Copolymer Involving 2-Hydroxyethyl Methacrylate and 2-Chloroquinyl Methacrylate: Synthesis, Characterization and In Vitro 2-Hydroxychloroquine Delivery Application
Abstract
:1. Introduction
2. Materials and Methods
2.1. Chemicals
2.2. Extraction of 2-Hydroxychloroquine from the Plaquenil Commercial Tablets
2.3. Synthesis of 2-Chloroquinyl Methacrylate (CQMA)
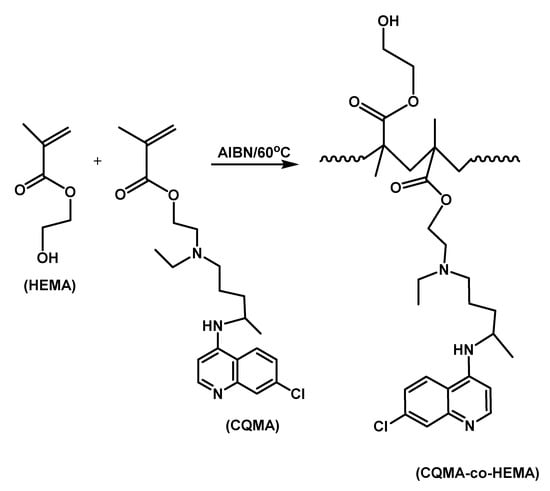
2.4. Preparation of CQMA-co-HEMA Drug Carrier Systems
2.5. Characterization
2.6. Toxicity and Cell Adhesion
2.6.1. Cell Culture Conditions
2.6.2. Cell Adhesion by MTT Assay
2.6.3. Cell Toxicity by LDH Assay
2.7. Mass Transfer
2.8. In Vitro Drug Release
3. Results and Discussions
3.1. Characterization
3.1.1. Elementary Analysis
3.1.2. FTIR Analysis
3.1.3. NMR Analysis
3.1.4. DSC Analysis
3.1.5. X-ray Diffraction Analysis
3.2. Surface Morphology
3.3. Swelling Behavior of CQMA-co-HEMA Systems
3.4. Cell Viability of HCQMA-co-HEMA on Ca9-22 Cells
3.5. Cell Adhesion and Growth
3.6. In Vitro HCQ Release
3.6.1. Release Kinetics of HCQ
3.6.2. HCQ Solubility Enhancement
3.6.3. Diffusion Behavior of HCQ
3.6.4. Effect of the Swelling Degree of CQMA-co-HEMA Systems
3.6.5. Effect of the CQMA Content
3.6.6. Effect of pH Media
3.6.7. Performance of CQMA-co-HEMA Drug Carrier System
4. Conclusions
Author Contributions
Funding
Institutional Review Board Statement
Informed Consent Statement
Data Availability Statement
Conflicts of Interest
References
- Kravvariti, E.; Koutsogianni, A.; Samoli, E.; Sfikakis, P.P.; Tektonidou, M.G. The effect of hydroxychloroquine on thrombosis prevention and antiphospholipid antibody levels in primary antiphospholipid syndrome: A pilot open label randomized prospective study. Autoimmun. Rev. 2020, 19, 102491. [Google Scholar] [CrossRef] [PubMed]
- Shipman, W.D.; Vernice, N.A.; Demetres, M.; Jorizzo, J.L. An update on the use of hydroxychloroquine in cutaneous lupus erythematosus: A systematic review. J. Am. Acad. Dermatol. 2020, 82, 709–722. [Google Scholar] [CrossRef] [PubMed]
- Hedya, S.A.; Safar, M.M.; Bahgat, A.K. Hydroxychloroquine antiparkinsonian potential: Nurr1 modulation versus autophagy inhibition. Behav. Brain Res. 2019, 365, 82–88. [Google Scholar] [CrossRef]
- Belizna, C.; Pregnolato, F.; Abad, S.; Alijotas-Reig, J.; Amital, H.; Amoura, Z.; Andreoli, L.; Andres, E.; Aouba, A.; Bilgen, S.A. HIBISCUS: Hydroxychloroquine for the secondary prevention of thrombotic and obstetrical events in primary antiphospholipid syndrome. Autoimmun. Rev. 2018, 17, 1153–1168. [Google Scholar] [CrossRef] [PubMed]
- Li, J.; Yuan, X.; Tang, Y.; Wang, B.; Deng, Z.; Huang, Y.; Liu, F.; Zhao, Z.; Zhang, Y. Hydroxychloroquine is a novel therapeutic approach for rosacea. Int. Immunopharmacol. 2020, 79, 106178. [Google Scholar] [CrossRef]
- Bothwell, B.; Furst, D. Antirheumatic Therapy: Actions and Outcomes; Springer: Berlin/Heidelberg, Germany, 2005. [Google Scholar]
- Ono, C.; Yamada, M.; Tanaka, M. Absorption, distribution and excretion of 14C-chloroquine after single oral administration in albino and pigmented rats: Binding characteristics of chloroquine-related radioactivity to melanin in-vivo. J. Pharm. Pharmacol. 2003, 55, 1647–1654. [Google Scholar] [CrossRef]
- Banks, C.N. Melanin: Blackguard or red herring? Another look at chloroquine retinopathy. Aust. N. Z. J. Ophthalmol. 1987, 15, 365–370. [Google Scholar] [CrossRef]
- Schiemann, U.; Kellner, H. Gastrointestinale Nebenwirkungen der Therapie rheumatischer Erkrankungen. Zeitschrift Für Gastroenterologie 2002, 40, 937–943. [Google Scholar] [CrossRef]
- Smith, T.; Bushek, J.; LeClaire, A.; Prosser, T. COVID-19 Drug Therapy; Elsevier: Amsterdam, The Netherlands, 2020. [Google Scholar]
- Sung-sun, K. Physicians Work Out Treatment Guidelines for Coronavirus. Available online: https://www.koreabiomed.com/news/articleView.html?idxno=7428 (accessed on 17 March 2020).
- Bukhari, M.H.; Mahmood, K.; Zahra, S.A. Over view for the truth of COVID-19 pandemic: A guide for the Pathologists, Health care workers and community. Pak. J. Med. Sci. 2020, 36, S111. [Google Scholar] [CrossRef]
- Liu, J.; Cao, R.; Xu, M.; Wang, X.; Zhang, H.; Hu, H.; Li, Y.; Hu, Z.; Zhong, W.; Wang, M. Hydroxychloroquine, a less toxic derivative of chloroquine, is effective in inhibiting SARS-CoV-2 infection in vitro. Cell Discov. 2020, 6, 1. [Google Scholar] [CrossRef] [Green Version]
- Cortegiani, A.; Ingoglia, G.; Ippolito, M.; Giarratano, A.; Einav, S. A systematic review on the efficacy and safety of chloroquine for the treatment of COVID-19. Crit. Care 2020, 57, 279–283. [Google Scholar] [CrossRef]
- Da Silva, A.E.A.; de Abreu, P.M.B.; Geraldes, D.C.; de Oliveira Nascimento, L. Hydroxychloroquine: Pharmacological, physicochemical aspects and activity enhancement through experimental formulations. J. Drug Deliv. Sci. Technol. 2021, 63, 102512. [Google Scholar] [CrossRef]
- Food and Drug Administration, FDA. Plaquenil® Hydroxychloroquine Sulfate Tablets; United States Pharmacopeia (USP): North Bethesda, MD, USA, 2018. [Google Scholar]
- Zhang, D.; Lee, Y.-C.; Shabani, Z.; Frankenfeld Lamm, C.; Zhu, W.; Li, Y.; Templeton, A. Processing impact on performance of solid dispersions. Pharmaceutics 2018, 10, 142. [Google Scholar] [CrossRef] [Green Version]
- Arıca, M.Y.; Bayramoǧlu, G.; Arıca, B.; Yalçın, E.; Ito, K.; Yagci, Y. Novel Hydrogel Membrane Based on Copoly (hydroxyethyl methacrylate/p-vinylbenzyl-poly (ethylene oxide)) for Biomedical Applications: Properties and Drug Release Characteristics. Macromol. Biosci. 2005, 5, 983–992. [Google Scholar] [CrossRef]
- Brigger, I.; Dubernet, C.; Couvreur, P. Nanoparticles in cancer therapy and diagnosis. Adv. Drug Deliv. Rev. 2012, 64, 24–36. [Google Scholar] [CrossRef]
- Flynn, L.; Dalton, P.D.; Shoichet, M.S. Fiber templating of poly (2-hydroxyethyl methacrylate) for neural tissue engineering. Biomaterials 2003, 24, 4265–4272. [Google Scholar] [CrossRef]
- Chou, K.; Lee, S.; Han, C. Water transport in crosslinked 2-hydroxyethyl methacrylate. Polym. Eng. Sci. 2000, 40, 1004–1014. [Google Scholar] [CrossRef]
- Wang, L.; Abedalwafa, M.; Wang, F.; Li, C. Biodegradable poly-epsilon-caprolactone (PCL) for tissue engineering applications: A review. Rev. Adv. Mater. Sci 2013, 34, 123–140. [Google Scholar]
- Alghamdi, A.A.; Alattas, H.; Saeed, W.S.; Al-Odayni, A.-B.; Alrahlah, A.; Aouak, T. Preparation and Characterization of Poly(ethylene-co-vinyl alcohol)/poly(µ-caprolactone) Blend for Bioscaffolding Applications. Int. J. Mol. Sci. 2020, 21, 5881. [Google Scholar] [CrossRef] [PubMed]
- Drugbank Online. Hydroxychloroquine. Available online: https://go.drugbank.com/drugs/DB01611 (accessed on 17 March 2021).
- Semlali, A.; Jacques, E.; Rouabhia, M.; Milot, J.; Laviolette, M.; Chakir, J. Regulation of epithelial cell proliferation by bronchial fibroblasts obtained from mild asthmatic subjects. Allergy 2010, 65, 1438–1445. [Google Scholar] [CrossRef]
- Semlali, A.; Chakir, J.; Goulet, J.P.; Chmielewski, W.; Rouabhia, M. Whole cigarette smoke promotes human gingival epithelial cell apoptosis and inhibits cell repair processes. J. Periodontal Res. 2011, 46, 533–541. [Google Scholar] [CrossRef] [PubMed]
- Semlali, A.; Chakir, J.; Rouabhia, M. Effects of whole cigarette smoke on human gingival fibroblast adhesion, growth, and migration. J. Toxicol. Environ. Health Part A 2011, 74, 848–862. [Google Scholar] [CrossRef] [PubMed]
- Singh, B.; Sharma, N. Mechanistic implication for cross-linking in sterculia-based hydrogels and their use in GIT drug delivery. Biomacromolecules 2009, 10, 2515–2532. [Google Scholar] [CrossRef]
- Vargün, E.; Usanmaz, A. Degradation of poly (2-hydroxyethyl methacrylate) obtained by radiation in aqueous solution. J. Macromol. Sci. Part A Pure Appl. Chem. 2010, 47, 882–891. [Google Scholar] [CrossRef]
- Liu, T.; Zhang, W.; Wang, J.; Zhang, Y.; Wang, H.; Sun, F.; Cai, L. Improved Dimensional Stability and Mold Resistance of Bamboo via In Situ Growth of Poly (Hydroxyethyl Methacrylate-N-Isopropyl Acrylamide). Polymers 2020, 12, 1584. [Google Scholar] [CrossRef]
- Reimschuessel, H. On the glass transition temperature of comblike polymers: Effects of side chain length and backbone chain structure. J. Polym. Sci. Polym. Chem. Ed. 1979, 17, 2447–2457. [Google Scholar] [CrossRef]
- Siddiqui, M.N.; Redhwi, H.H.; Tsagkalias, I.; Softas, C.; Ioannidou, M.D.; Achilias, D.S. Synthesis and characterization of poly (2-hydroxyethyl methacrylate)/silver hydrogel nanocomposites prepared via in situ radical polymerization. Thermochim. Acta 2016, 643, 53–64. [Google Scholar] [CrossRef]
- Castelli, F.; Pitarresi, G.; Giammona, G. Influence of different parameters on drug release from hydrogel systems to a biomembrane model. Evaluation by differential scanning calorimetry technique. Biomaterials 2000, 21, 821–833. [Google Scholar] [CrossRef]
- Martinez, A.W.; Caves, J.M.; Ravi, S.; Li, W.; Chaikof, E.L. Effects of crosslinking on the mechanical properties, drug release and cytocompatibility of protein polymers. Acta Biomater. 2014, 10, 26–33. [Google Scholar] [CrossRef] [Green Version]
- Iwata, M.; Takayama, K.; Takahashi, Y.; Obata, Y.; Machida, Y.; Nagai, T.; Shirotake, S. Effect of temperature on drug release and drug absorption in mixed type diclofenac sodium suppositories. Yakugaku Zasshi J. Pharm. Soc. Jpn. 1999, 119, 170–177. [Google Scholar] [CrossRef] [Green Version]
- Ibezim, E. Effects of dissolution medium, pH and temperature on the in vitro release properties of metronidazole tablets. J. Pharm. Allied Sci. 2004, 2, 209–213. [Google Scholar] [CrossRef]
- Deng, K.; Zhong, H.; Tian, T.; Gou, Y.; Li, Q.; Dong, L. Drug release behavior of a pH/temperature sensitive calcium alginate/poly (N-acryloylglycine) bead with core-shelled structure. Express Polym. Lett. 2010, 4, 773–780. [Google Scholar] [CrossRef]
- Kenawy, E.R.; Abdel-Hay, F.; El-Newehy, M.; Ottenbrite, R.M. Effect of pH on the drug release rate from a new polymer–drug conjugate system. Polym. Int. 2008, 57, 85–91. [Google Scholar] [CrossRef]
- Sari, S.C.; Benmouna, M.; Mahlous, M.; Kaci, M. Swelling behavior of poly (2-hydroxyethyl methacrylate) copolymer gels. MATEC Web Conf. 2013, 5, 04008. [Google Scholar] [CrossRef] [Green Version]
- Kost, J.; Horbett, T.A.; Ratner, B.D.; Singh, M. Glucose-sensitive membranes containing glucose oxidase: Activity, swelling, and permeability studies. J. Biomed. Mater. Res. 1985, 19, 1117–1133. [Google Scholar] [CrossRef]
- Chu, K.R.; Lee, E.; Jeong, S.H.; Park, E.-S. Effect of particle size on the dissolution behaviors of poorly water-soluble drugs. Arch. Pharmacal Res. 2012, 35, 1187–1195. [Google Scholar] [CrossRef]
- Sareen, S.; Mathew, G.; Joseph, L. Improvement in solubility of poor water-soluble drugs by solid dispersion. Int. J. Pharm. Investig. 2012, 2, 12–17. [Google Scholar] [CrossRef] [Green Version]
- Bhakay, A.; Rahman, M.; Dave, R.N.; Bilgili, E. Bioavailability enhancement of poorly water-soluble drugs via nanocomposites: Formulation–Processing aspects and challenges. Pharmaceutics 2018, 10, 86. [Google Scholar] [CrossRef] [Green Version]
- Lin, M.; Wang, H.; Meng, S.; Zhong, W.; Li, Z.; Cai, R.; Chen, Z.; Zhou, X.; Du, Q. Structure and release behavior of PMMA/silica composite drug delivery system. J. Pharm. Sci. 2007, 96, 1518–1526. [Google Scholar] [CrossRef]
- Reinhard, C.S.; Radomsky, M.L.; Saltzman, W.M.; Hilton, J.; Brem, H. Polymeric controlled release of dexamethasone in normal rat brain. J. Control. Release 1991, 16, 331–339. [Google Scholar] [CrossRef]
- Cypes, S.H.; Saltzman, W.M.; Giannelis, E.P. Organosilicate-polymer drug delivery systems: Controlled release and enhanced mechanical properties. J. Control. Release 2003, 90, 163–169. [Google Scholar] [CrossRef]
- Frank, A.; Rath, S.K.; Venkatraman, S.S. Controlled release from bioerodible polymers: Effect of drug type and polymer composition. J. Control. Release 2005, 102, 333–344. [Google Scholar] [CrossRef]
- Dilmi, A.; Bartil, T.; Yahia, N.; Benneghmouche, Z. Hydrogels based on 2-hydroxyethylmethacrylate and chitosan: Preparation, swelling behavior, and drug delivery. Int. J. Polym. Mater. Polym. Biomater. 2014, 63, 502–509. [Google Scholar] [CrossRef]
- Wan, L.S.; Heng, P.W.; Wong, L.F. Relationship between swelling and drug release in a hydrophilic matrix. Drug Dev. Ind. Pharm. 1993, 19, 1201–1210. [Google Scholar] [CrossRef]
- Liechty, W.B.; Kryscio, D.R.; Slaughter, B.V.; Peppas, N.A. Polymers for drug delivery systems. Annu. Rev. Chem. Biomol. Eng. 2010, 1, 149–173. [Google Scholar] [CrossRef] [PubMed] [Green Version]
- Hezaveh, H.; Muhamad, I.I.; Noshadi, I.; Shu Fen, L.; Ngadi, N. Swelling behaviour and controlled drug release from cross-linked κ-carrageenan/NaCMC hydrogel by diffusion mechanism. J. Microencapsul. 2012, 29, 368–379. [Google Scholar] [CrossRef] [PubMed]
- Narayanaswamy, R.; Torchilin, V.P. Hydrogels and their applications in targeted drug delivery. Molecules 2019, 24, 603. [Google Scholar] [CrossRef] [PubMed] [Green Version]
- Park, H.-Y.; Choi, C.-R.; Kim, J.-H.; Kim, W.-S. Effect of pH on drug release from polysaccharide tablets. Drug Deliv. 1998, 5, 13–18. [Google Scholar] [CrossRef]
- Ruan, L.L.; Wang, D.X.; Zhang, Y.W.; Zhao, J.X.; Zhang, X.F.; Chen, N.L. Different pH-values of release medium influence the drug release from PTX-PCL microspheres. Adv. Mater. Res. 2012, 482, 2605–2608. [Google Scholar] [CrossRef]
- Cao, Z.; Li, W.; Liu, R.; Li, X.; Li, H.; Liu, L.; Chen, Y.; Lv, C.; Liu, Y. pH-and enzyme-triggered drug release as an important process in the design of anti-tumor drug delivery systems. Biomed. Pharmacother. 2019, 118, 109340. [Google Scholar] [CrossRef]
- Qixing, Z.; Hongbin, W.; Jingyuan, D.; Shipu, L.; Yuhua, Y. The bacterial inhibitory ability andin vivo drug release pattern of a new drug delivery system: Ciprofloxacine/tricalcium phosphate delivery capsule. J. Tongji Med. Univ. 1998, 18, 172–176. [Google Scholar] [CrossRef]
- Ebrahimi, S.; Farhadian, N.; Karimi, M.; Ebrahimi, M. Enhanced bactericidal effect of ceftriaxone drug encapsulated in nanostructured lipid carrier against gram-negative Escherichia coli bacteria: Drug formulation, optimization, and cell culture study. Antimicrob. Resist. Infect. Control 2020, 9, 28. [Google Scholar] [CrossRef] [Green Version]
- Belzer, C.; de Vos, W.M. Microbes inside—From diversity to function: The case of Akkermansia. ISME J. 2012, 6, 1449–1458. [Google Scholar] [CrossRef]























| Formula | Molar Mass (g∙mol−1) | Appearance | Density (g∙L−1) | Water Solubility (mg∙L−1) | Melting Temperature (°C) |
|---|---|---|---|---|---|
| C18H26ClN3O | 335.87 | White crystals | 1.2 | 26 | 90 |
| Copolymer | CQMA (g) | HEMA (g) | AIBN (wt%) | Monomers Composition (wt%) | Drug Content (wt%) |
|---|---|---|---|---|---|
| CQMA-co-HEMA5 | 0.20 | 9.80 | 0.1 | 10 | 2.0 |
| CQMA-co-HEMA7 | 0.85 | 9.15 | 0.1 | 25 | 8.5 |
| CQMA-co-HEMA10 | 1.00 | 9.00 | 0.1 | 50 | 10.0 |
| CQMA-co-HEMA15 | 1.50 | 8.50 | 0.1 | 75 | 15.0 |
| Element | Composition (wt%) | |||||
|---|---|---|---|---|---|---|
| Sulfanilamid (Ref) | HCQ | CQMA | ||||
| Exp. | Calc. | Exp. | Calc. | Exp. | Calc. | |
| C | 41.850 | 41.860 | 64.230 | 64.310 | 65.470 | 65.367 |
| H | 04.680 | 04.651 | 07.787 | 07.741 | 07.489 | 07.428 |
| N | 16.260 | 16.279 | 12.393 | 12.505 | 10.450 | 10.399 |
| System | Elementary Composition (wt%) | CQMA (wt%) | HCQ (mol%) | ||
|---|---|---|---|---|---|
| C | H | N | |||
| PHEMA | 55.287 | 7.723 | 0 | 0 | 0 |
| CQMA-co-HEMA5 | 56.747 | 7.602 | 01.412 | 04.70 | 1.61 |
| CQMA-co-HEMA7 | 59.906 | 5.294 | 02.116 | 07.22 | 2.52 |
| CQMA-co-HEMA10 | 59.496 | 7.720 | 02.673 | 09.68 | 3.44 |
| CQMA-co-HEMA15 | 57.110 | 7.673 | 01.852 | 14.82 | 6.49 |
| PCQMA | 65.362 | 7.540 | 10.563 | 100 | 100 |
| Compound | Solubility (mg∙L−1) | |||
|---|---|---|---|---|
| pH | 1 | 3 | 5 | 7 |
| HCQ powder | 35.62 | 31.17 | 28.08 | 27.82 |
| CQMA-co-HEMA5 | 22.61 | 21.41 | 19.0 | 19.32 |
| CQMA-co-HEMA7 | 168.0 | 149.0 | 137.0 | 167.0 |
| CQMA-co-HEMA10 | 58.0 | 149.0 | 70.0 | 84.0 |
| CQMA-co-HEMA15 | 186.0 | 249.0 | 252.0 | 261.0 |
| System | pH | Stable Zone (h) | HCQ Released (wt%) | Release Rate (wt%/h) | System | Stable Zone (h) | HCQ Released (wt%) | Release Rate (wt%/h) |
|---|---|---|---|---|---|---|---|---|
| CQMA-co-HEMA5 | 1 | 0–27 30–164 | 12.0 ± 0.2 12 ± 0.5 | 0.44 ± 0.04 0.10 ± 0.03 | CQMA-co-HEMA7 | 0–15 15–62 62–164 | 22.0 ± 0.8 22.0 ± 0.7 10.0 ± 0.3 | 1.46 ± 0.02 0.47 ± 0.02 010 ± 0.02 |
| 3 | 0–30 44–164 | 13 ± 0.2 18.2 ± 0.5 | 0.43 ± 0.04 0.15 ± 0.01 | 0–10 10–60 60–164 | 26.03 ± 0.6 18.00 ± 0.6 10.0 ± 0.6 | 2.60 ± 0.04 0.36 ± 0.02 0.10 ± 0.06 | ||
| 5 | 0–37 50–164 | 17.0 ± 0.6 6.0 ± 0.7 | 0.46 ± 0.08 0.05 ± 0.04 | 0–10 10–60 60–164 | 37.0 ± 0.6 17.0 ± 0.5 13.0 ± 0.6 | 3.70 ± 0.07 0.34 ± 0.03 0.13 ± 0.06 | ||
| 7 | 0–30 30–164 | 16.0 ± 0.5 12.0 ± 0.8 | 0.53 ± 0.04 0.09 ± 0.03 | 0–22 22–65 65–164 | 38.0 ± 0.4 18.0 ± 0.5 7.0 ± 0.6 | 1.73 ± 0.10 0.42 ± 0.02 0.07 ± 0.06 | ||
| CQMA-co-HEMA10 | 1 | 0–20 20–58 58–164 | 30.0 ± 0.3 22.0 ± 0.4 7.0 ± 0.4 | 1.5 ± 0.08 0.58 ± 0.09 0.070 ± 0.04 | CQMA-co-HEMA15 | 0–10 10–48 48–164 | 26.0 ± 0.3 20.0 ± 0.3 13.0 ± 0.02 | 2.60 ± 0.04 0.53 ± 0.05 0.11 ± 0.04 |
| 3 | 0–20 20–60 60–164 | 40.0 ± 0.3 9.0 ± 0.5 9.0 ± 0.4 | 2.3 ± 0.02 0.23 ± 0.02 0.09 ± 0.04 | 0–10 10–42 50–146 | 31 ± 0.4 20 ± 0.4 10.0 ± 0.4 | 3.10 ± 0.06 0.63 ± 0.04 0.06 ± 0.04 | ||
| 5 | 0–20 20–60 60–164 | 46.0 ± 0.3 14.0 ± 0.4 9.0 ± 0.4 | 2.30 ± 0.02 0.35 ± 0.09 0.09 ± 0.04 | 0–12 12–56 56–164 | 24.0 ± 0.5 22.0 ± 0.5 10.0 ± 0.04 | 2.00 ± 0.06 0.50 ± 0.05 0.09 ± 0.04 | ||
| 7 | 0–28 28–73 73–164 | 41.0 ± 0.4 13.0 ± 0.5 10.0 ± 0.4 | 1.46 ± 0.06 0.29 ± 0.02 0.11 ± 0.04 | 0–12 12–54 54–164 | 25.0 ± 0.5 21.0 ± 0.5 10.0 ± 0.04 | 1.93 ± 0.04 0.10 ± 0.05 0.09 ± 0.4 |
| CQMA-co-HEMA System | Stomach Transit (wt%) | Small Intestine Transit (wt%) | Colon Transit (wt%) | SDO (wt%) | ||||
|---|---|---|---|---|---|---|---|---|
| Transit Time | Min (1 h) | Max (4 h) | Min (4 h) | Max (12 h) | Min (48 h) | Max (72 h) | Min (48 h) | Max (72 h) |
| CQMA-co-HEMA5 | 0.44 | 1.74 | 2.12 | 6.36 | 15.76 | 17.90 | 2.40 | 6.69 |
| CQMA-co-HEMA7 | 2.03 | 8.12 | 6.92 | 20.76 | 43.68 | 49.86 | 3.86 | 10.31 |
| CQMA-co-HEMA10 | 1.90 | 7.60 | 5.84 | 17.52 | 40.96 | 47.92 | 3.90 | 10.40 |
| CQMA-co-HEMA15 | 2.85 | 11.4 | 7.72 | 23.16 | 20.98 | 23.38 | 9.03 | 19.68 |
Publisher’s Note: MDPI stays neutral with regard to jurisdictional claims in published maps and institutional affiliations. |
© 2021 by the authors. Licensee MDPI, Basel, Switzerland. This article is an open access article distributed under the terms and conditions of the Creative Commons Attribution (CC BY) license (https://creativecommons.org/licenses/by/4.0/).
Share and Cite
Aljubailah, A.; Alharbi, W.N.O.; Haidyrah, A.S.; Al-Garni, T.S.; Saeed, W.S.; Semlali, A.; Alqahtani, S.M.S.; Al-Owais, A.A.; Karami, A.M.; Aouak, T. Copolymer Involving 2-Hydroxyethyl Methacrylate and 2-Chloroquinyl Methacrylate: Synthesis, Characterization and In Vitro 2-Hydroxychloroquine Delivery Application. Polymers 2021, 13, 4072. https://doi.org/10.3390/polym13234072
Aljubailah A, Alharbi WNO, Haidyrah AS, Al-Garni TS, Saeed WS, Semlali A, Alqahtani SMS, Al-Owais AA, Karami AM, Aouak T. Copolymer Involving 2-Hydroxyethyl Methacrylate and 2-Chloroquinyl Methacrylate: Synthesis, Characterization and In Vitro 2-Hydroxychloroquine Delivery Application. Polymers. 2021; 13(23):4072. https://doi.org/10.3390/polym13234072
Chicago/Turabian StyleAljubailah, Abeer, Wafa Nazzal Odis Alharbi, Ahmed S. Haidyrah, Tahani Saad Al-Garni, Waseem Sharaf Saeed, Abdelhabib Semlali, Saad M. S. Alqahtani, Ahmad Abdulaziz Al-Owais, Abdulnasser Mahmoud Karami, and Taieb Aouak. 2021. "Copolymer Involving 2-Hydroxyethyl Methacrylate and 2-Chloroquinyl Methacrylate: Synthesis, Characterization and In Vitro 2-Hydroxychloroquine Delivery Application" Polymers 13, no. 23: 4072. https://doi.org/10.3390/polym13234072
APA StyleAljubailah, A., Alharbi, W. N. O., Haidyrah, A. S., Al-Garni, T. S., Saeed, W. S., Semlali, A., Alqahtani, S. M. S., Al-Owais, A. A., Karami, A. M., & Aouak, T. (2021). Copolymer Involving 2-Hydroxyethyl Methacrylate and 2-Chloroquinyl Methacrylate: Synthesis, Characterization and In Vitro 2-Hydroxychloroquine Delivery Application. Polymers, 13(23), 4072. https://doi.org/10.3390/polym13234072

