Synthesis, Characterization and Evaluation of Supercapacitive Response of Dodecylbenzenesulphonic Acid (DBSA) Doped Polypyrrole/Zirconium Dioxide Composites
Abstract
:1. Introduction
2. Materials and Methods
2.1. Materials
2.2. Synthesis of Polypyrrole (PPy)
2.3. Synthesis of Polypyrrole/Zirconium Dioxide (PPy/ ZrO2) Composites
2.4. Apparatus
3. Results and Discussion
3.1. UV-Visible Characterization
3.2. UV Band Gap Calculation
3.3. Vibrational Spectroscopy/FTIR Analysis
3.4. X-ray Diffraction Studies
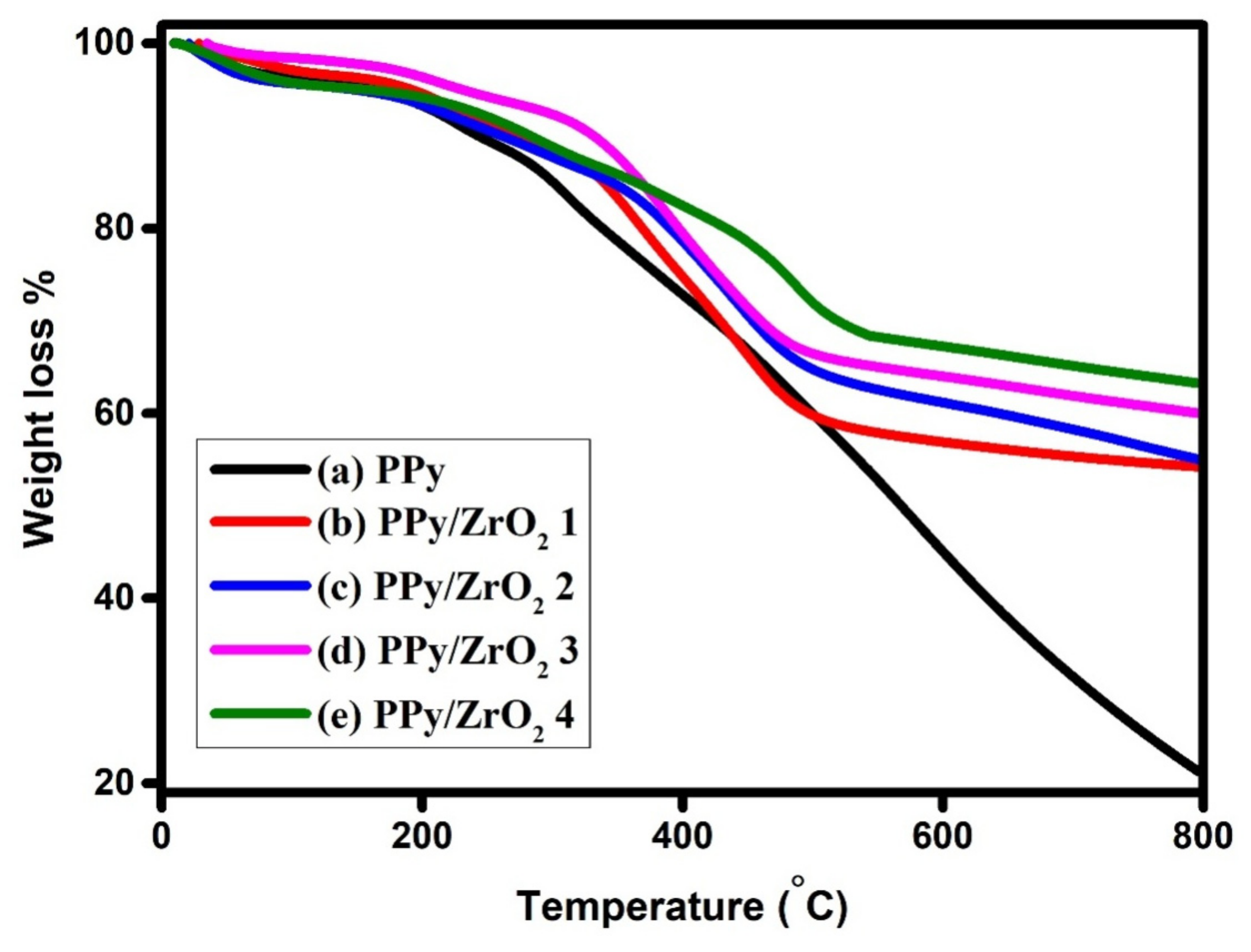
3.5. Thermogravimetric Analysis (TGA)
3.6. Morphological Study
3.7. Cyclic Voltammetric (CV) Analysis
3.8. Effect of Scan Rate
3.9. Galvanostatic Charge Discharge Studies
4. Conclusions
Author Contributions
Funding
Institutional Review Board Statement
Informed Consent Statement
Data Availability Statement
Acknowledgments
Conflicts of Interest
References
- Fang, S.; Li, J.; Xiang, C.; Zou, Y.; Xu, F.; Sun, L.; Zhang, J. Anchoring sea urchin-like cobalt-nickel carbonate hydroxide on 3D carbon sponge for electrochemical energy storage. J. Alloy. Compd. 2020, 845, 156024. [Google Scholar] [CrossRef]
- Cai, C.; Zou, Y.; Xiang, C.; Chu, H.; Qiu, S.; Sui, Q.; Xu, F.; Sun, L.; Shah, A. Broccoli-like porous carbon nitride from ZIF-8 and melamine for high performance supercapacitors. Appl. Surf. Sci. 2018, 440, 47–54. [Google Scholar] [CrossRef]
- Liu, Y.; Xiang, C.; Chu, H.; Qiu, S.; McLeod, J.; She, Z.; Xu, F.; Sun, L.; Zou, Y. Binary Co–Ni oxide nanoparticle-loaded hierarchical graphitic porous carbon for high-performance supercapacitors. J. Mater. Sci. Technol. 2020, 37, 135–142. [Google Scholar] [CrossRef]
- Zhang, L.L.; Zhao, X.S. Carbon-based materials as supercapacitor electrodes. Chem. Soc. Rev. 2009, 38, 2520–2531. [Google Scholar] [CrossRef] [PubMed]
- Arico, A.S.; Bruce, P.; Scrosati, B.; Tarascon, J.; van Schalkwijk, W. Nanostructured materials for advanced energy conversion and storage devices. In Materials for Sustainable Energy: A Collection of Peer-Reviewed Research and Review Articles from Nature Publishing Group; World Scientific: Singapore, 2011; pp. 148–159. [Google Scholar]
- Meng, C.; Liu, C.; Chen, L.; Hu, C.; Fan, S. Highly Flexible and All-Solid-State Paperlike Polymer Supercapacitors. Nano Lett. 2010, 10, 4025–4031. [Google Scholar] [CrossRef] [PubMed]
- Kaempgen, M.; Chan, C.K.; Ma, J.; Cui, Y.; Gruner, G. Printable Thin Film Supercapacitors Using Single-Walled Carbon Nanotubes. Nano Lett. 2009, 9, 1872–1876. [Google Scholar] [CrossRef]
- Weng, Z.; Su, Y.; Wang, D.-W.; Li, F.; Du, J.; Cheng, H.-M. Graphene-Cellulose Paper Flexible Supercapacitors. Adv. Energy Mater. 2011, 1, 917–922. [Google Scholar] [CrossRef]
- Noori, A.; El-Kady, M.F.; Rahmanifar, M.S.; Kaner, R.B.; Mousavi, M.F. Towards establishing standard performance metrics for batteries, supercapacitors and beyond. Chem. Soc. Rev. 2019, 48, 1272–1341. [Google Scholar] [CrossRef]
- Woo, S.-W.; Dokko, K.; Kanamura, K. Composite electrode composed of bimodal porous carbon and polypyrrole for electrochemical capacitors. J. Power Sources 2008, 185, 1589–1593. [Google Scholar] [CrossRef]
- Kim, B.; Ko, J.; Wallace, G. A novel capacitor material based on Nafion-doped polypyrrole. J. Power Sources 2008, 177, 665–668. [Google Scholar] [CrossRef]
- Ghenaatian, H.; Mousavi, M.; Rahmanifar, M. High performance hybrid supercapacitor based on two nanostructured conducting polymers: Self-doped polyaniline and polypyrrole nanofibers. Electrochim. Acta 2012, 78, 212–222. [Google Scholar] [CrossRef]
- Yuan, L.; Yao, B.; Hu, B.; Huo, K.; Chen, W.; Zhou, J. Polypyrrole-coated paper for flexible solid-state energy storage. Energy Environ. Sci. 2013, 6, 470–476. [Google Scholar] [CrossRef]
- Wang, Z.-L.; Guo, R.; Ding, L.-X.; Tong, Y.-X.; Li, G.-R. Controllable Template-Assisted Electrodeposition of Single- and Multi-Walled Nanotube Arrays for Electrochemical Energy Storage. Sci. Rep. 2013, 3, srep01204. [Google Scholar] [CrossRef] [PubMed]
- Snook, G.A.; Kao, P.; Best, A.S. Conducting-polymer-based supercapacitor devices and electrodes. J. Power Sources 2011, 196, 1–12. [Google Scholar] [CrossRef]
- Chen, S.S.; Zhang, H.R.; Todd, I. Phase-separation-enhanced plasticity in a Cu47.2Zr46.5Al5.5Nb0.8 bulk metallic glass. Scr. Mater. 2014, 72–73, 47–50. [Google Scholar] [CrossRef]
- Yu, M.; Zeng, Y.; Zhang, C.; Lu, X.; Zeng, C.; Yao, C.; Yang, Y.; Tong, Y. Titanium dioxide@polypyrrole core–shell nanowires for all solid-state flexible supercapacitors. Nanoscale 2013, 5, 10806–10810. [Google Scholar] [CrossRef] [PubMed]
- Zhang, X.; Zeng, X.; Yang, M.; Qi, Y. Investigation of a Branchlike MoO3/Polypyrrole Hybrid with Enhanced Electrochemical Performance Used as an Electrode in Supercapacitors. ACS Appl. Mater. Interfaces 2014, 6, 1125–1130. [Google Scholar] [CrossRef]
- Gao, F.; Hou, X.; Wang, A.; Chu, G.; Wu, W.; Chen, J.; Zou, H. Preparation of polypyrrole/TiO2 nanocomposites with enhanced photocatalytic performance. Particuology 2016, 26, 73–78. [Google Scholar] [CrossRef]
- Jadhav, N.; Kasisomayajula, S.; Gelling, V.J. Polypyrrole/Metal Oxides-Based Composites/Nanocomposites for Corrosion Protection. Front. Mater. 2020, 7, 95. [Google Scholar] [CrossRef]
- Grari, O.; Taouil, A.E.; Dhouibi, L.; Buron, C.; Lallemand, F. Multilayered polypyrrole–SiO2 composite coatings for functionalization of stainless steel: Characterization and corrosion protection behavior. Prog. Org. Coat. 2015, 88, 48–53. [Google Scholar] [CrossRef]
- Dey, S.; Kar, A.K. Effect of Forster resonance energy transfer on the photoluminescence of PPy-ZnO composite. J. Sol.-Gel. Sci. Technol. 2021. [Google Scholar] [CrossRef]
- Chigondo, M.; Chigondo, F.; Nyamunda, B. Synthesis of hydrous CeO2 polypyrrole nanocomposite as a rapid and efficient adsorbent for defluoridation of drinking water. Environ. Nanotechnol. Monit. Manag. 2021, 16, 100462. [Google Scholar] [CrossRef]
- Dakshayini, B.; Reddy, K.R.; Mishra, A.; Shetti, N.P.; Malode, S.J.; Basu, S.; Naveen, S.; Raghu, A.V. Role of conducting polymer and metal oxide-based hybrids for applications in ampereometric sensors and biosensors. Microchem. J. 2019, 147, 7–24. [Google Scholar] [CrossRef]
- Xue, J.; Yang, Q.; Guan, R.; Shen, Q.; Liu, X.; Jia, H.; Li, Q. High-performance ordered porous Polypyrrole/ZnO films with improved specific capacitance for supercapacitors. Mater. Chem. Phys. 2020, 256, 123591. [Google Scholar] [CrossRef]
- Kim, M.S.; Park, J.H. Polypyrrole/titanium oxide nanotube arrays composites as an active material for supercapacitors. J. Nanosci. Nanotechnol. 2011, 11, 4522–4526. [Google Scholar] [CrossRef]
- Yang, H.; Zhou, K.; Pan, D.; Liu, X.; Yang, M.; Zhu, X.J. Polypyrrole@silica composites as high performance electrode materials for Lithium-ion batteries. Mater. Sci. Mater. Electron. 2018, 29, 6098–6104. [Google Scholar]
- Bekhoukh, A.; Moulefera, I.; Sabantina, L.; Benyoucef, A. Development, Investigation, and Comparative Study of the Effects of Various Metal Oxides on Optical Electrochemical Properties Using a Doped PANI Matrix. Polymers 2021, 13, 3344. [Google Scholar] [CrossRef]
- Habelhames, F.; Nessark, B.; Bouhafs, D.; Cheriet, A.; Derbal, H. Synthesis and characterisation of polypyrrole–indium phosphide composite film. Ionics 2010, 16, 177–184. [Google Scholar] [CrossRef]
- Vasilyeva, S.V.; Vorotyntsev, M.A.; Bezverkhyy, I.; Lesniewska, E.; Heintz, O.; Chassagnon, R. Synthesis and Characterization of Palladium Nanoparticle/Polypyrrole Composites. J. Phys. Chem. C 2008, 112, 19878–19885. [Google Scholar] [CrossRef]
- Bilal, S.; Perveen, F.; Shah, A. Chemical synthesis of polypyrrole doped with dodecyl benzene sulfonic acid. J. SciInnov Res. 2015, 4, 33–42. [Google Scholar]
- Irfan, M.; Shakoor, A.; Majid, A.; Hassam, N.; Ahmed, N. Study of Structural, Thermal and Dielectric Modulus of PPy–DBSA–Zirconium Oxide Composites. Russ. J. Phys. Chem. B 2019, 13, 1057–1063. [Google Scholar] [CrossRef]
- Wang, J.; Yin, W.; He, X.; Wang, Q.; Guo, M.; Chen, S. Good Biocompatibility and Sintering Properties of Zirconia Nanoparticles Synthesized via Vapor-phase Hydrolysis. Sci. Rep. 2016, 6, 35020. [Google Scholar] [CrossRef] [Green Version]
- Sultan, A.; Ahmad, S.; Mohammad, F. Synthesis, Characterization and Electrical Properties of Polypyrrole/ Zirconia Nanocomposite and its Application as Ethene Gas Sensor. Polym. Polym. Compos. 2017, 25, 695–704. [Google Scholar] [CrossRef]
- Yamani, K.; Berenguer, R.; Benyoucef, A.; Morallón, E. Preparation of polypyrrole (PPy)-derived polymer/ZrO2 nanocomposites. J. Therm. Anal. Calorim. 2019, 135, 2089–2100. [Google Scholar] [CrossRef]
- Jayamurgan, P.; Ponnuswamy, V.; Ashokan, S.; Mahalingam, T. The effect of dopant on structural, thermal and morphological properties of DBSA-doped polypyrrole. Iran. Polym. J. 2013, 22, 219–225. [Google Scholar] [CrossRef] [Green Version]
- Wu, W.; Yang, L.; Chen, S.; Shao, Y.; Jing, L.; Zhao, G.; Wei, H. Core–shell nanospherical polypyrrole/graphene oxide composites for high performance supercapacitors. RSC Adv. 2015, 5, 91645–91653. [Google Scholar] [CrossRef]
- Liu, X.; Yang, J.; Li, X.; Li, Q.; Xia, Y. Fabrication of polypyrrole (PPy) nanotube electrode for supercapacitors with enhanced electrochemical performance. J. Mater. Sci. Mater. Electron. 2020, 31, 581–586. [Google Scholar] [CrossRef]
- Wang, P.; Zheng, Y.; Li, B. Preparation and electrochemical properties of polypyrrole/graphite oxide composites with various feed ratios of pyrrole to graphite oxide. Synth. Met. 2013, 166, 33–39. [Google Scholar] [CrossRef]
- Yuan, L.; Wan, C.; Zhao, L. Facial in-situ synthesis of MnO2/PPy composite for supercapacitor. Int. J. Electrochem. Sci. 2015, 10, 9456–9465. [Google Scholar]
- Wang, X.; Wang, T.; Liu, D.; Guo, J.; Liu, P. Synthesis and Electrochemical Performance of CeO2/PPy Nanocomposites: Interfacial Effect. Ind. Eng. Chem. Res. 2016, 55, 866–874. [Google Scholar] [CrossRef]
- Zang, J.; Li, X. In situ synthesis of ultrafine β-MnO2/polypyrrole nanorod composites for high-performance supercapacitors. J. Mater. Chem. 2011, 21, 10965–10969. [Google Scholar] [CrossRef]










| S. No. | Chemical Name | Molecular Formula | Molecular Weight | Density | % Purity |
|---|---|---|---|---|---|
| 1 | Pyrrole | C4H4NH | 67.09 g/mol | 0.966 g/mL | 99.0% |
| 2 | DBSA | C18H30O3 S | 326.49 g/mol | 0.992 g/mL | 70 wt. % in isopropanol |
| 3 | Ammonium persulphate | (NH4)2S2O8 | 228.20 g/mol | 1.98 g/mL | 98% |
| 4 | Methanol | CH3OH | 32.04 g/mol | 0.79 g/mL | 98.55% |
| 5 | NMP | C5H9NO | 99.13 g/mol | 1.03 g/mL | 99.5% |
| 6 | Chloroform | CHCl3 | 119.3 g/mol | 1.492 g/mL | 99.4% |
| 7 | Sulfuric acid | H2SO4 | 98.08 g/mol | 1.84 g/mL | 97% |
| 8 | Acetone | CH3COCH3 | 58.080 g/mol | 0.7845 g/mL | 99% |
| 9 | DMSO | C2H6OS | 78.13 g/mol | 1.01 g/mL | 99% |
| %Weight Loss | %Weight Retention | ||||
|---|---|---|---|---|---|
| Sample | 150 °C | 200 °C | 400 °C | 600 °C | 800 °C |
| PPy | 4.56 | 6.72 | 27.16 | 54.95 | 21.29 |
| PPy/ZrO2 1 | 3.72 | 5.43 | 25.21 | 43.11 | 54.24 |
| PPy/ZrO2 2 | 5.04 | 6.63 | 21.37 | 38.83 | 55.07 |
| PPy/ZrO2 3 | 2.24 | 3.64 | 20.49 | 36 | 60.03 |
| PPy/ZrO2 4 | 4.92 | 5.84 | 17.55 | 32.76 | 63.27 |
Publisher’s Note: MDPI stays neutral with regard to jurisdictional claims in published maps and institutional affiliations. |
© 2021 by the authors. Licensee MDPI, Basel, Switzerland. This article is an open access article distributed under the terms and conditions of the Creative Commons Attribution (CC BY) license (https://creativecommons.org/licenses/by/4.0/).
Share and Cite
Ullah, R.; Khan, M.; Khattak, R.; Khan, N.; Khan, M.S.; El-Badry, Y.A. Synthesis, Characterization and Evaluation of Supercapacitive Response of Dodecylbenzenesulphonic Acid (DBSA) Doped Polypyrrole/Zirconium Dioxide Composites. Polymers 2021, 13, 4035. https://doi.org/10.3390/polym13224035
Ullah R, Khan M, Khattak R, Khan N, Khan MS, El-Badry YA. Synthesis, Characterization and Evaluation of Supercapacitive Response of Dodecylbenzenesulphonic Acid (DBSA) Doped Polypyrrole/Zirconium Dioxide Composites. Polymers. 2021; 13(22):4035. https://doi.org/10.3390/polym13224035
Chicago/Turabian StyleUllah, Rizwan, Mehtab Khan, Rozina Khattak, Nadia Khan, Muhammad Sufaid Khan, and Yaser A. El-Badry. 2021. "Synthesis, Characterization and Evaluation of Supercapacitive Response of Dodecylbenzenesulphonic Acid (DBSA) Doped Polypyrrole/Zirconium Dioxide Composites" Polymers 13, no. 22: 4035. https://doi.org/10.3390/polym13224035
APA StyleUllah, R., Khan, M., Khattak, R., Khan, N., Khan, M. S., & El-Badry, Y. A. (2021). Synthesis, Characterization and Evaluation of Supercapacitive Response of Dodecylbenzenesulphonic Acid (DBSA) Doped Polypyrrole/Zirconium Dioxide Composites. Polymers, 13(22), 4035. https://doi.org/10.3390/polym13224035

