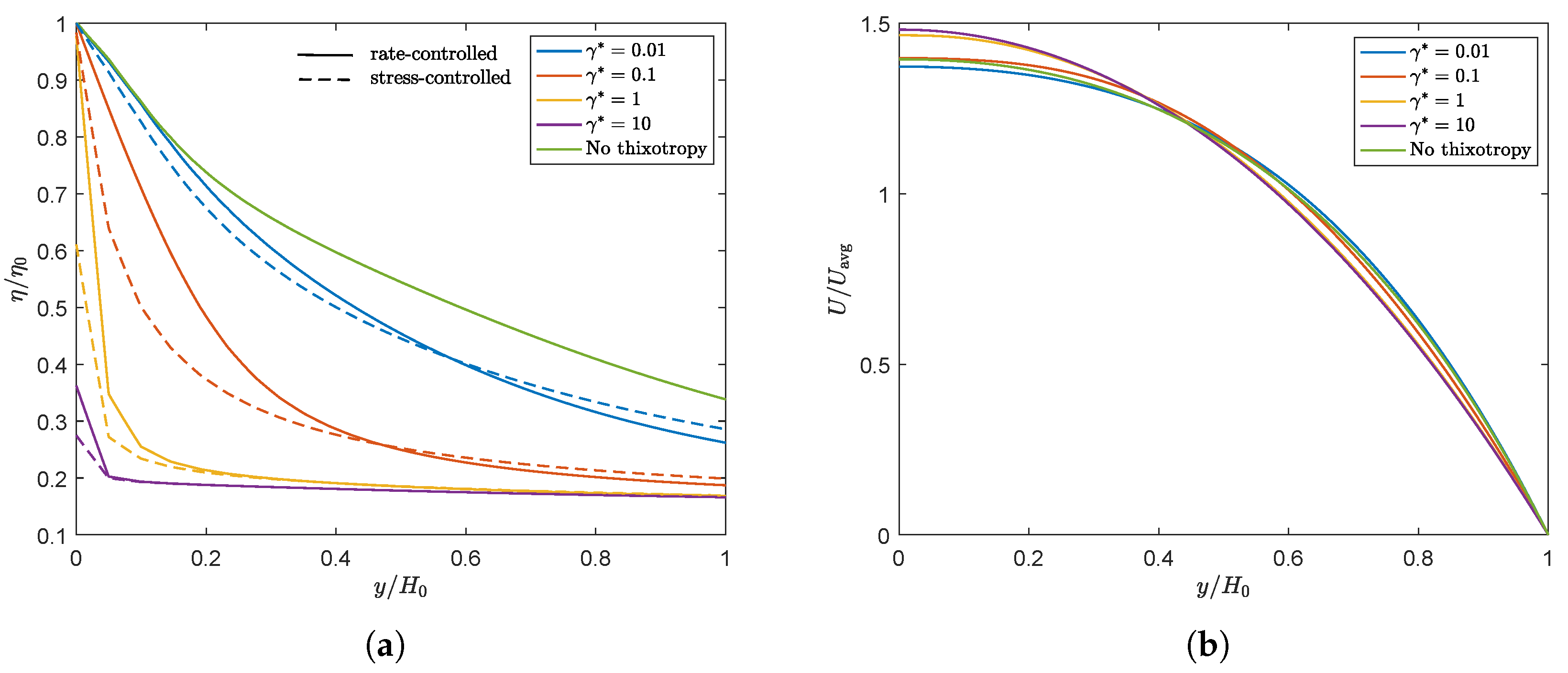
4.2.1. Rheology
4.2.2. Influence Model and Model Parameters on Swell Behavior
- Observation 1: A larger damage parameter does not necessarily lead to a smaller swell ratio. Upon increasing the damage parameter, the results first show a swell ratio smaller than the swell ratio of a Newtonian fluid. Further increasing the damage parameter leads to a swell ratio approaching the value of a Newtonian fluid.
- Observation 2: The stress-controlled approach always results in a larger steady state swell ratio compared to the rate-controlled approach.
- Observation 3: For large values of the damage parameter ( and ), the swell ratio is higher when is larger, whereas for small values of the damage parameter, the opposite effect is observed.
- Observation 4: For –, the swell ratio of the outer point of the free surface shows a maximum. For , a maximum and a minimum in the swell ratio are observed.
- Observation 5: Thixotropy seems to always decrease the swell ratio compared to the case without thixotropy. This agrees with our expectations, since thixotropy decreases the elasticity in the material by decreasing the relaxation times. The swell ratio for the largest damage parameter tested approaches the swell ratio for a Newtonian fluid.
4.2.3. Three-Dimensional Extrudate Swell
4.3. Fluctuating Flow Rate
5. Conclusions
Author Contributions
Funding
Institutional Review Board Statement
Informed Consent Statement
Conflicts of Interest
References
- Stieger, S.; Mitsoulis, E.; Walluch, M.; Ebner, C.; Kerschbaumer, R.C.; Haselmann, M.; Mostafaiyan, M.; Kämpfe, M.; Kühnert, I.; Wießner, S.; et al. On the Influence of Viscoelastic Modeling in Fluid Flow Simulations of Gum Acrylonitrile Butadiene Rubber. Polymers 2021, 13, 2323. [Google Scholar] [CrossRef]
- Sattayanurak, S.; Sahakaro, K.; Kaewsakul, W.; Dierkes, W.K.; Reuvekamp, L.A.E.M.; Blume, A.; Noordermeer, J.W.M. Synergistic effect by high specific surface area carbon black as secondary filler in silica reinforced natural rubber tire tread compounds. Polym. Test. 2020, 81, 106–173. [Google Scholar] [CrossRef]
- Robertson, C.; Hardman, N.J. Nature of carbon black reinforcement of rubber: Perspective on the original polymer nanocomposite. Polymers 2021, 13, 538. [Google Scholar] [CrossRef]
- Kumar, V.; Alam, M.N.; Manikkavel, A.; Song, M.; Lee, D.J.; Park, S.S. Silicone Rubber Composites Reinforced by Carbon Nanofillers and Their Hybrids for Various Applications: A Review. Polymers 2021, 13, 2322. [Google Scholar] [CrossRef]
- Rogers, B. Rubber Compounding, Chemistry and Applications; Taylor & Francis Gropu, LLC: Boca Raton, FL, USA, 2016. [Google Scholar]
- Payne, A.R. The dynamic properties of carbon black-loaded natural rubber vulcanizates. Part I. J. Appl. Polym. Sci. 1962, 6, 57–63. [Google Scholar] [CrossRef]
- Shi, X.; Sun, S.; Zhao, A.; Zhang, H.; Zuo, M.; Song, Y.; Zheng, Q. Influence of carbon black on the Payne effect of filled natural rubber compounds. Compos. Sci. Technol. 2021, 203, 108586. [Google Scholar] [CrossRef]
- Zhao, A.; Shi, X.; Zhang, H.; Song, Y.; Zheng, Q. Insights into the Payne Effect of Carbon Black Filled Styrene-butadiene Rubber Compounds. Chin. J. Polym. Sci. 2021, 39, 81–90. [Google Scholar] [CrossRef]
- Sternstein, S.S.; Zhu, A.J. Reinforcement mechanism of nanofilled polymer melts as elucidated by nonlinear viscoelastic behavior. Macromolecules 2002, 19, 7262–7273. [Google Scholar] [CrossRef]
- Montes, H.; Lequeux, F.; Berriot, J. Influence of the Glass Transition Temperature Gradient on the Nonlinear Viscoelastic Behavior in Reinforced Elastomers. Macromolecules 2003, 36, 8107–8118. [Google Scholar] [CrossRef]
- Sarvestani, A.S. On the Emergence of the Payne Effect in Polymer Melts Reinforced with Nanoparticles. Macromol. Theory Simul. 2016, 25, 312–321. [Google Scholar] [CrossRef]
- Ruede, M.M.; Auscher, M.C.; Fulchiron, R.; Périé, T.; Martin, G.; Sonntag, P.; Cassagnau, P. Rheology and applications of highly filled polymers: A review of current understanding. Prog. Polym. Sci. 2017, 66, 22–53. [Google Scholar] [CrossRef]
- Dangtungee, R.; Yun, J.; Supaphol, P. Melt rheology and extrudate swell of calcium carbonate nanoparticle-filled isotactic polypropylene. Polym. Test. 2005, 24, 2–11. [Google Scholar] [CrossRef]
- Dangtungee, R.; Supaphol, P. Melt rheology and extrudate swell of titanium (IV) oxide nanoparticle-filled isotactic polypropylene: Effects of content and surface characteristics. Polym. Test. 2008, 27, 951–956. [Google Scholar] [CrossRef]
- Dangtungee, R.; Supaphol, P. Melt rheology and extrudate swell of sodium chloride-filled low-density polyethylene: Effects of content and size of salt particles. Polym. Test. 2010, 29, 188–195. [Google Scholar] [CrossRef]
- Freakley, P.K.; Sirisinha, C. The influence of state-of-mix on the extrudate swell of a carbon black-filled styrene-butadiene rubber compound. J. Appl. Polym. Sci. 1997, 65, 305–315. [Google Scholar] [CrossRef]
- Kim, J.; Han, M.; Go, J.; Seungkeun, O. Die extrusion behavior of carbon black-filled block copolymer thermoplastic elastomers. J. Appl. Polym. Sci. 1993, 49, 1777–1789. [Google Scholar] [CrossRef]
- Leblanc, J.L. Rubber-filler interactions and rheological properties in filled rubber compounds. Prog. Polym. Sci. 2002, 27, 627–687. [Google Scholar] [CrossRef]
- Tanner, R.I. A new inelastic theory of extrudate swell. J. Non-Newton. Fluid Mech. 1980, 6, 289–302. [Google Scholar] [CrossRef]
- Mistoulis, E. Extrudate swell in double-layer flows. J. Rheol. 1986, 30, S23. [Google Scholar] [CrossRef]
- Spanjaards, M.M.A.; Hulsen, M.A.; Anderson, P.D. Transient 3D finite element method for predicting extrudate swell of domains containing sharp edges. J. Non-Newton. Fluid Mech. 2019, 270, 79–95. [Google Scholar] [CrossRef]
- Giesekus, H. A simple constitutive equation for polymer fluids based on the concept of deformation-dependent tensorial mobility. J. Non-Newton. Fluid Mech. 1982, 11, 69–109. [Google Scholar] [CrossRef]
- Spanjaards, M.M.A.; Peters, G.W.M.; Hulsen, M.A.; Anderson, P.D. Towards the development of a strategy to characterize and model the rheological behavior of filled uncured compounds. Polymers 2021, 13, 4068. [Google Scholar] [CrossRef]
- Joshi, P.G.; Leonov, A.I. Modeling of steady and time-dependent responses in filled, uncured, and crosslinked rubbers. Rheol. Acta 2001, 40, 350–365. [Google Scholar] [CrossRef]
- Saramito, P.; Wachs, A. Progress in numerical simulation of yield stress fluid flows. Rheol. Acta 2017, 56, 211–230. [Google Scholar] [CrossRef] [Green Version]
- Hu, H.H.; Patankar, N.A.; Zhu, M.Y. Direct numerical simulations of fluid-solid systems using the Arbitrary Lagrangian-Eulerian technique. J. Comput. Phys. 2001, 169, 427–462. [Google Scholar] [CrossRef]
- Keunings, R. An algorithm for the simulation of transient viscoelastic flows with free surfaces. J. Comput. Phys. 1986, 62, 199–220. [Google Scholar] [CrossRef] [Green Version]
- Hulsen, M.A.; Fattal, R.; Kupferman, R. Flow of viscoelastic fluids past a cylinder at high Weissenberg number: Stabilized simulations using matrix logarithms. J. Non-Newton. Fluid Mech. 2005, 127, 27–39. [Google Scholar] [CrossRef] [Green Version]
- Brooks, A.N.; Hughes, T.J.R. Streamline upwind/Petrov-Galerkin formulations for convection dominated flows with particular emphasis on the incompressible Navier-Stokes equations. Comput. Methods Appl. Mech. Eng. 1982, 32, 199–259. [Google Scholar] [CrossRef]
- Bogaerds, A.C.B.; Hulsen, M.A.; Peters, G.W.M.; Baaijens, F.P.T. Stability analysis of injection molding flows. J. Rheol. 2004, 48, 765–785. [Google Scholar] [CrossRef] [Green Version]
- Choi, Y.J.; Hulsen, M.A. Simulation of extrudate swell using an extended finite element method. Korea-Aust. Rheol. J. 2011, 23, 147–154. [Google Scholar] [CrossRef]
- Geuzaine, C.; Remacle, J.F. Gmsh: A 3-D finite element mesh generator with built-in pre- and post-processing facilities. Int. J. Numer. Methods Eng. 2009, 79, 1309–1331. [Google Scholar] [CrossRef]
- Hughes, T.; Mallet, M.; Akira, M. A new finite element formulation for computational fluid dynamics: II. Beyond SUPG. Comput. Methods Appl. Mech. Eng. 1986, 54, 341–355. [Google Scholar] [CrossRef]
- D’Avino, G.; Hulsen, M.A. Decoupled second-order transient schemes for the flow of viscoelastic fluids without a viscous solvent contribution. J. Non-Newton. Fluid Mech. 2010, 165, 1602–1612. [Google Scholar] [CrossRef]
- Isayev, A.I. 11-Injection Molding of Rubbers; Pergamon: Amsterdam, The Netherlands, 1989; pp. 355–378. [Google Scholar]
- Spanjaards, M.M.A.; Hulsen, M.A.; Anderson, P.D. Computational analysis of the extrudate shape of three-dimensional viscoelastic, non-isothermal extrusion flows. J. Non-Newton. Fluid Mech. 2020, 282, 104310. [Google Scholar] [CrossRef]





















| 1 | 10 | 0.0048 | 0.3 |
| 2 | 1 | 0.48 | 0.3 |
| 3 | 0.1 | 4.8 | 0.3 |
| # Nodes | ||
|---|---|---|
| M1 | 7209 | 0.25 |
| M2 | 27217 | 0.125 |
| M3 | 105633 | 0.0625 |
| M4 | 416065 | 0.03125 |
| # Nodes | # Elements | ||||
|---|---|---|---|---|---|
| 2D | 58401 | 28800 | 0.05 | 0.01 | 0.005 |
| 3D | 50467 | 32444 | 0.2 | 0.2 | 0.04 |
| 0.01 | 0.019 | 0.01 | 0.04655 |
| 0.1 | 0.4655 | 0.1 | 0.92 |
| 1 | 9.2 | 1 | 10.5 |
| 10 | 105 | 10 | 105 |
Publisher’s Note: MDPI stays neutral with regard to jurisdictional claims in published maps and institutional affiliations. |
© 2021 by the authors. Licensee MDPI, Basel, Switzerland. This article is an open access article distributed under the terms and conditions of the Creative Commons Attribution (CC BY) license (https://creativecommons.org/licenses/by/4.0/).
Share and Cite
Spanjaards, M.; Peters, G.; Hulsen, M.; Anderson, P. Numerical Study of the Effect of Thixotropy on Extrudate Swell. Polymers 2021, 13, 4383. https://doi.org/10.3390/polym13244383
Spanjaards M, Peters G, Hulsen M, Anderson P. Numerical Study of the Effect of Thixotropy on Extrudate Swell. Polymers. 2021; 13(24):4383. https://doi.org/10.3390/polym13244383
Chicago/Turabian StyleSpanjaards, Michelle, Gerrit Peters, Martien Hulsen, and Patrick Anderson. 2021. "Numerical Study of the Effect of Thixotropy on Extrudate Swell" Polymers 13, no. 24: 4383. https://doi.org/10.3390/polym13244383
APA StyleSpanjaards, M., Peters, G., Hulsen, M., & Anderson, P. (2021). Numerical Study of the Effect of Thixotropy on Extrudate Swell. Polymers, 13(24), 4383. https://doi.org/10.3390/polym13244383

