Aggregation-Induced Emission Properties in Fully π-Conjugated Polymers, Dendrimers, and Oligomers
Abstract
1. Introduction
2. Synthetic Methodologies for π-Conjugated Structures
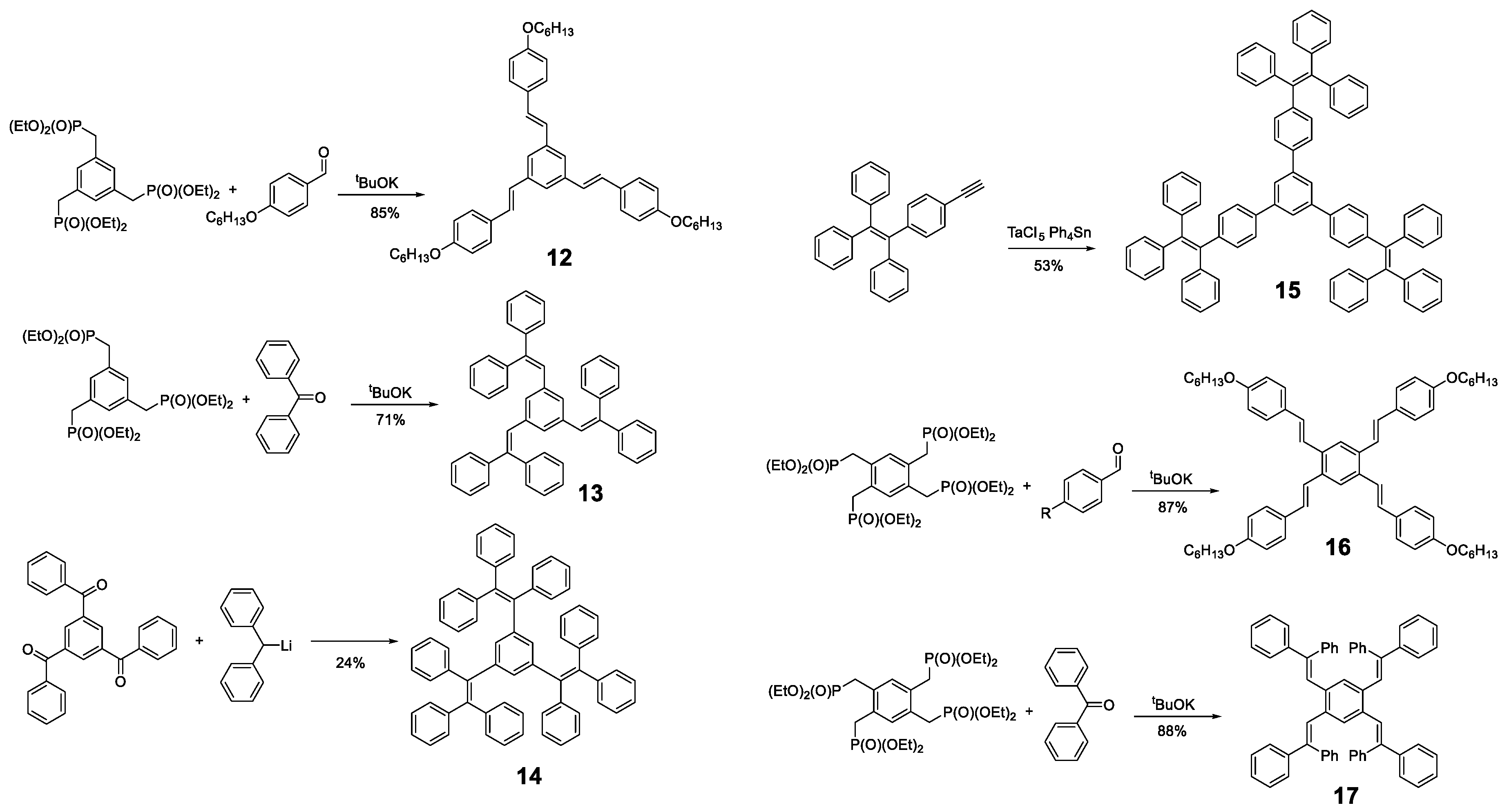
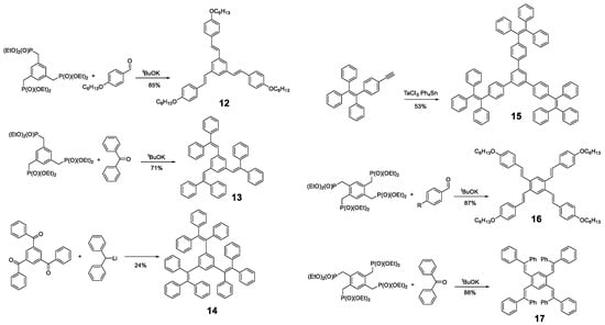
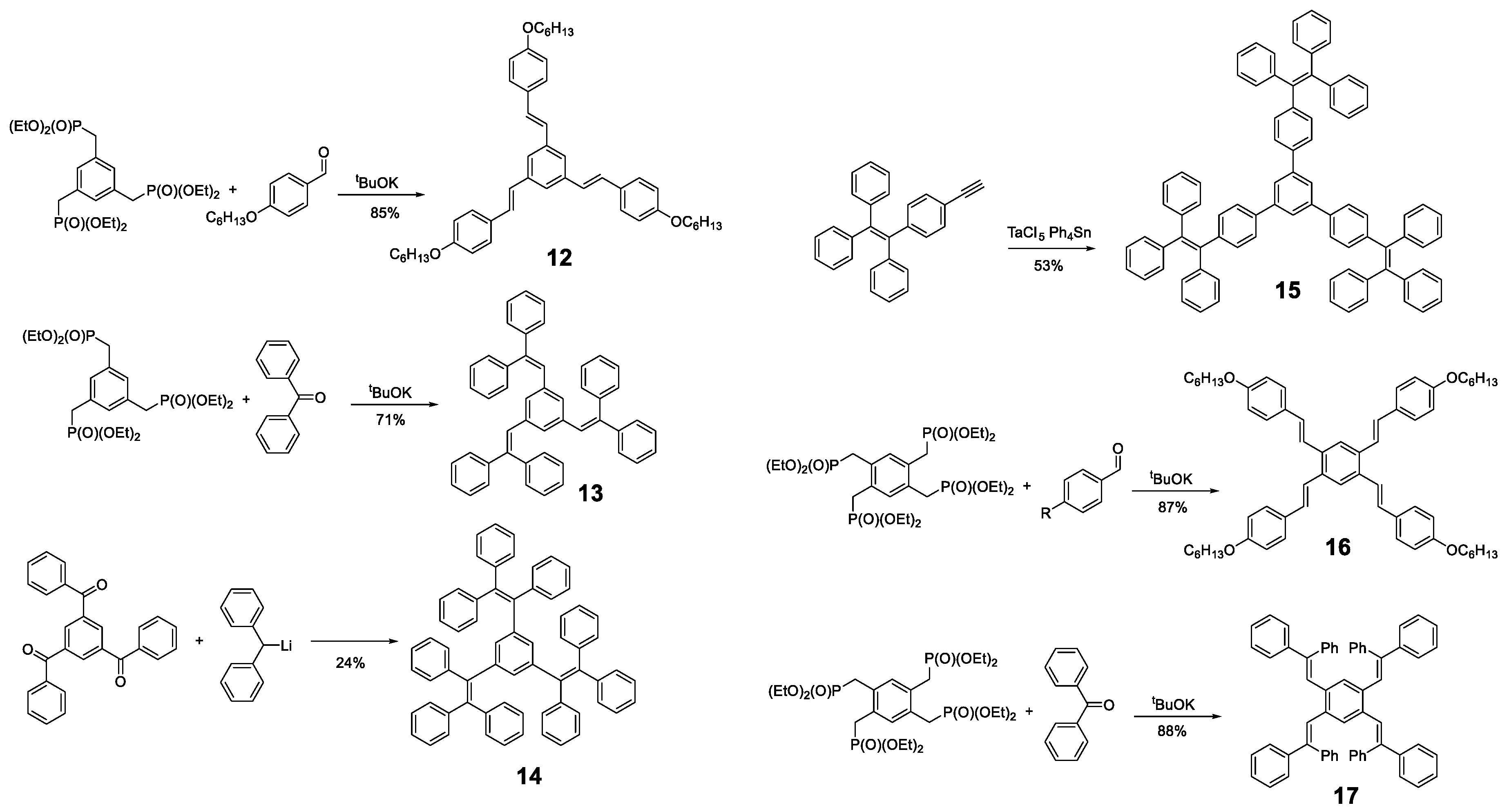
3. Fully Conjugated Oligomers
4. Fully Conjugated Dendrimers
5. Fully Conjugated Polymers
5.1. Linear Polymers with One Luminogen
5.2. Linear Polymers with Two or more Luminogens
5.3. Hyperbranched Polymers, Conjugated Microporous Polymers (CMPs) and Covalent Organic Frameworks (COFs)
6. Strength, Weakness, Opportunities and Threats in AIE Polymers
7. Conclusions
Author Contributions
Funding
Institutional Review Board Statement
Informed Consent Statement
Conflicts of Interest
References
- Valeur, B.; Berberan-Santos, M.N. A Brief History of Fluorescence and Phosphorescence before the Emergence of Quantum Theory. J. Chem. Educ. 2011, 88, 731–738. [Google Scholar] [CrossRef]
- Valeur, B.; Berberan-Santos, M.N. Molecular Fluorescence: Principles and Applications, 2nd ed.; Wiley-VCH: Hoboken, NJ, USA, 2012; ISBN 9783527328376. [Google Scholar]
- All Nobel Prizes in Chemistry. Available online: https://www.nobelprize.org/prizes/lists/all-nobel-prizes-in-chemistry/ (accessed on 15 December 2020).
- Kertesz, M.; Choi, C.H.; Yang, S. Conjugated polymers and aromaticity. Chem. Rev. 2005, 105, 3448–3481. [Google Scholar] [CrossRef]
- Milián-Medina, B.; Gierschner, J. π-Conjugation; John Wiley & Sons, Ltd.: Hoboken, NJ, USA, 2012; Volume 2, pp. 513–524. [Google Scholar]
- Oelkrug, D.; Tompert, A.; Egelhaaf, H.-J.; Hanack, M.; Steinhuber, E.; Hohloch, M.; Meier, H.; Stalmach, U. Towards highly luminescent phenylene vinylene films. Synth. Met. 1996, 83, 231–237. [Google Scholar] [CrossRef]
- Luo, J.; Xie, Z.; Xie, Z.; Lam, J.W.Y.; Cheng, L.; Chen, H.; Qiu, C.; Kwok, H.S.; Zhan, X.; Liu, Y.; et al. Aggregation-induced emission of 1-methyl-1,2,3,4,5-pentaphenylsilole. Chem. Commun. 2001, 18, 1740–1741. [Google Scholar] [CrossRef]
- An, B.-K.; Kwon, S.-K.; Jung, S.-D.; Park, S.Y. Enhanced Emission and Its Switching in Fluorescent Organic Nanoparticles. J. Am. Chem. Soc. 2002, 124, 14410–14415. [Google Scholar] [CrossRef]
- Shi, J.; Aguilar Suarez, L.E.; Yoon, S.-J.; Varghese, S.; Serpa, C.; Park, S.Y.; Lüer, L.; Roca-Sanjuán, D.; Milián-Medina, B.; Gierschner, J. Solid State Luminescence Enhancement in π-Conjugated Materials: Unraveling the Mechanism beyond the Framework of AIE/AIEE. J. Phys. Chem. C 2017, 121, 23166–23183. [Google Scholar] [CrossRef]
- Crespo-Otero, R.; Li, Q.; Blancafort, L. Exploring Potential Energy Surfaces for Aggregation-Induced Emission—From Solution to Crystal. Chem. -An Asian J. 2019, 14, 700–714. [Google Scholar] [CrossRef]
- Kasha, M.; Rawls, H.R.; Ashraf El-Bayoumi, M. The exciton model in molecular spectroscopy. Pure Appl. Chem. 1965, 11, 371–392. [Google Scholar] [CrossRef]
- McRae, E.G.; Kasha, M. Enhancement of Phosphorescence Ability upon Aggregation of Dye Molecules. J. Chem. Phys. 1958, 28, 721–722. [Google Scholar] [CrossRef]
- Hestand, N.J.; Spano, F.C. Expanded Theory of H- and J-Molecular Aggregates: The Effects of Vibronic Coupling and Intermolecular Charge Transfer. Chem. Rev. 2018, 118, 7069–7163. [Google Scholar] [CrossRef]
- Mei, J.; Leung, N.L.C.; Kwok, R.T.K.; Lam, J.W.Y.; Tang, B.Z. Aggregation-Induced Emission: Together We Shine, United We Soar! Chem. Rev. 2015, 115, 11718–11940. [Google Scholar] [CrossRef] [PubMed]
- Domínguez, R.; Moral, M.; Fernández-Liencres, M.P.; Peña-Ruiz, T.; Tolosa, J.; Canales-Vázquez, J.; García-Martínez, J.C.; Navarro, A.; Garzón-Ruiz, A. Understanding the Driving Mechanisms of Enhanced Luminescence Emission of Oligo(styryl)benzenes and Tri(styryl)- s -triazine. Chem. -A Eur. J. 2020, 26, 3373–3384. [Google Scholar] [CrossRef] [PubMed]
- Li, K.; Lin, Y.; Lu, C. Aggregation-Induced Emission for Visualization in Materials Science. Chem. -An Asian J. 2019, 14, 715–729. [Google Scholar] [CrossRef]
- Zhou, H.; Chua, M.H.; Tang, B.Z.; Xu, J. Aggregation-induced emission (AIE)-active polymers for explosive detection. Polym. Chem. 2019, 10, 3822–3840. [Google Scholar] [CrossRef]
- Hu, Y.B.; Lam, J.W.Y.; Tang, B.Z. Recent Progress in AIE-active Polymers. Chinese J. Polym. Sci. 2019, 37, 289–301. [Google Scholar] [CrossRef]
- Gupta, A. Aggregation-Induced Emission: A Tool for Sensitive Detection of Amines. ChemistrySelect 2019, 4, 12848–12860. [Google Scholar] [CrossRef]
- Gao, M.; Tang, B.Z. AIE-based cancer theranostics. Coord. Chem. Rev. 2020, 402, 213076. [Google Scholar] [CrossRef]
- Hu, R.; Qin, A.; Tang, B.Z. AIE polymers: Synthesis and applications. Prog. Polym. Sci. 2020, 100, 101176. [Google Scholar] [CrossRef]
- Wang, Z.; Liu, S.; Wang, Y.; Quan, Y.; Cheng, Y. Tunable AICPL of (S)-Binaphthyl-Based Three-Component Polymers via FRET Mechanism. Macromol. Rapid Commun. 2017, 38, 1700150. [Google Scholar] [CrossRef]
- Wang, Z.; Fang, Y.; Tao, X.; Wang, Y.; Quan, Y.; Zhang, S.; Cheng, Y. Deep red aggregation-induced CPL emission behavior of four-component tunable AIE-active chiral polymers via two FRET pairs mechanism. Polymer (Guildf.) 2017, 130, 61–67. [Google Scholar] [CrossRef]
- Cheng, S.-W.; Han, T.; Huang, T.-Y.; Tang, B.-Z.; Liou, G.-S. High-performance electrofluorochromic devices based on aromatic polyamides with AIE-active tetraphenylethene and electro-active triphenylamine moieties. Polym. Chem. 2018, 9, 4364–4373. [Google Scholar] [CrossRef]
- Wang, Z.; Feng, Y.; Wang, N.; Cheng, Y.; Quan, Y.; Ju, H. Donor–Acceptor Conjugated Polymer Dots for Tunable Electrochemiluminescence Activated by Aggregation-Induced Emission-Active Moieties. J. Phys. Chem. Lett. 2018, 9, 5296–5302. [Google Scholar] [CrossRef] [PubMed]
- Sun, F.; Wang, Z.; Feng, Y.; Cheng, Y.; Ju, H.; Quan, Y. Electrochemiluminescent resonance energy transfer of polymer dots for aptasensing. Biosens. Bioelectron. 2018, 100, 28–34. [Google Scholar] [CrossRef] [PubMed]
- Zhang, J.; Chen, H.; Zhou, T.; Wang, L.; Gao, D.; Zhang, X.; Liu, Y.; Wu, C.; Yuan, Z. A PIID-DTBT based semi-conducting polymer dots with broad and strong optical absorption in the visible-light region: Highly effective contrast agents for multiscale and multi-spectral photoacoustic imaging. Nano Res. 2017, 10, 64–76. [Google Scholar] [CrossRef]
- Xie, C.; Upputuri, P.K.; Zhen, X.; Pramanik, M.; Pu, K. Self-quenched semiconducting polymer nanoparticles for amplified in vivo photoacoustic imaging. Biomaterials 2017, 119, 1–8. [Google Scholar] [CrossRef]
- Zhang, J.; Yang, C.; Zhang, R.; Chen, R.; Zhang, Z.; Zhang, W.; Peng, S.-H.; Chen, X.; Liu, G.; Hsu, C.-S.; et al. Biocompatible D-A Semiconducting Polymer Nanoparticle with Light-Harvesting Unit for Highly Effective Photoacoustic Imaging Guided Photothermal Therapy. Adv. Funct. Mater. 2017, 27, 1605094. [Google Scholar] [CrossRef]
- Jiang, Y.; Li, J.; Zhen, X.; Xie, C.; Pu, K. Dual-Peak Absorbing Semiconducting Copolymer Nanoparticles for First and Second Near-Infrared Window Photothermal Therapy: A Comparative Study. Adv. Mater. 2018, 30, 1705980. [Google Scholar] [CrossRef]
- Li, P.; Liu, L.; Xiao, H.; Zhang, W.; Wang, L.; Tang, B. A New Polymer Nanoprobe Based on Chemiluminescence Resonance Energy Transfer for Ultrasensitive Imaging of Intrinsic Superoxide Anion in Mice. J. Am. Chem. Soc. 2016, 138, 2893–2896. [Google Scholar] [CrossRef]
- Wang, Z.; Wang, C.; Fang, Y.; Yuan, H.; Quan, Y.; Cheng, Y. Color-tunable AIE-active conjugated polymer nanoparticles as drug carriers for self-indicating cancer therapy via intramolecular FRET mechanism. Polym. Chem. 2018, 9, 3205–3214. [Google Scholar] [CrossRef]
- Crespy, D.; Bozonnet, M.; Meier, M. 100 Years of Bakelite, the Material of a 1000 Uses. Angew. Chemie Int. Ed. 2008, 47, 3322–3328. [Google Scholar] [CrossRef]
- Rasmussen, S.C. The Early History of Polyaniline: Discovery and Origins. An Int. J. Hist. Chem. Subst. 2017, 1, 99–109. [Google Scholar] [CrossRef]
- Shirakawa, H.; Louis, E.J.; MacDiarmid, A.G.; Chiang, C.K.; Heeger, A.J. Synthesis of electrically conducting organic polymers: Halogen derivatives of polyacetylene, (CH) x. J. Chem. Soc. Chem. Commun. 1977, 578–580. [Google Scholar] [CrossRef]
- Reynolds, J.R.; Thompson, B.C.; Skotheim, T.A. Conjugated Polymers, 4th ed.; Reynolds, J.R., Thompson, B.C., Skotheim, T.A., Eds.; CRC Press: Boca Raton, FL, USA, 2019; ISBN 9780429190520. [Google Scholar]
- Tong, H.; Hong, Y.; Dong, Y.; Häußler, M.; Lam, J.W.Y.; Li, Z.; Guo, Z.; Guo, Z.; Tang, B.Z. Fluorescent “light-up” bioprobes based on tetraphenylethylene derivatives with aggregation-induced emission characteristics. Chem. Commun. 2006, 3705–3707. [Google Scholar] [CrossRef]
- Zhao, Z.; Chen, S.; Lam, J.W.Y.; Jim, C.K.W.; Chan, C.Y.K.; Wang, Z.; Lu, P.; Deng, C.; Kwok, H.S.; Ma, Y.; et al. Steric Hindrance, Electronic Communication, and Energy Transfer in the Photo- and Electroluminescence Processes of Aggregation-Induced Emission Luminogens. J. Phys. Chem. C 2010, 114, 7963–7972. [Google Scholar] [CrossRef]
- Wei, Z.; Gu, Z.Y.; Arvapally, R.K.; Chen, Y.P.; McDougald, R.N.; Ivy, J.F.; Yakovenko, A.A.; Feng, D.; Omary, M.A.; Zhou, H.C. Rigidifying fluorescent linkers by metal-organic framework formation for fluorescence blue shift and quantum yield enhancement. J. Am. Chem. Soc. 2014, 136, 8269–8276. [Google Scholar] [CrossRef]
- Wang, X.; Su, Q.; Zhang, Z.; Yang, J.; Zhang, Y.; Zhang, M. Biotinylated platinum(ii) metallacage towards targeted cancer theranostics. Chem. Commun. 2020, 56, 8460–8463. [Google Scholar] [CrossRef]
- Zhang, Z.; Zhao, Z.; Wu, L.; Lu, S.; Ling, S.; Li, G.; Xu, L.; Ma, L.; Hou, Y.; Wang, X.; et al. Emissive Platinum(II) Cages with Reverse Fluorescence Resonance Energy Transfer for Multiple Sensing. J. Am. Chem. Soc. 2020, 142, 2592–2600. [Google Scholar] [CrossRef]
- Lu, L.; Ren, X.-K.; Liu, R.; Jiang, X.-Q.; Geng, L.-Y.; Zheng, J.-F.; Feng, Y.; Chen, E.-Q. Ionic Self-Assembled Derivative of Tetraphenylethylene: Synthesis, Enhanced Solid-State Emission, Liquid-Crystalline Structure, and Cu2+ Detection Ability. ChemPhysChem 2017, 18, 3605–3613. [Google Scholar] [CrossRef]
- Wu, Z.-F.; Velasco, E.; Shan, C.; Tan, K.; Zhang, Z.-Z.; Hu, Q.-Q.; Xing, K.; Huang, X.-Y.; Li, J. Robust fluorescent calcium coordination polymers as Cu2+ sensors with high sensitivity and fast response. J. Mater. Chem. C 2020, 8, 6820–6825. [Google Scholar] [CrossRef]
- Medishetty, R.; Nemec, L.; Nalla, V.; Henke, S.; Samoć, M.; Reuter, K.; Fischer, R.A. Multi-Photon Absorption in Metal-Organic Frameworks. Angew. Chemie Int. Ed. 2017, 56, 14743–14748. [Google Scholar] [CrossRef]
- Chen, C.; Yin, S.; Wei, Z.; Qiu, Q.; Zhu, N.; Fan, Y.; Pan, M.; Su, C. Pressure-Induced Multiphoton Excited Fluorochromic Metal–Organic Frameworks for Improving MPEF Properties. Angew. Chemie Int. Ed. 2019, 58, 14379–14385. [Google Scholar] [CrossRef]
- Medishetty, R.; Nalla, V.; Nemec, L.; Henke, S.; Mayer, D.; Sun, H.; Reuter, K.; Fischer, R.A. A New Class of Lasing Materials: Intrinsic Stimulated Emission from Nonlinear Optically Active Metal-Organic Frameworks. Adv. Mater. 2017, 29, 1605637. [Google Scholar] [CrossRef]
- Wang, F.-M.; Zhou, L.; Lustig, W.P.; Hu, Z.; Li, J.-F.; Hu, B.-X.; Chen, L.-Z.; Li, J. Highly Luminescent Metal–Organic Frameworks Based on an Aggregation-Induced Emission Ligand as Chemical Sensors for Nitroaromatic Compounds. Cryst. Growth Des. 2018, 18, 5166–5173. [Google Scholar] [CrossRef]
- Lustig, W.P.; Shen, Z.; Teat, S.J.; Javed, N.; Velasco, E.; O’Carroll, D.M.; Li, J. Rational design of a high-efficiency, multivariate metal–organic framework phosphor for white LED bulbs. Chem. Sci. 2020, 11, 1814–1824. [Google Scholar] [CrossRef]
- Wang, W.; Lin, T.; Wang, M.; Liu, T.-X.; Ren, L.; Chen, D.; Huang, S. Aggregation Emission Properties of Oligomers Based on Tetraphenylethylene. J. Phys. Chem. B 2010, 114, 5983–5988. [Google Scholar] [CrossRef]
- Chang, Z.; Jiang, Y.; He, B.; Chen, J.; Yang, Z.; Lu, P.; Kwok, H.S.; Zhao, Z.; Qiu, H.; Tang, B.Z. Aggregation-enhanced emission and efficient electroluminescence of tetraphenylethene-cored luminogens. Chem. Commun. 2013, 49, 594–596. [Google Scholar] [CrossRef]
- Chandrasekaran, Y.; Venkatramaiah, N.; Patil, S. Tetraphenylethene-Based Conjugated Fluoranthene: A Potential Fluorescent Probe for Detection of Nitroaromatic Compounds. Chem. -A Eur. J. 2016, 22, 5288–5294. [Google Scholar] [CrossRef]
- Khan, F.; Ekbote, A.; Misra, R. Reversible mechanochromism and aggregation induced enhanced emission in phenothiazine substituted tetraphenylethylene. New J. Chem. 2019, 43, 16156–16163. [Google Scholar] [CrossRef]
- Dong, Y.; Xu, B.; Zhang, J.; Tan, X.; Wang, L.; Chen, J.; Lv, H.; Wen, S.; Li, B.; Ye, L.; et al. Piezochromic Luminescence Based on the Molecular Aggregation of 9,10-Bis((E)-2-(pyrid-2-yl)vinyl)anthracene. Angew. Chemie Int. Ed. 2012, 51, 10782–10785. [Google Scholar] [CrossRef]
- Gundu, S.; Kim, M.; Mergu, N.; Son, Y.-A. AIE-active and reversible mechanochromic tetraphenylethene-tetradiphenylacrylonitrile hybrid luminogens with re-writable optical data storage application. Dye. Pigment. 2017, 146, 7–13. [Google Scholar] [CrossRef]
- Orofino, C.; Foucher, C.; Farrell, F.; Findlay, N.J.; Breig, B.; Kanibolotsky, A.L.; Guilhabert, B.; Vilela, F.; Laurand, N.; Dawson, M.D.; et al. Fluorene-containing tetraphenylethylene molecules as lasing materials. J. Polym. Sci. Part A Polym. Chem. 2017, 55, 734–746. [Google Scholar] [CrossRef]
- Garzón, A.; Fernández-Liencres, M.P.; Moral, M.; Peña-Ruiz, T.; Navarro, A.; Tolosa, J.; Canales-Vázquez, J.; Hermida-Merino, D.; Bravo, I.; Albaladejo, J.; et al. Effect of the Aggregation on the Photophysical Properties of a Blue-Emitting Star-Shaped Molecule Based on 1,3,5-Tristyrylbenzene. J. Phys. Chem. C 2017, 121, 4720–4733. [Google Scholar] [CrossRef]
- Moral, M.; Domínguez, R.; Fernández-Liencres, M.P.; Garzón-Ruiz, A.; García-Martínez, J.C.; Navarro, A. Photophysical features and semiconducting properties of propeller-shaped oligo(styryl)benzenes. J. Chem. Phys. 2019, 150, 064309. [Google Scholar] [CrossRef]
- de Lera-Garrido, F.; Sánchez-Ruiz, A.; Rodríguez-López, J.; Tolosa, J.; García-Martínez, J.C. Enhancement of emission by surfactant-induced aggregation in poly(phenylenevinylene)-based lipochromophores. Dye. Pigment. 2020, 179, 108410. [Google Scholar] [CrossRef]
- Sánchez-Ruiz, A.; Rodríguez-López, J.; Garzón-Ruiz, A.; Jiménez-Pulido, S.B.; Illán-Cabeza, N.A.; Navarro, A.; García-Martínez, J.C. Shedding Light on the Origin of Solid-State Luminescence Enhancement in Butterfly Molecules. Chem. -A Eur. J. 2020, 26, 13990–14001. [Google Scholar] [CrossRef]
- Chan, C.Y.K.; Zhao, Z.; Lam, J.W.Y.; Liu, J.; Chen, S.; Lu, P.; Mahtab, F.; Chen, X.; Sung, H.H.Y.; Kwok, H.S.; et al. Efficient Light Emitters in the Solid State: Synthesis, Aggregation-Induced Emission, Electroluminescence, and Sensory Properties of Luminogens with Benzene Cores and Multiple Triarylvinyl Peripherals. Adv. Funct. Mater. 2012, 22, 378–389. [Google Scholar] [CrossRef]
- Hu, R.; Lam, J.W.Y.; Liu, J.; Sung, H.H.Y.; Williams, I.D.; Yue, Z.; Wong, K.S.; Yuen, M.M.F.; Tang, B.Z. Hyperbranched conjugated poly(tetraphenylethene): Synthesis, aggregation-induced emission, fluorescent photopatterning, optical limiting and explosive detection. Polym. Chem. 2012, 3, 1481–1489. [Google Scholar] [CrossRef]
- Figueira-Duarte, T.M.; Müllen, K. Pyrene-Based Materials for Organic Electronics. Chem. Rev. 2011, 111, 7260–7314. [Google Scholar] [CrossRef]
- Berlman, I.B. Empirical correlation between nuclear conformation and certain fluorescence and absorption characteristics of aromatic compounds. J. Phys. Chem. 1970, 74, 3085–3093. [Google Scholar] [CrossRef]
- Wang, Q.; Liu, H.; Lu, H.; Xu, Z.; Lai, G.; Li, Z.; Mack, J.; Shen, Z. Synthesis, characterization and solid-state emission properties of arylsilyl-substituted pyrene derivatives. Dye. Pigment. 2013, 99, 771–778. [Google Scholar] [CrossRef]
- Zhao, Z.; Chen, S.; Lam, J.W.Y.; Lu, P.; Zhong, Y.; Wong, K.S.; Kwok, H.S.; Tang, B.Z. Creation of highly efficient solid emitter by decorating pyrene core with AIE-active tetraphenylethene peripheries. Chem. Commun. 2010, 46, 2221. [Google Scholar] [CrossRef]
- Yang, J.; Huang, J.; Sun, N.; Peng, Q.; Li, Q.; Ma, D.; Li, Z. Twist versus Linkage Mode: Which One is Better for the Construction of Blue Luminogens with AIE Properties? Chem. -A Eur. J. 2015, 21, 6862–6868. [Google Scholar] [CrossRef]
- Yang, J.; Qin, J.; Ren, Z.; Peng, Q.; Xie, G.; Li, Z. Pyrene-Based Blue AIEgen: Enhanced Hole Mobility and Good EL Performance in Solution-Processed OLEDs. Molecules 2017, 22, 2144. [Google Scholar] [CrossRef]
- Aldred, M.P.; Li, C.; Zhang, G.-F.; Gong, W.-L.; Li, A.D.Q.; Dai, Y.; Ma, D.; Zhu, M.-Q. Fluorescence quenching and enhancement of vitrifiable oligofluorenes end-capped with tetraphenylethene. J. Mater. Chem. 2012, 22, 7515. [Google Scholar] [CrossRef]
- Xue, S.; Yao, L.; Liu, S.; Gu, C.; Shen, F.; Li, W.; Zheng, H.; Wu, H.; Ma, Y. Simultaneous enhancement of the carrier mobility and luminous efficiency through thermal annealing a molecular glass material and device. J. Mater. Chem. 2012, 22, 21502. [Google Scholar] [CrossRef]
- Baglan, M.; Ozturk, S.; Gür, B.; Meral, K.; Bozkaya, U.; Bozdemir, O.A.; Atılgan, S. Novel phenomena for aggregation induced emission enhancement: Highly fluorescent hydrophobic TPE-BODIPY couples in both organic and aqueous media. RSC Adv. 2013, 3, 15866. [Google Scholar] [CrossRef]
- Baysec, S.; Minotto, A.; Klein, P.; Poddi, S.; Zampetti, A.; Allard, S.; Cacialli, F.; Scherf, U. Tetraphenylethylene-BODIPY aggregation-induced emission luminogens for near-infrared polymer light-emitting diodes. Sci. China Chem. 2018, 61, 932–939. [Google Scholar] [CrossRef]
- Bui, H.T.; Mai, D.K.; Kim, B.; Choi, K.-H.; Park, B.J.; Kim, H.-J.; Cho, S. Effect of Substituents on the Photophysical Properties and Bioimaging Application of BODIPY Derivatives with Triphenylamine Substituents. J. Phys. Chem. B 2019, 123, 5601–5607. [Google Scholar] [CrossRef]
- Yuan, W.Z.; Lu, P.; Chen, S.; Lam, J.W.Y.; Wang, Z.; Liu, Y.; Kwok, H.S.; Ma, Y.; Tang, B.Z. Changing the Behavior of Chromophores from Aggregation-Caused Quenching to Aggregation-Induced Emission: Development of Highly Efficient Light Emitters in the Solid State. Adv. Mater. 2010, 22, 2159–2163. [Google Scholar] [CrossRef]
- Qin, W.; Zhang, P.; Li, H.; Lam, J.W.Y.; Cai, Y.; Kwok, R.T.K.; Qian, J.; Zheng, W.; Tang, B.Z. Ultrabright red AIEgens for two-photon vascular imaging with high resolution and deep penetration. Chem. Sci. 2018, 9, 2705–2710. [Google Scholar] [CrossRef]
- Chen, M.; Hu, X.; Liu, J.; Li, B.; Leung, N.L.C.; Viglianti, L.; Cheung, T.S.; Sung, H.H.Y.; Kwok, R.T.K.; Williams, I.D.; et al. Rational design of red AIEgens with a new core structure from non-emissive heteroaromatics. Chem. Sci. 2018, 9, 7829–7834. [Google Scholar] [CrossRef]
- Hu, R.; Maldonado, J.L.; Rodriguez, M.; Deng, C.; Jim, C.K.W.; Lam, J.W.Y.; Yuen, M.M.F.; Ramos-Ortiz, G.; Tang, B.Z. Luminogenic materials constructed from tetraphenylethene building blocks: Synthesis, aggregation-induced emission, two-photon absorption, light refraction, and explosive detection. J. Mater. Chem. 2012, 22, 232–240. [Google Scholar] [CrossRef]
- Xu, W.; Lee, M.M.S.; Zhang, Z.; Sung, H.H.Y.; Williams, I.D.; Kwok, R.T.K.; Lam, J.W.Y.; Wang, D.; Tang, B.Z. Facile synthesis of AIEgens with wide color tunability for cellular imaging and therapy. Chem. Sci. 2019, 10, 3494–3501. [Google Scholar] [CrossRef]
- Qiao, W.-G.; Xiong, J.-B.; Yuan, Y.-X.; Zhang, H.-C.; Yang, D.; Liu, M.; Zheng, Y.-S. Chiroptical property of TPE triangular macrocycle crown ethers from propeller-like chirality induced by chiral acids. J. Mater. Chem. C 2018, 6, 3427–3434. [Google Scholar] [CrossRef]
- Junk, P.C. Crown ethers as stabilising ligands for oxonium ions. New J. Chem. 2008, 32, 762. [Google Scholar] [CrossRef]
- Chen, Z.-Q.; Chen, T.; Liu, J.-X.; Zhang, G.-F.; Li, C.; Gong, W.-L.; Xiong, Z.-J.; Xie, N.-H.; Tang, B.Z.; Zhu, M.-Q. Geminal Cross-Coupling of 1,1-Dibromoolefins Facilitating Multiple Topological π-Conjugated Tetraarylethenes. Macromolecules 2015, 48, 7823–7835. [Google Scholar] [CrossRef]
- Kakkar, A. Dendrimers: A Themed Issue in Honor of Professor Donald A. Tomalia on the Occasion of His 80th Birthday; MDPI: Basel, Switzerland, 2018; ISBN 978-3-03897-379-9. [Google Scholar]
- Sandra García-Gallego, M.M. Dendrimer Chemistry: Synthetic Approaches Towards Complex Architectures; Malkoch, M., García Gallego, S., Eds.; Monographs in Supramolecular Chemistry; Royal Society of Chemistry: Cambridge, UK, 2020; ISBN 978-1-78801-132-7. [Google Scholar]
- Garcia-Martinez, J.C.; Crooks, R.M. Extraction of Au nanoparticles having narrow size distributions from within dendrimer templates. J. Am. Chem. Soc. 2004, 126, 16170–16178. [Google Scholar] [CrossRef]
- Abd-El-Aziz, A.S.; Abdelghani, A.A.; Wagner, B.D.; Bissessur, R. Advances in Light-Emitting Dendrimers. Macromol. Rapid Commun. 2019, 40, 1800711. [Google Scholar] [CrossRef]
- Balzani, V.; Ceroni, P.; Maestri, M.; Saudan, C.; Vicinelli, V. Luminescent Dendrimers. Recent Advances; Springer: Berlin/Heidelberg, Germany, 2003; pp. 159–191. [Google Scholar]
- Díez-Barra, E.; García-Martínez, J.C.; Merino, S.; Del Rey, R.; Rodriguez-López, J.; Sánchez-Verdú, P.; Tejeda, J. Synthesis, characterization, and optical response of dipolar and non-dipolar poly(phenylenevinylene) dendrimers. J. Org. Chem. 2001, 66, 5664–5670. [Google Scholar] [CrossRef]
- García-Martínez, J.C.; Díez-Barra, E.; Rodríguez-López, J. Conjugated Dendrimers with Poly(Phenylenevinylene) and Poly(Phenyleneethynylene) Scaffolds. Curr. Org. Synth. 2008, 5, 267–290. [Google Scholar] [CrossRef][Green Version]
- Precup-Blaga, F.S.; Garcia-Martinez, J.C.; Schenning, A.P.H.J.; Meijer, E.W. Highly Emissive Supramolecular Oligo(p-phenylene vinylene) Dendrimers. J. Am. Chem. Soc. 2003, 125, 12953–12960. [Google Scholar] [CrossRef]
- Martín-Zarco, M.; Toribio, S.; García-Martínez, J.C.; Rodriguez-Lopez, J. Polyamido Amine Dendrimers Functionalized with Poly(phenylenevinylene) Dendrons at Their Periphery. J. Polym. Sci. Part A Polym. Chem. 2009, 47, 6409–6419. [Google Scholar] [CrossRef]
- Jiang, Y.; Wang, Y.; Hua, J.; Tang, J.; Li, B.; Qian, S.; Tian, H. Multibranched triarylamine end-capped triazines with aggregation-induced emission and large two-photon absorption cross-sections. Chem. Commun. 2010, 46, 4689. [Google Scholar] [CrossRef]
- Xu, B.; Zhang, J.; Fang, H.; Ma, S.; Chen, Q.; Sun, H.; Im, C.; Tian, W. Aggregation induced enhanced emission of conjugated dendrimers with a large intrinsic two-photon absorption cross-section. Polym. Chem. 2014, 5, 479–488. [Google Scholar] [CrossRef]
- Zhang, X.; Chi, Z.; Zhou, X.; Liu, S.; Zhang, Y.; Xu, J. Influence of Carbazolyl Groups on Properties of Piezofluorochromic Aggregation-Enhanced Emission Compounds Containing Distyrylanthracene. J. Phys. Chem. C 2012, 116, 23629–23638. [Google Scholar] [CrossRef]
- Xue, S.; Liu, W.; Qiu, X.; Gao, Y.; Yang, W. Remarkable Isomeric Effects on Optical and Optoelectronic Properties of N -Phenylcarbazole-Capped 9,10-Divinylanthracenes. J. Phys. Chem. C 2014, 118, 18668–18675. [Google Scholar] [CrossRef]
- Matsuoka, K.; Albrecht, K.; Yamamoto, K.; Fujita, K. Mulifunctional Dendritic Emitter: Aggregation-Induced Emission Enhanced, Thermally Activated Delayed Fluorescent Material for Solution-Processed Multilayered Organic Light-Emitting Diodes. Sci. Rep. 2017, 7, 41780. [Google Scholar] [CrossRef]
- Liu, H.; Wang, Y.; Mo, W.; Tang, H.; Cheng, Z.; Chen, Y.; Zhang, S.; Ma, H.; Li, B.; Li, X. Dendrimer-Based, High-Luminescence Conjugated Microporous Polymer Films for Highly Sensitive and Selective Volatile Organic Compound Sensor Arrays. Adv. Funct. Mater. 2020, 30, 1910275. [Google Scholar] [CrossRef]
- Zhou, H.; Wang, X.; Lin, T.T.; Song, J.; Tang, B.Z.; Xu, J. Poly(triphenyl ethene) and poly(tetraphenyl ethene): Synthesis, aggregation-induced emission property and application as paper sensors for effective nitro-compounds detection. Polym. Chem. 2016, 7, 6309–6317. [Google Scholar] [CrossRef]
- Gao, M.; Wu, Y.; Chen, B.; He, B.; Nie, H.; Li, T.; Wu, F.; Zhou, W.; Zhou, J.; Zhao, Z. Di(naphthalen-2-yl)-1,2-diphenylethene-based conjugated polymers: Aggregation-enhanced emission and explosive detection. Polym. Chem. 2015, 6, 7641–7645. [Google Scholar] [CrossRef]
- Namgung, H.; Lee, J.J.; Gwon, Y.J.; Lee, T.S. Synthesis of tetraphenylethylene-based conjugated microporous polymers for detection of nitroaromatic explosive compounds. RSC Adv. 2018, 8, 34291–34296. [Google Scholar] [CrossRef]
- Huang, W.; Bender, M.; Seehafer, K.; Wacker, I.; Schröder, R.R.; Bunz, U.H.F. Novel Functional TPE Polymers: Aggregation-Induced Emission, pH Response, and Solvatochromic Behavior. Macromol. Rapid Commun. 2019, 40, 1800774. [Google Scholar] [CrossRef] [PubMed]
- He, L.; Liu, X.; Liang, J.; Cong, Y.; Weng, Z.; Bu, W. Fluorescence responsive conjugated poly(tetraphenylethene) and its morphological transition from micelle to vesicle. Chem. Commun. 2015, 51, 7148–7151. [Google Scholar] [CrossRef] [PubMed]
- Deng, H.; Hu, R.; Zhao, E.; Chan, C.Y.K.; Lam, J.W.Y.; Tang, B.Z. One-Pot Three-Component Tandem Polymerization Toward Functional Poly(arylene thiophenylene) with Aggregation-Enhanced Emission Characteristics. Macromolecules 2014, 47, 4920–4929. [Google Scholar] [CrossRef]
- Roose, J.; Tang, B.Z.; Wong, K.S. Circularly-Polarized Luminescence (CPL) from Chiral AIE Molecules and Macrostructures. Small 2016, 12, 6495–6512. [Google Scholar] [CrossRef]
- Liu, Q.; Xia, Q.; Wang, S.; Li, B.S.; Tang, B.Z. In situ visualizable self-assembly, aggregation-induced emission and circularly polarized luminescence of tetraphenylethene and alanine-based chiral polytriazole. J. Mater. Chem. C 2018, 6, 4807–4816. [Google Scholar] [CrossRef]
- Liu, X.; Jiao, J.; Jiang, X.; Li, J.; Cheng, Y.; Zhu, C. A tetraphenylethene-based chiral polymer: An AIE luminogen with high and tunable CPL dissymmetry factor. J. Mater. Chem. C 2013, 1, 4713. [Google Scholar] [CrossRef]
- Zhang, S.; Sheng, Y.; Wei, G.; Quan, Y.; Cheng, Y.; Zhu, C. Aggregation-induced circularly polarized luminescence of an (R)-binaphthyl-based AIE-active chiral conjugated polymer with self-assembled helical nanofibers. Polym. Chem. 2015, 6, 2416–2422. [Google Scholar] [CrossRef]
- Ma, J.; Wang, Y.; Li, X.; Yang, L.; Quan, Y.; Cheng, Y. Aggregation-induced CPL response from chiral binaphthyl-based AIE-active polymers via supramolecular self-assembled helical nanowires. Polymer (Guildf.) 2018, 143, 184–189. [Google Scholar] [CrossRef]
- Yang, L.; Zhang, Y.; Zhang, X.; Li, N.; Quan, Y.; Cheng, Y. Doping-free circularly polarized electroluminescence of AIE-active chiral binaphthyl-based polymers. Chem. Commun. 2018, 54, 9663–9666. [Google Scholar] [CrossRef]
- Zhang, C.; Li, M.; Lu, H.-Y.; Chen, C.-F. Synthesis, chiroptical properties, and self-assembled nanoparticles of chiral conjugated polymers based on optically stable helical aromatic esters. RSC Adv. 2018, 8, 1014–1021. [Google Scholar] [CrossRef]
- Zhang, H.; Zheng, X.; Kwok, R.T.K.; Wang, J.; Leung, N.L.C.; Shi, L.; Sun, J.Z.; Tang, Z.; Lam, J.W.Y.; Qin, A.; et al. In situ monitoring of molecular aggregation using circular dichroism. Nat. Commun. 2018, 9, 4961. [Google Scholar] [CrossRef] [PubMed]
- Ma, L.; Ma, H. Synthesis of π-conjugated network polymers based on triphenylamine (TPA) and tetraphenylethylene (TPE) as building blocks via direct Pd-catalyzed reactions and their application in CO2 capture and explosive detection. RSC Adv. 2019, 9, 18098–18105. [Google Scholar] [CrossRef]
- Chu, Z.; Fan, Z.; Zhang, X.; Tan, X.; Li, D.; Chen, G.; Zhao, Q. A comparison of ACQ, AIE and AEE-based polymers loaded on polyurethane foams as sensors for explosives detection. Sensors 2018, 18, 1565. [Google Scholar] [CrossRef]
- Mi, S.; Wu, J.; Liu, J.; Zheng, J.; Xu, C. Donor–π-bridge–acceptor fluorescent polymers based on thiophene and triphenylamine derivatives as solution processable electrochromic materials. Org. Electron. 2015, 23, 116–123. [Google Scholar] [CrossRef]
- Joswick, M.D.; Campbell, I.H.; Barashkov, N.N.; Ferraris, J.P. Systematic investigation of the effects of organic film structure on light emitting diode performance. J. Appl. Phys. 1996, 80, 2883–2890. [Google Scholar] [CrossRef]
- Wu, W.; Ye, S.; Tang, R.; Huang, L.; Li, Q.; Yu, G.; Liu, Y.; Qin, J.; Li, Z. New tetraphenylethylene-containing conjugated polymers: Facile synthesis, aggregation-induced emission enhanced characteristics and application as explosive chemsensors and PLEDs. Polymer (Guildf.) 2012, 53, 3163–3171. [Google Scholar] [CrossRef]
- He, B.; Ye, S.; Guo, Y.; Chen, B.; Xu, X.; Qiu, H.; Zhao, Z. Aggregation-enhanced emission and efficient electroluminescence of conjugated polymers containing tetraphenylethene units. Sci. China Chem. 2013, 56, 1221–1227. [Google Scholar] [CrossRef]
- Saha, S.K.; Ghosh, K.R.; Gao, J.P.; Wang, Z.Y. Highly Sensitive Dual-Mode Fluorescence Detection of Lead Ion in Water Using Aggregation-Induced Emissive Polymers. Macromol. Rapid Commun. 2014, 35, 1592–1597. [Google Scholar] [CrossRef]
- Shan, Y.; Yao, W.; Liang, Z.; Zhu, L.; Yang, S.; Ruan, Z. Reaction-based AIEE-active conjugated polymer as fluorescent turn on probe for mercury ions with good sensing performance. Dye. Pigment. 2018, 156, 1–7. [Google Scholar] [CrossRef]
- Lu, Q.; Yang, C.; Qiao, X.; Zhang, X.; Cai, W.; Chen, Y.; Wang, Y.; Zhang, W.; Lin, X.; Niu, H.; et al. Multifunctional AIE-active polymers containing TPA-TPE moiety for electrochromic, electrofluorochromic and photodetector. Dye. Pigment. 2019, 166, 340–349. [Google Scholar] [CrossRef]
- Wu, W.; Mao, D.; Xu, S.; Kenry; Hu, F.; Li, X.; Kong, D.; Liu, B. Polymerization-Enhanced Photosensitization. Chem 2018, 4, 1937–1951. [Google Scholar] [CrossRef]
- Wang, S.; Wu, W.; Manghnani, P.; Xu, S.; Wang, Y.; Goh, C.C.; Ng, L.G.; Liu, B. Polymerization-Enhanced Two-Photon Photosensitization for Precise Photodynamic Therapy. ACS Nano 2019, 13, 3095–3105. [Google Scholar] [CrossRef] [PubMed]
- Dong, W.; Pan, Y.; Fritsch, M.; Scherf, U. High sensitivity sensing of nitroaromatic explosive vapors based on polytriphenylamines with AIE-active tetraphenylethylene side groups. J. Polym. Sci. Part A Polym. Chem. 2015, 53, 1753–1761. [Google Scholar] [CrossRef]
- Dong, W.; Pina, J.; Pan, Y.; Preis, E.; Seixas de Melo, J.S.; Scherf, U. Polycarbazoles and polytriphenylamines showing aggregation-induced emission (AIE) and intramolecular charge transfer (ICT) behavior for the optical detection of nitroaromatic compounds. Polymer (Guildf.) 2015, 76, 173–181. [Google Scholar] [CrossRef]
- Dong, W.; Fei, T.; Palma-Cando, A.; Scherf, U. Aggregation induced emission and amplified explosive detection of tetraphenylethylene-substituted polycarbazoles. Polym. Chem. 2014, 5, 4048–4053. [Google Scholar] [CrossRef]
- Rodrigues, A.C.B.; Pina, J.; Dong, W.; Forster, M.; Scherf, U.; Seixas de Melo, J.S. Aggregation-Induced Emission in Phenothiazine–TPE and −TPAN Polymers. Macromolecules 2018, 51, 8501–8512. [Google Scholar] [CrossRef]
- Gu, J.; Xu, Z.; Ma, D.; Qin, A.; Tang, B.Z. Aggregation-induced emission polymers for high performance PLEDs with low efficiency roll-off. Mater. Chem. Front. 2020, 4, 1206–1211. [Google Scholar] [CrossRef]
- Liu, S.; Zhang, H.; Li, Y.; Liu, J.; Du, L.; Chen, M.; Kwok, R.T.K.; Lam, J.W.Y.; Phillips, D.L.; Tang, B.Z. Strategies to Enhance the Photosensitization: Polymerization and the Donor–Acceptor Even–Odd Effect. Angew. Chemie Int. Ed. 2018, 57, 15189–15193. [Google Scholar] [CrossRef]
- Seo, Y.H.; Singh, A.; Cho, H.-J.; Kim, Y.; Heo, J.; Lim, C.-K.; Park, S.Y.; Jang, W.-D.; Kim, S. Rational design for enhancing inflammation-responsive in vivo chemiluminescence via nanophotonic energy relay to near-infrared AIE-active conjugated polymer. Biomaterials 2016, 84, 111–118. [Google Scholar] [CrossRef]
- Wang, L.; Yang, L.; Li, L.; Cao, D. The synthesis and highly sensitive detection of water content in THF using a novel solvatochromic AIE polymer containing diketopyrrolopyrrole and triphenylamine. New J. Chem. 2016, 40, 6706–6713. [Google Scholar] [CrossRef]
- Yoshii, R.; Hirose, A.; Tanaka, K.; Chujo, Y. Functionalization of Boron Diiminates with Unique Optical Properties: Multicolor Tuning of Crystallization-Induced Emission and Introduction into the Main Chain of Conjugated Polymers. J. Am. Chem. Soc. 2014, 136, 18131–18139. [Google Scholar] [CrossRef] [PubMed]
- Jeon, I.-Y.; Noh, H.-J.; Baek, J.-B. Hyperbranched Macromolecules: From Synthesis to Applications. Molecules 2018, 23, 657. [Google Scholar] [CrossRef] [PubMed]
- Sharma, R.K.; Yadav, P.; Yadav, M.; Gupta, R.; Rana, P.; Srivastava, A.; Zbořil, R.; Varma, R.S.; Antonietti, M.; Gawande, M.B. Recent development of covalent organic frameworks (COFs): Synthesis and catalytic (organic-electro-photo) applications. Mater. Horizons 2020, 7, 411–454. [Google Scholar] [CrossRef]
- Hu, R.; Lam, J.W.Y.; Li, M.; Deng, H.; Li, J.; Tang, B.Z. Homopolycyclotrimerization of A 4 -type tetrayne: A new approach for the creation of a soluble hyperbranched poly(tetraphenylethene) with multifunctionalities. J. Polym. Sci. Part A Polym. Chem. 2013, 51, 4752–4764. [Google Scholar] [CrossRef]
- Chen, Q.; Wang, J.-X.; Yang, F.; Zhou, D.; Bian, N.; Zhang, X.-J.; Yan, C.-G.; Han, B.-H. Tetraphenylethylene-based fluorescent porous organic polymers: Preparation, gas sorption properties and photoluminescence properties. J. Mater. Chem. 2011, 21, 13554. [Google Scholar] [CrossRef]
- Xu, Y.; Nagai, A.; Jiang, D. Core–shell conjugated microporous polymers: A new strategy for exploring color-tunable and -controllable light emissions. Chem. Commun. 2013, 49, 1591–1593. [Google Scholar] [CrossRef]
- Wu, W.; Ye, S.; Yu, G.; Liu, Y.; Qin, J.; Li, Z. Novel Functional Conjugative Hyperbranched Polymers with Aggregation-Induced Emission: Synthesis Through One-Pot “A 2 +B 4 ” Polymerization and Application as Explosive Chemsensors and PLEDs. Macromol. Rapid Commun. 2012, 33, 164–171. [Google Scholar] [CrossRef]
- Lee, D.H.; Ko, K.C.; Ko, J.H.; Kang, S.Y.; Lee, S.M.; Kim, H.J.; Ko, Y.-J.; Lee, J.Y.; Son, S.U. In Situ Water-Compatible Polymer Entrapment: A Strategy for Transferring Superhydrophobic Microporous Organic Polymers to Water. ACS Macro Lett. 2018, 7, 651–655. [Google Scholar] [CrossRef]
- Wu, W.; Ye, S.; Huang, L.; Xiao, L.; Fu, Y.; Huang, Q.; Yu, G.; Liu, Y.; Qin, J.; Li, Q.; et al. A conjugated hyperbranched polymer constructed from carbazole and tetraphenylethylene moieties: Convenient synthesis through one-pot “A2 + B4” Suzuki polymerization, aggregation-induced enhanced emission, and application as explosive chemosensors and PLED. J. Mater. Chem. 2012, 22, 6374. [Google Scholar] [CrossRef]
- Dalapati, S.; Jin, E.; Addicoat, M.; Heine, T.; Jiang, D. Highly Emissive Covalent Organic Frameworks. J. Am. Chem. Soc. 2016, 138, 5797–5800. [Google Scholar] [CrossRef] [PubMed]
- Wu, X.; Han, X.; Xu, Q.; Liu, Y.; Yuan, C.; Yang, S.; Liu, Y.; Jiang, J.; Cui, Y. Chiral BINOL-Based Covalent Organic Frameworks for Enantioselective Sensing. J. Am. Chem. Soc. 2019, 141, 7081–7089. [Google Scholar] [CrossRef] [PubMed]
- AIE Luminogens: A Family of New Materials with Multifaceted Functionalities. Available online: https://www.sigmaaldrich.com/technical-documents/articles/biology/aie-luminogens.html#perspective (accessed on 2 January 2021).
- AIEgen Biotech Co. Available online: http://www.aiegen.com.hk/ (accessed on 2 January 2021).
- Dubey, V.; Som, S.; Kumar, V. Luminescent Materials in Display and Biomedical Applications; Dubey, V., Som, S., Kumar, V., Eds.; CRC Press: Boca Raton, FL, USA; Taylor & Francis Group: Abingdon, UK, 2020; ISBN 9780429025334. [Google Scholar]
- Su, L.; Fan, X.; Yin, T.; Wang, H.; Li, Y.; Liu, F.; Li, J.; Zhang, H.; Xie, H. Inorganic 2D Luminescent Materials: Structure, Luminescence Modulation, and Applications. Adv. Opt. Mater. 2020, 8, 1900978. [Google Scholar] [CrossRef]
- Duo, Y.; Xie, Z.; Wang, L.; Mahmood Abbasi, N.; Yang, T.; Li, Z.; Hu, G.; Zhang, H. Borophene-based biomedical applications: Status and future challenges. Coord. Chem. Rev. 2021, 427, 213549. [Google Scholar] [CrossRef]







































| Compound | λab (nm) | λem (nm) | Φsol (%) | λexc (nm) | λem (nm) | ΦF (%) |
|---|---|---|---|---|---|---|
| THF Solution | Aggregated | |||||
| 121 | 329 | 399 420 | 60 | 339 353 | 430 | 71 |
| 132 | 313 | 424 | <1 | 348 a | 434 a | <1 a |
| 143 | 310 | 450 | 0.09 | 330 | 480 | 100 |
| 154 | 326 | 488 | 0.26 | - | - | 81 |
| 161 | 350 | 461 | 43 | 440 | 461 467 | 43 |
| 172 | 340 | 467 488 | <1 | 398a | 488a | 68 a |
Publisher’s Note: MDPI stays neutral with regard to jurisdictional claims in published maps and institutional affiliations. |
© 2021 by the authors. Licensee MDPI, Basel, Switzerland. This article is an open access article distributed under the terms and conditions of the Creative Commons Attribution (CC BY) license (http://creativecommons.org/licenses/by/4.0/).
Share and Cite
Sánchez-Ruiz, A.; Sousa-Hervés, A.; Tolosa Barrilero, J.; Navarro, A.; Garcia-Martinez, J.C. Aggregation-Induced Emission Properties in Fully π-Conjugated Polymers, Dendrimers, and Oligomers. Polymers 2021, 13, 213. https://doi.org/10.3390/polym13020213
Sánchez-Ruiz A, Sousa-Hervés A, Tolosa Barrilero J, Navarro A, Garcia-Martinez JC. Aggregation-Induced Emission Properties in Fully π-Conjugated Polymers, Dendrimers, and Oligomers. Polymers. 2021; 13(2):213. https://doi.org/10.3390/polym13020213
Chicago/Turabian StyleSánchez-Ruiz, Antonio, Ana Sousa-Hervés, Juan Tolosa Barrilero, Amparo Navarro, and Joaquín C. Garcia-Martinez. 2021. "Aggregation-Induced Emission Properties in Fully π-Conjugated Polymers, Dendrimers, and Oligomers" Polymers 13, no. 2: 213. https://doi.org/10.3390/polym13020213
APA StyleSánchez-Ruiz, A., Sousa-Hervés, A., Tolosa Barrilero, J., Navarro, A., & Garcia-Martinez, J. C. (2021). Aggregation-Induced Emission Properties in Fully π-Conjugated Polymers, Dendrimers, and Oligomers. Polymers, 13(2), 213. https://doi.org/10.3390/polym13020213

