Preparation and Characterisation of Polyurethane Acrylate-Based Titanium Dioxide Pigment for Blue Light-Curable Ink
Abstract
:1. Introduction
2. Materials and Methods
2.1. Materials
2.2. Methods
2.2.1. Preparation of the PU-TiO2 Pigment
2.2.2. Preparation of Blue Light-Curable PU-TiO2 Ink
2.2.3. Preparation of Blue Light-Curable PU-TiO2 Composite Films
2.3. Measurements
2.3.1. Fourier Transform Infrared (FT-IR) Analysis
2.3.2. Determination of NCO Content in Synthesis System
2.3.3. Rheological Performance Analysis
2.3.4. Photo-Polymerisation of PU-TiO2 Ink
2.3.5. Tensile Properties of Blue Light-Curable PU-TiO2 Composite Films
2.3.6. Photo-Rheological Performance of Blue Light-Curable PU-TiO2 Ink
2.3.7. Dispersion Stability Analysis
3. Results and Discussion
3.1. Effect of Reaction Temperature and Reaction Time on -NCO Reaction
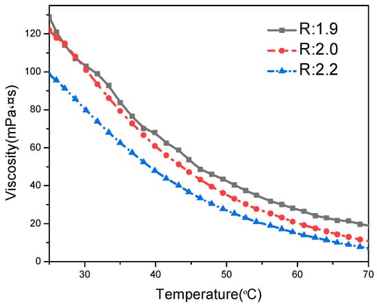
3.2. R-Value Effect on Properties of PU-TiO2 Ink
3.3. FT-IR
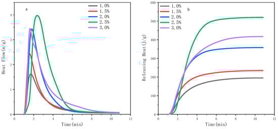
3.4. Effect of A-TiO2 Content on Properties of PU-TiO2 Ink
3.5. Dispersion Stability of PU-TiO2 Ink
4. Conclusions
Author Contributions
Funding
Conflicts of Interest
References
- Huang, Y.; Cao, B.; Xu, C.; Fan, Q.; Shao, J. Synthesis process control and property evaluation of a low-viscosity urethane acrylate oligomer for blue light curable ink of textile digital printing. Text. Res. J. 2015, 85, 759–767. [Google Scholar] [CrossRef]
- Shao, J.; Huang, Y.; Fan, Q. Visible light initiating systems for photopolymerization: Status, development and challenges. Polym. Chem. 2014, 5, 4195–4210. [Google Scholar] [CrossRef]
- Bahria, H.; Erbil, Y. UV technology for use in textile dyeing and printing: Photocured applications. Dye Pigm. 2016, 134, 442–447. [Google Scholar] [CrossRef]
- Nguyen, D.; Zondanos, H.S.; Farrugia, J.M.; Serelis, A.K.; Such, C.H.; Hawkett, B.S. Pigment encapsulation by emulsion polymerization using macro-RAFT copolymers. Langmuir 2008, 24, 2140–2150. [Google Scholar] [CrossRef] [PubMed]
- Fu, S.; Wang, D.; Du, C.; Zhang, L.; Guan, Y.; Xu, C. Improve color fastness of inkjet printing textiles using pigment ink. J. Text. Res. 2015, 36, 141–147. [Google Scholar]
- Yuan, J.; Zhou, S.; You, B.; Wu, L. Organic Pigment Particles Coated with Colloidal Nano-Silica Particles via Layer-by-Layer Assembly. Chem. Mater. 2005, 17, 3587–3594. [Google Scholar] [CrossRef]
- Yuan, J.; Xing, W.; Gu, G.; Wu, L. The properties of organic pigment encapsulated with nano-silica via layer-by-layer assembly technique. Dye. Pigm. 2008, 76, 463–469. [Google Scholar] [CrossRef]
- Elgammal, M.; Schneider, R.; Gradzielski, M. Development of self-curable hybrid pigment inks by miniemulsion polymerization for inkjet printing of cotton fabrics. Dye. Pigm. 2016, 133, 467–478. [Google Scholar] [CrossRef]
- Fu, S.; Du, C.; Zhang, M.; Tian, A.; Zhang, X. Preparation and properties of polymer-encapsulated phthalocyanine blue pigment via emulsion polymerization. Prog. Org. Coat. 2012, 73, 149–154. [Google Scholar] [CrossRef]
- Yuan, J.; Zhou, S.; Gu, G.; Wu, L. Encapsulation of organic pigment particles with silica via sol-gel process. J. Sol-Gel Sci. Technol. 2005, 36, 265–274. [Google Scholar] [CrossRef]
- Hu, X.; Feng, X.; Fei, M.; Tian, M.; Zhang, R.; Zhou, Y.; Liu, Y.; Zeng, Z. Preparation of Acid Red73 adsorbed on chitosan-modified sepiolite with SiO2 coating as a highly stable hybrid pigment. Dye. Pigm. 2021, 185, 108938. [Google Scholar] [CrossRef]
- Wu, S.; Duan, Z.; Hao, F.; Xiong, S.; Xiong, W.; Lv, Y.; Liu, P.; Luo, H. Preparation of acid-activated sepiolite/Rhodamine B@SiO2 hybrid fluorescent pigments with high stability. Dye. Pigm. 2017, 137, 395–402. [Google Scholar] [CrossRef]
- Wang, C.; Wang, L.; Huang, Y.; Nan, X.; Fan, Q.; Shao, J. Preparation and characterization of Phthalocyanine Blue encapsulated with silane coupling agent for blue light curable inkjet printing of textiles. Dye. Pigm. 2017, 139, 453–459. [Google Scholar] [CrossRef]
- Wang, C.; Wang, L.; Huang, Y.; Meng, Y.; Sun, G.; Fan, Q.; Shao, J. Fabrication of reactive pigment composite particles for blue-light curable inkjet printing of textiles. RSC Adv. 2017, 7, 36175–36184. [Google Scholar] [CrossRef] [Green Version]
- Wang, L.; Li, R.; Wang, C.; Hao, B.; Shao, J. Surface grafting modification of titanium dioxide by silane coupler KH570 and its influences on the application of blue light curing ink. Dye. Pigm. 2019, 163, 232–237. [Google Scholar] [CrossRef]
- Wang, Z.; Cheng, C.; Hu, X.; Gracia, J. Synthesis and Properties of Polyurethane—Dispersed Diazo Black GNN Polymer Dye. Key Eng. Mater. 2020, 852, 1–10. [Google Scholar] [CrossRef]
- Liu, J.; Sun, L.; Zhan, H.; Fan, L. Preparation of Fluorescence-Encoded Microspheres Based on Hydrophobic Conjugated Polymer-Dye Combination and the Immunoassay. ACS Appl. Bio Mater. 2019, 2, 3009–3018. [Google Scholar] [CrossRef]
- Wang, C.; Yan, K.; Luo, X.; Jin, S.; Wang, L.; Luo, J.; Zheng, J. Preparation of polyurethane acrylate-based titanium dioxide pigment and its use in blue light-curable ink. Color. Technol. 2021, 137, 348–360. [Google Scholar] [CrossRef]
- Cao, B.; Huang, Y.; Zhang, H.; Shao, J. Synthesis and Properties of Low-Viscosity Blue-Light Cured Urethane Acrylate Oligomer. J. Zhejiang Sci-Tech Univ. 2015, 33, 629–634, 674. [Google Scholar]
- Liu, Z.; Sun, X.; Qi, G. Study on the Synthesis and Application of Polyurethane Acrylate Prepolymer. Chem. Adhes. 2009, 31, 62–65. [Google Scholar]
- Barbeau, P.; Gerard, J.; Magny, B.; Pascault, J. Effect of the diisocyanate on the structure and properties of polyurethane acrylate prepolymers. J. Polym. Sci. Part B Polym. Phys. 2000, 38, 2750–2768. [Google Scholar]
- Kurdikar, D.; Peppas, N. A kinetic study of diacrylate photopolymerizations. Polymer 1994, 35, 1004–1011. [Google Scholar] [CrossRef]
- Sun, G.; Huang, Y.; Li, D.; Chen, E.; Zhong, Y.; Fan, Q.; Shao, J. Blue Light Initiated Photopolymerization: Kinetics and Synthesis of Superabsorbent and Robust Poly (N, N’-Dimethylacrylamide/Sodium Acrylate) Hydrogels. Ind. Eng. Chem. Res. 2019, 58, 9266–9275. [Google Scholar] [CrossRef]
- Juggernauth, K.; Gros, A.; Meznarich, N.; Love, B. In situ photogelation kinetics of Laponite nanoparticle-based photorheological dispersions. Soft Matter 2011, 7, 10108–10115. [Google Scholar] [CrossRef]













| R-Value | Viscosity (mPa·s) |
|---|---|
| 1.9 | 120 |
| 2.0 | 108 |
| 2.2 | 98 |
Publisher’s Note: MDPI stays neutral with regard to jurisdictional claims in published maps and institutional affiliations. |
© 2021 by the authors. Licensee MDPI, Basel, Switzerland. This article is an open access article distributed under the terms and conditions of the Creative Commons Attribution (CC BY) license (https://creativecommons.org/licenses/by/4.0/).
Share and Cite
Wang, C.; Qiao, L.; Zhai, Q.; Yan, K.; Wang, L.; Zheng, J. Preparation and Characterisation of Polyurethane Acrylate-Based Titanium Dioxide Pigment for Blue Light-Curable Ink. Polymers 2021, 13, 3977. https://doi.org/10.3390/polym13223977
Wang C, Qiao L, Zhai Q, Yan K, Wang L, Zheng J. Preparation and Characterisation of Polyurethane Acrylate-Based Titanium Dioxide Pigment for Blue Light-Curable Ink. Polymers. 2021; 13(22):3977. https://doi.org/10.3390/polym13223977
Chicago/Turabian StyleWang, Chenglong, Luyang Qiao, Qiang Zhai, Kai Yan, Lili Wang, and Jinhuan Zheng. 2021. "Preparation and Characterisation of Polyurethane Acrylate-Based Titanium Dioxide Pigment for Blue Light-Curable Ink" Polymers 13, no. 22: 3977. https://doi.org/10.3390/polym13223977
APA StyleWang, C., Qiao, L., Zhai, Q., Yan, K., Wang, L., & Zheng, J. (2021). Preparation and Characterisation of Polyurethane Acrylate-Based Titanium Dioxide Pigment for Blue Light-Curable Ink. Polymers, 13(22), 3977. https://doi.org/10.3390/polym13223977

