Dynamic Mechanical Fatigue Behavior of Polymer Electrolyte Membranes for Fuel Cell Electric Vehicles Using a Gas Pressure-Loaded Blister
Abstract
:1. Introduction
2. Materials and Methods
2.1. Materials
2.2. Pressure-Loaded Blister Hybrid System Design and the PEMs Dynamic Mechanical Resistance Evaluation
2.3. Proton Conductivity & Nanostructure Changes after Pressure-Loaded Blistering under Specific Conditions
2.4. Hydrogen Permeability Changes after Pressure-Loaded Blistering
3. Results
3.1. Evaluation of Mechanical Resistance on Specific Conditions
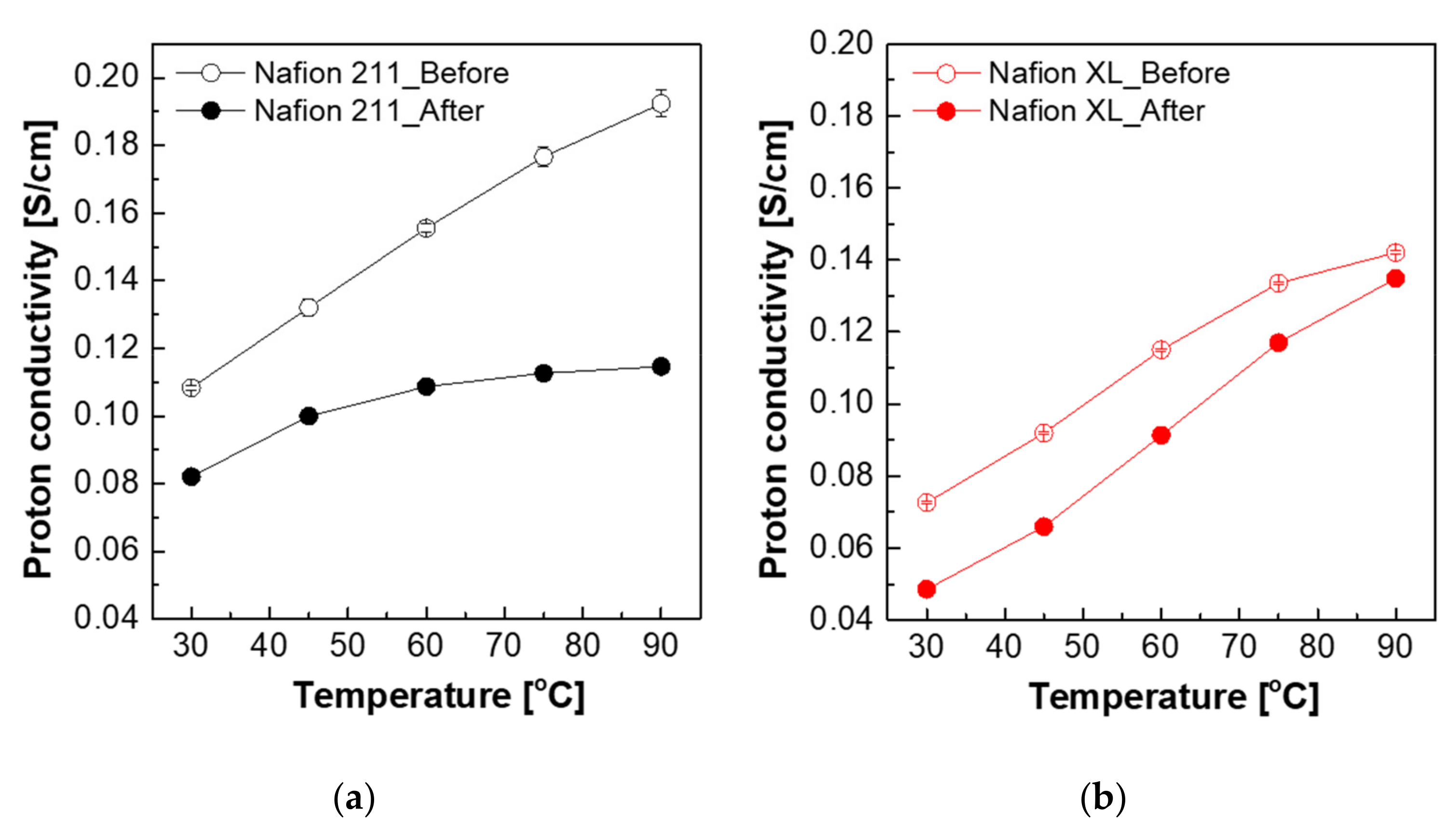
3.2. Proton Conductivity Changes after Hydrogen Gas Blistering Aging
3.3. Hydrogen Permeability Changes after Hydrogen Gas Blistering Aging
4. Conclusions
Author Contributions
Funding
Acknowledgments
Conflicts of Interest
References
- Grove, W.R. On voltaic series and the combination of gases by platinum Phil. Mag. Ser. 1839, 314, 127–130. [Google Scholar]
- Steele, B.C.H.; Heinzel, A. Materials for fuel-cell technologies. Nature 2001, 414, 345. [Google Scholar] [CrossRef] [PubMed]
- Qiu, D.; Peng, L.; Lai, X.; Ni, M.; Lehnert, W. Mechanical failure and mitigation strategies for the membrane in a proton exchange membrane fuel cell. Renew. Sustain. Energy Rev. 2019, 113, 109289. [Google Scholar] [CrossRef]
- Liu, W.; Ruth, K.; Rusch, G. Membrane durability in PEM fuel cells. J. New Mater. Electrochem. Syst. 2001, 4, 227–231. [Google Scholar]
- Badami, A.S.; Lane, O.; Lee, H.-S.; Roy, A.; McGrath, J.E. Fundamental investigations of the effect of the linkage group on the behavior of hydrophilic–hydrophobic poly(arylene ether sulfone) multiblock copolymers for proton exchange membrane fuel cells. J. Membr. Sci. 2009, 333, 1–11. [Google Scholar] [CrossRef]
- Mulmi, S.; Park, C.H.; Kim, H.K.; Lee, C.H.; Park, H.B.; Lee, Y.M. Surfactant-assisted polymer electrolyte nanocomposite membranes for fuel cells. J. Membr. Sci. 2009, 344, 288–296. [Google Scholar] [CrossRef]
- Khorasany, R.M.H.; Sadeghi Alavijeh, A.; Kjeang, E.; Wang, G.G.; Rajapakse, R.K.N.D. Mechanical degradation of fuel cell membranes under fatigue fracture tests. J. Power Sources 2015, 274, 1208–1216. [Google Scholar] [CrossRef]
- Lee, C.H.; Park, H.B.; Chung, Y.S.; Lee, Y.M.; Freeman, B.D. Water Sorption, Proton Conduction, and Methanol Permeation Properties of Sulfonated Polyimide Membranes Cross-Linked with N,N-Bis(2-hydroxyethyl)-2-aminoethanesulfonic Acid (BES). Macromolecules 2005, 39, 755–764. [Google Scholar] [CrossRef]
- Park, H.B.; Lee, C.H.; Sohn, J.Y.; Lee, Y.M.; Freeman, B.D.; Kim, H.J. Effect of crosslinked chain length in sulfonated polyimide membranes on water sorption, proton conduction, and methanol permeation properties. J. Membr. Sci. 2006, 285, 432–443. [Google Scholar] [CrossRef]
- Lee, C.H.; Min, K.A.; Park, H.B.; Hong, Y.T.; Jung, B.O.; Lee, Y.M. Sulfonated poly(arylene ether sulfone)-silica nanocomposite membrane for direct methanol fuel cell (DMFC). J. Membr. Sci. 2007, 303, 258–266. [Google Scholar] [CrossRef]
- Lee, C.H.; Lee, S.Y.; Lee, Y.M.; Lee, S.Y.; Rhim, J.W.; Lane, O.; McGrath, J.E. Surface-fluorinated proton-exchange membrane with high electrochemical durability for direct methanol fuel cells. ACS Appl. Mater. Interfaces 2009, 1, 1113–1121. [Google Scholar] [CrossRef] [PubMed]
- Lee, C.H.; Park, H.B.; Park, C.H.; Lee, S.Y.; Kim, J.Y.; McGrath, J.E.; Lee, Y.M. Preparation of high-performance polymer electrolyte nanocomposites through nanoscale silica particle dispersion. J. Power Sources 2010, 195, 1325–1332. [Google Scholar] [CrossRef]
- Hamrock, S. Technical Plan-Fuel Cells; Department of Energy: Washington, DC, USA, 2011. [Google Scholar]
- Yandrasits, M. DOE Technical Targets for Polymer Electrolyte Membrane Fuel Cell Components; Department of Energy: Washington, DC, USA, 2015. [Google Scholar]
- Vilela, C.; Silvestre, A.J.D.; Figueiredo, F.M.L.; Freire, C.S.R. Nanocellulose-based materials as components of polymer electrolyte fuel cells. J. Mater. Chem. A 2019, 7, 20045–20074. [Google Scholar] [CrossRef]
- Dillard, D.A.; Li, Y.; Grohs, J.R.; Case, S.W.; Ellis, M.W.; Lai, Y.-H.; Budinski, M.K.; Gittleman, C.S. On the use of pressure-loaded blister tests to characterize the strength and durability of proton exchange membranes. J. Fuel Cell Sci. Technol. 2009, 6, 031011–031014. [Google Scholar] [CrossRef]
- Li, Y.; Dillard, D.A.; Case, S.W.; Ellis, M.W.; Lai, Y.-H.; Gittleman, C.S.; Miller, D.P. Fatigue and creep to leak tests of proton exchange membranes using pressure-loaded blisters. J. Power Sources 2009, 194, 873–879. [Google Scholar] [CrossRef]
- Seo, D.; Park, S.; Jeon, Y.; Choi, S.-W.; Shul, Y.-G. Physical degradation of MEA in PEM fuel cell by on/off operation under nitrogen atmosphere. Korean J. Chem. Eng. 2010, 27, 104–109. [Google Scholar] [CrossRef]
- Park, S.-G.; Chae, K.-J.; Lee, M. A sulfonated poly(arylene ether sulfone)/polyimide nanofiber composite proton exchange membrane for microbial electrolysis cell application under the coexistence of diverse competitive cations and protons. J. Membr. Sci. 2017, 540, 165–173. [Google Scholar] [CrossRef]
- Yu, L.; Lin, F.; Xu, L.; Xi, J. Structure–property relationship study of Nafion XL membrane for high-rate, long-lifespan, and all-climate vanadium flow batteries. RSC Adv. 2017, 7, 31164–31172. [Google Scholar] [CrossRef] [Green Version]
- Lee, C.H.; Park, H.B.; Lee, Y.M.; Lee, R.D. Importance of Proton Conductivity Measurement in Polymer Electrolyte Membrane for Fuel Cell Application. Ind. Eng. Chem. Res. 2005, 44, 7617–7626. [Google Scholar] [CrossRef]
- Sone, Y.; Ekdunge, P.; Simonsson, D. Proton Conductivity of Nafion 117 as Measured by a Four-Electrode AC Impedance Method. J. Electrochem. Soc. 1996, 143, 1254–1259. [Google Scholar] [CrossRef]
- Kim, K.-W.; Kim, J.; Yun, Y.D.; Ahn, H.; Min, B.; Kim, N.H.; Rah, S.; Kim, H.-Y.; Lee, C.-S.; Seo, I.D.J.B. Small-angle X-ray Scattering Beamline BL4C SAXS at Pohang Light Source II. Biodesign 2017, 5, 24–29. [Google Scholar]
- Haubold, H.G.; Vad, T.; Jungbluth, H.; Hiller, P. Nano structure of NAFION: A SAXS study. Electrochim. Acta 2001, 46, 1559–1563. [Google Scholar] [CrossRef]
- Kusoglu, A.; Savagatrup, S.; Clark, K.T.; Weber, A.Z. Role of Mechanical Factors in Controlling the Structure–Function Relationship of PFSA Ionomers. Macromolecules 2012, 45, 7467–7476. [Google Scholar] [CrossRef]
- Lü, W.; Liu, Z.; Wang, C.; Mao, Z.; Zhang, M. The effects of pinholes on proton exchange membrane fuel cell performance. Int. J. Energy Res. 2011, 35, 24–30. [Google Scholar] [CrossRef]
- Shin, D.W.; Lee, S.Y.; Kang, N.R.; Lee, K.H.; Guiver, M.D.; Lee, Y.M. Durable Sulfonated Poly(arylene sulfide sulfone nitrile)s Containing Naphthalene Units for Direct Methanol Fuel Cells (DMFCs). Macromolecules 2013, 46, 3452–3460. [Google Scholar] [CrossRef]
- Tang, Y.; Karlsson, A.M.; Santare, M.H.; Gilbert, M.; Cleghorn, S.; Johnson, W.B. An experimental investigation of humidity and temperature effects on the mechanical properties of perfluorosulfonic acid membrane. Mater. Sci. Eng. A 2006, 425, 297–304. [Google Scholar] [CrossRef]
- Robert, M.; El Kaddouri, A.; Perrin, J.-C.; Mozet, K.; Dillet, J.; Morel, J.-Y.; Lottin, O. The Impact of Chemical-Mechanical Ex Situ Aging on PFSA Membranes for Fuel Cells. Membranes 2021, 11, 366. [Google Scholar] [CrossRef]
- Gao, C.; Chen, J.; Zhang, B.; Wang, L. Effect of Chemical Structure and Degree of Branching on the Stability of Proton Exchange Membranes Based on Sulfonated Polynaphthylimides. Polymers 2020, 12, 652. [Google Scholar] [CrossRef] [Green Version]
- Yun, S.; Parrondo, J.; Zhang, F.; Ramani, V. Microstructure-Property Relationships in Sulfonated Polyether Ether Ketone/Silsesquioxane Composite Membranes for Direct Methanol Fuel Cells. J. Electrochem. Soc. 2014, 161, F815–F822. [Google Scholar] [CrossRef] [Green Version]
- Robert, M.; El Kaddouri, A.; Perrin, J.-C.; Mozet, K.; Daoudi, M.; Dillet, J.; Morel, J.-Y.; André, S.; Lottin, O. Effects of conjoint mechanical and chemical stress on perfluorosulfonic-acid membranes for fuel cells. J. Power Sources 2020, 476, 228662. [Google Scholar] [CrossRef]
- Park, I.-K.; Hou, J.; Yun, J.; Lee, H.-D.; Lee, C.-H. A Study to Enhance the Nitrate-Nitrogen Removal Rate without Dismantling the NF Module by Building a PFSA Ionomer-Coated NF Module. Membranes 2021, 11, 769. [Google Scholar] [CrossRef] [PubMed]
- Ahn, C.-Y.; Ahn, J.; Kang, S.Y.; Kim, O.-H.; Lee, D.W.; Lee, J.H.; Shim, J.G.; Lee, C.H.; Cho, Y.-H.; Sung, Y.-E.J.S.A. Enhancement of service life of polymer electrolyte fuel cells through application of nanodispersed ionomer. Sci. Adv. 2020, 6, eaaw0870. [Google Scholar] [CrossRef] [PubMed] [Green Version]
- Xing, Y.; Li, H.; Avgouropoulos, G. Research Progress of Proton Exchange Membrane Failure and Mitigation Strategies. Materials 2021, 14, 2591. [Google Scholar] [CrossRef] [PubMed]






| Type | Thickness (μm) | Basic Weight (g/m2) | Tensile Strength Max (MPa) | Elongation to Break (%) | |
|---|---|---|---|---|---|
| NafionTM 211 | Non-reinforced membrane | 25.4 | 50 | 23 (MD), 28 (TD) | 252 (MD), 311 (TD) |
| NafionTM XL | Composite membrane | 27.5 | 55 | 45 (MD), 40 (TD) | 200 (MD), 185 (TD) |
| Interdomain Distance α (nm) | qmax (Å−1) | |
|---|---|---|
| Nafion 211_Before | 3.10 | 0.202 |
| Nafion 211_After | 3.22 | 0.194 |
| Nafion XL_Before | 3.03 | 0.207 |
| Nafion XL_After | 3.31 | 0.189 |
Publisher’s Note: MDPI stays neutral with regard to jurisdictional claims in published maps and institutional affiliations. |
© 2021 by the authors. Licensee MDPI, Basel, Switzerland. This article is an open access article distributed under the terms and conditions of the Creative Commons Attribution (CC BY) license (https://creativecommons.org/licenses/by/4.0/).
Share and Cite
Lim, J.H.; Hou, J.; Lee, C.H. Dynamic Mechanical Fatigue Behavior of Polymer Electrolyte Membranes for Fuel Cell Electric Vehicles Using a Gas Pressure-Loaded Blister. Polymers 2021, 13, 4177. https://doi.org/10.3390/polym13234177
Lim JH, Hou J, Lee CH. Dynamic Mechanical Fatigue Behavior of Polymer Electrolyte Membranes for Fuel Cell Electric Vehicles Using a Gas Pressure-Loaded Blister. Polymers. 2021; 13(23):4177. https://doi.org/10.3390/polym13234177
Chicago/Turabian StyleLim, Jun Hyun, Jian Hou, and Chang Hyun Lee. 2021. "Dynamic Mechanical Fatigue Behavior of Polymer Electrolyte Membranes for Fuel Cell Electric Vehicles Using a Gas Pressure-Loaded Blister" Polymers 13, no. 23: 4177. https://doi.org/10.3390/polym13234177
APA StyleLim, J. H., Hou, J., & Lee, C. H. (2021). Dynamic Mechanical Fatigue Behavior of Polymer Electrolyte Membranes for Fuel Cell Electric Vehicles Using a Gas Pressure-Loaded Blister. Polymers, 13(23), 4177. https://doi.org/10.3390/polym13234177

