Characterisation and Modelling of PLA Filaments and Evolution with Time
Abstract
:1. Introduction
2. Materials and Methods
2.1. Material Preparation and Storage
2.2. Physical Characterisation
2.3. Thermal Analysis
2.4. Mechanical Characterisation and Fractography
2.5. Analytical Models and Parametrical Analysis
2.5.1. Analytical Model of the Strain Rate
2.5.2. Analytical Model of the Ageing
- is the property at an infinite time of ageing that corresponds to the stabilised value (steady state);
- An (adimensional) ageing potential describes the gap between the property at zero days of ageing and infinite days of ageing. A value of zero for A means that there is no gap, and thus = .
- B (1/time) is the ageing rate or driving force, which describes how fast the material will evolve towards the steady state.
3. Results and Discussion
3.1. Morphology
3.2. Physical Properties
3.3. Thermal Properties
3.4. Mechanical Behaviour
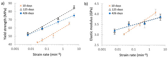
3.4.1. Influence of the Crosshead Speed (or Strain Rate)
3.4.2. Influence of the Ageing and Printing Temperature
3.5. Microstructural and Fractographical Analysis
4. Conclusions
- Samples extruded at 180 and 190 °C were compared. It was noticed that the samples extruded at 180 °C had more morphological defects, such as wavy morphologies, due to the higher viscosity of the material. Therefore, the optimal printing temperature for PLA printed via material extrusion, with regard to its mechanical properties and morphology, is 190 °C.
- The mechanical properties were highly dependent on the crosshead speed. The samples tested under low rates had smaller yield strengths and elastic moduli but higher deformations and plasticity, which was coherent with Eyring theory. Meanwhile, at faster speeds, the opposite happened. The 1 mm/min speed was chosen as a reference since it was the lowest speed that did not produce cold drawing. It helped in obtaining the minimum mechanical properties for the mechanical characterisation of the materials, as opposed to the faster speed, which was in the safe zone. In standard applications, the loading speeds for PLA can be expected to be much higher than 1 mm/min and thus the materials will exhibit superior mechanical properties during service. It is suggested to use the Eyring model to model the PLA’s behaviour with the crosshead speed.
- The influence of ageing on the mechanical properties showed that the material should be aged for at least 100 days inside a PET zip-bag with desiccant and protected from direct solar radiation to reach the steady state.
- Concerning the thermal properties, the materials were aged for up to 366 days for Tg, which stabilised at 100 days, similarly to the mechanical properties. However, the enthalpic relaxation can be expected to keep increasing even after 366 days. As expected from the theoretical point of view, negligible variations in the cold crystallisation and melting enthalpies were detected. The KWW model parameters for thermal properties were obtained and agreed with the values range for other polymers, and thus this model is suggested for modelling the thermal properties of PLA.
- According to the mechanical testing results, a higher printing temperature (below the degradation temperature) can be expected to produce better flow-induced molecular orientation in the extruded filament, which provides higher mechanical properties. With ageing, these oriented chains and molecules slowly reach their stable configuration, but it takes more time to increase the printing temperature. These variations can be easily quantified by comparing the three parameters of the model for the different conditions of the material.
- Microstructural and fractographical analysis of the filaments showed that the wavy morphologies in the filaments extruded at 180 °C did not affect the mechanical properties. The increases of the strain rate and ageing produced an essential change in the fracture morphology towards a flatter surface.
- The influence of natural ageing on mechanical properties was fitted with a logistic model that predicts how the properties change with the ageing time in a low humidity atmosphere.
Author Contributions
Funding
Institutional Review Board Statement
Informed Consent Statement
Conflicts of Interest
References
- Tan, L.J.; Zhu, W.; Zhou, K. Recent Progress on Polymer Materials for Additive Manufacturing. Adv. Funct. Mater. 2020, 30, 2003062. [Google Scholar] [CrossRef]
- Lim, L.-T.; Auras, R.; Rubino, M. Processing technologies for poly(lactic acid). Prog. Polym. Sci. 2008, 33, 820–852. [Google Scholar] [CrossRef]
- Arrieta, M.P.; López, J.; Rayón, E.; Jiménez, A. Disintegrability under composting conditions of plasticized PLA–PHB blends. Polym. Degrad. Stab. 2014, 108, 307–318. [Google Scholar] [CrossRef] [Green Version]
- Ahn, H.K.; Huda, M.S.; Smith, M.C.; Mulbry, W.; Schmidt, W.F.; Reeves, J.B., III. Biodegradability of injection molded bioplastic pots containing polylactic acid and poultry feather fiber. Bioresour. Technol. 2011, 102, 4930–4933. [Google Scholar] [CrossRef]
- Sarasa, J.; Gracia, J.M.; Javierre, C. Study of the biodisintegration of a bioplastic material waste. Bioresour. Technol. 2009, 100, 3764–3768. [Google Scholar] [CrossRef]
- Mihai, M.; Legros, N.; Alemdar, A. Formulation-properties versatility of wood fiber biocomposites based on polylactide and polylactide/thermoplastic starch blends. Polym. Eng. Sci. 2014, 54, 1325–1340. [Google Scholar] [CrossRef]
- Tabasi, R.Y.; Ajji, A. Selective degradation of biodegradable blends in simulated laboratory composting. Polym. Degrad. Stab. 2015, 120, 435–442. [Google Scholar] [CrossRef]
- Kale, G.; Auras, R.; Singh, S.P.; Narayan, R. Biodegradability of polylactide bottles in real and simulated composting conditions. Polym. Test. 2007, 26, 1049–1061. [Google Scholar] [CrossRef]
- Han, R.; Buchanan, F.; Ford, L.; Julius, M.; Walsh, P.J. A Comparison of the Degradation Behaviour of 3D Printed PDLGA Scaffolds incorporating Bioglass or Biosilica. Mater. Sci. Eng. C 2020, 120, 111755. [Google Scholar] [CrossRef] [PubMed]
- Singh, S.; Ramakrishna, S.; Singh, R. Material issues in additive manufacturing: A review. J. Manuf. Process. 2017, 25, 185–200. [Google Scholar] [CrossRef]
- Melchels, F.P.W.; Domingos, M.A.N.; Klein, T.J.; Malda, J.; Bartolo, P.J.; Hutmacher, D.W. Additive manufacturing of tissues and organs. Prog. Polym. Sci. 2012, 37, 1079–1104. [Google Scholar] [CrossRef] [Green Version]
- Serra, T.; Timoneda, M.A.M.; Planell, J.A.; Navarro, M. 3D printed PLA-based scaffolds. Organogenesis 2013, 9, 239–244. [Google Scholar] [CrossRef] [PubMed] [Green Version]
- Törmälä, P.; Pohjonen, T.; Rokkanen, P. Bioabsorbable polymers: Materials technology and surgical applications. Proc. Inst. Mech. Eng. Part H J. Eng. Med. 1998, 212, 101–111. [Google Scholar] [CrossRef] [PubMed]
- Maurus, P.B.; Kaeding, C.C. Bioabsorbable implant material review. Oper. Tech. Sports Med. 2004, 12, 158–160. [Google Scholar] [CrossRef]
- Orellana, J.; Pastor, Y.Y.; Calle, F.; Pastor, J.Y. Influence of HRGO Nanoplatelets on Behaviour and Processing of PMMA Bone Cement for Surgery. Polymers 2021, 13, 2027. [Google Scholar] [CrossRef]
- Vu, M.C.; Jeong, T.; Kim, J.; Choi, W.K.; Kim, D.H.; Kim, S. 3D printing of copper particles and poly(methyl methacrylate) beads containing poly(lactic acid) composites for enhancing thermomechanical properties. J. Appl. Polym. Sci. 2021, 138, 49776. [Google Scholar] [CrossRef]
- Zhou, X.; Deng, J.; Fang, C.; Lei, W.; Song, Y.; Zhang, Z.; Huang, Z.; Li, Y. Additive manufacturing of CNTs/PLA composites and the correlation between microstructure and functional properties. J. Mater. Sci. Technol. 2021, 60, 27–34. [Google Scholar] [CrossRef]
- Valino, A.D.; Dizon, J.R.C.; Espera, A.H.; Chen, Q.; Messman, J.; Advincula, R.C. Advances in 3D printing of thermoplastic polymer composites and nanocomposites. Prog. Polym. Sci. 2019, 98, 101162. [Google Scholar] [CrossRef]
- Farah, S.; Anderson, D.G.; Langer, R. Physical and mechanical properties of PLA, and their functions in widespread applications—A comprehensive review. Adv. Drug Deliv. Rev. 2016, 107, 367–392. [Google Scholar] [CrossRef] [Green Version]
- Niaounakis, M.; Kontou, E.; Xanthis, M. Effects of aging on the thermomechanical properties of poly(lactic acid). J. Appl. Polym. Sci. 2010, 119, 472–481. [Google Scholar] [CrossRef]
- Syrlybayev, D.; Zharylkassyn, B.; Seisekulova, A.; Akhmetov, M.; Perveen, A.; Talamona, D. Optimisation of Strength Properties of FDM Printed Parts—A Critical Review. Polymer 2021, 13, 1587. [Google Scholar] [CrossRef]
- Hsueh, M.-H.; Lai, C.-J.; Chung, C.-F.; Wang, S.-H.; Huang, W.-C.; Pan, C.-Y.; Zeng, Y.-S.; Hsieh, C.-H. Effect of Printing Parameters on the Tensile Properties of 3D-Printed Polylactic Acid (PLA) Based on Fused Deposition Modeling. Polymer 2021, 13, 2387. [Google Scholar] [CrossRef] [PubMed]
- Sanatgar, R.H.; Campagne, C.; Nierstrasz, V. Investigation of the adhesion properties of direct 3D printing of polymers and nanocomposites on textiles: Effect of FDM printing process parameters. Appl. Surf. Sci. 2017, 403, 551–563. [Google Scholar] [CrossRef]
- Coppola, B.; Cappetti, N.; Di Maio, L.; Scarfato, P.; Incarnato, L. 3D Printing of PLA/clay Nanocomposites: Influence of Printing Temperature on Printed Samples Properties. Materials 2018, 11, 1947. [Google Scholar] [CrossRef] [PubMed] [Green Version]
- Rajpurohit, S.R.; Dave, H.K. Effect of process parameters on tensile strength of FDM printed PLA part. Rapid Prototyp. J. 2018, 24, 1317–1324. [Google Scholar] [CrossRef]
- Martín-Montal, J.; Pernas-Sánchez, J.; Varas, D. Experimental Characterization Framework for SLA Additive Manufacturing Materials. Polymer 2021, 13, 1147. [Google Scholar] [CrossRef] [PubMed]
- Spoerk, M.; Gonzalez-Gutierrez, J.; Sapkota, J.; Schuschnigg, S.; Holzer, C. Effect of the printing bed temperature on the adhesion of parts produced by fused filament fabrication. Plast. Rubber Compos. 2018, 47, 17–24. [Google Scholar] [CrossRef]
- Valerga, A.P.; Batista, M.; Fernandez-Vidal, S.R.; Gamez, A.J. Impact of Chemical Post-Processing in Fused Deposition Modelling (FDM) on Polylactic Acid (PLA) Surface Quality and Structure. Polymer 2019, 11, 566. [Google Scholar] [CrossRef] [Green Version]
- Wittbrodt, B.; Pearce, J.M. The effects of PLA color on material properties of 3-D printed components. Addit. Manuf. 2015, 8, 110–116. [Google Scholar] [CrossRef] [Green Version]
- Torrado, A.R.; Shemelya, C.M.; English, J.D.; Lin, Y.; Wicker, R.B.; Roberson, D.A. Characterizing the effect of additives to ABS on the mechanical property anisotropy of specimens fabricated by material extrusion 3D printing. Addit. Manuf. 2015, 6, 16–29. [Google Scholar] [CrossRef]
- Von Schmeling, H.H.K.-B.; Williams, J.G. Polymer Fracture. In Encyclopedia of Polymer Science and Technology; Wiley Online Library: Hoboken, NJ, USA, 2015; pp. 1–65. [Google Scholar] [CrossRef]
- White, J. Origins and measurements of internal stress in plastics. Polym. Test. 1984, 4, 165–191. [Google Scholar] [CrossRef]
- Coxon, L.D.; White, J.R. Residual stresses and aging in injection molded polypropylene. Polym. Eng. Sci. 1980, 20, 230–236. [Google Scholar] [CrossRef]
- Chan, T.W.D.; Lee, L.J. Analysis of molecular orientation and internal stresses in extruded plastic sheets. Polym. Eng. Sci. 1989, 29, 163–170. [Google Scholar] [CrossRef]
- Jalali, A.; Huneault, M.A.; Nofar, M.; Lee, P.C.; Park, C.B. Effect of branching on flow-induced crystallization of poly (lactic acid). Eur. Polym. J. 2019, 119, 410–420. [Google Scholar] [CrossRef]
- Tsuji, H.; Echizen, Y.; Nishimura, Y. Photodegradation of biodegradable polyesters: A comprehensive study on poly(l-lactide) and poly(ε-caprolactone). Polym. Degrad. Stab. 2006, 91, 1128–1137. [Google Scholar] [CrossRef]
- Copinet, A.; Bertrand, C.; Govindin, S.; Coma, V.; Couturier, Y. Effects of ultraviolet light (315 nm), temperature and relative humidity on the degradation of polylactic acid plastic films. Chemosphere 2004, 55, 763–773. [Google Scholar] [CrossRef] [PubMed]
- Zhang, X.; Espiritu, M.; Bilyk, A.; Kurniawan, L. Morphological behaviour of poly(lactic acid) during hydrolytic degradation. Polym. Degrad. Stab. 2008, 93, 1964–1970. [Google Scholar] [CrossRef]
- Li, S.; McCarthy, S. Further investigations on the hydrolytic degradation of poly (DL-lactide). Biomaterials 1999, 20, 35–44. [Google Scholar] [CrossRef]
- Wachsen, O.; Platkowski, K.; Reichert, K.H. Thermal degradation of poly-l -lactide -studies on kinetics, modelling and melt stabilisation. Polym. Degrad. Stab. 1997, 57, 87–94. [Google Scholar] [CrossRef]
- Aoyagi, Y.; Yamashita, K.; Doi, Y. Thermal degradation of poly[(R)-3-hydroxybutyrate], poly[ε-caprolactone], and poly[(S)-lactide]. Polym. Degrad. Stab. 2002, 76, 53–59. [Google Scholar] [CrossRef]
- Zhou, Q.; Xanthos, M. Nanosize and microsize clay effects on the kinetics of the thermal degradation of polylactides. Polym. Degrad. Stab. 2009, 94, 327–338. [Google Scholar] [CrossRef]
- Hakkarainen, M.; Albertsson, A.C.; Karlsson, S. Weight losses and molecular weight changes correlated with the evolution of hydroxyacids in simulated in vivo degradation of homo- and copolymers of PLA and PGA. Polym. Degrad. Stab. 1996, 52, 283–291. [Google Scholar] [CrossRef]
- Kopinke, F.-D.; Remmler, M.; Mackenzie, K.; Möder, M.; Wachsen, O. Thermal decomposition of biodegradable polyesters—II. Poly(lactic acid). Polym. Degrad. Stab. 1996, 53, 329–342. [Google Scholar] [CrossRef]
- Rasselet, D.; Ruellan, A.; Guinault, A.; Miquelard-Garnier, G.; Sollogoub, C.; Fayolle, B. Oxidative degradation of polylactide (PLA) and its effects on physical and mechanical properties. Eur. Polym. J. 2014, 50, 109–116. [Google Scholar] [CrossRef] [Green Version]
- Di Lorenzo, M.L.; Androsch, R. Influence of α′-/α-crystal polymorphism on properties of poly(l-lactic acid). Polym. Int. 2019, 68, 320–334. [Google Scholar] [CrossRef]
- Pan, P.; Inoue, Y. Polymorphism and isomorphism in biodegradable polyesters. Prog. Polym. Sci. 2009, 34, 605–640. [Google Scholar] [CrossRef]
- Richeton, J.; Ahzi, S.; Vecchio, K.S.; Jiang, F.C.; Adharapurapu, R.R. Influence of temperature and strain rate on the mechanical behavior of three amorphous polymers: Characterization and modeling of the compressive yield stress. Int. J. Solids Struct. 2006, 43, 2318–2335. [Google Scholar] [CrossRef] [Green Version]
- Yang, J.; Pan, H.; Li, X.; Sun, S.; Zhang, H.; Dong, L. A study on the mechanical, thermal properties and crystallization behavior of poly(lactic acid)/thermoplastic poly(propylene carbonate) polyurethane blends. RSC Adv. 2017, 7, 46183–46194. [Google Scholar] [CrossRef] [Green Version]
- Simmons, H.; Tiwary, P.; Colwell, J.E.; Kontopoulou, M. Improvements in the crystallinity and mechanical properties of PLA by nucleation and annealing. Polym. Degrad. Stab. 2019, 166, 248–257. [Google Scholar] [CrossRef]
- Suryanegara, L.; Nakagaito, A.N.; Yano, H. The effect of crystallization of PLA on the thermal and mechanical properties of microfibrillated cellulose-reinforced PLA composites. Compos. Sci. Technol. 2009, 69, 1187–1192. [Google Scholar] [CrossRef]
- Eyring, H. Viscosity, Plasticity, and Diffusion as Examples of Absolute Reaction Rates. J. Chem. Phys. 1936, 4, 283–291. [Google Scholar] [CrossRef]
- Williams, G.; Watts, D.; Dev, S.B.; North, A.M. Further considerations of non symmetrical dielectric relaxation behaviour arising from a simple empirical decay function. Trans. Faraday Soc. 1971, 67, 1323–1335. [Google Scholar] [CrossRef]
- Gleadall, A.; Ashcroft, I.; Segal, J. VOLCO: A predictive model for 3D printed microarchitecture. Addit. Manuf. 2018, 21, 605–618. [Google Scholar] [CrossRef]
- Arabnejad, S.; Johnston, B.; Tanzer, M.; Pasini, D. Fully porous 3D printed titanium femoral stem to reduce stress-shielding following total hip arthroplasty. J. Orthop. Res. 2017, 35, 1774–1783. [Google Scholar] [CrossRef] [PubMed]
- Orellana, J.; Palacios, T.; Calle, F.; Pastor, J.Y. Bio-inspired redesign of a hip prosthesis stem for improving geometrical optimization time. Procedia Manuf. 2019, 41, 121–128. [Google Scholar] [CrossRef]
- Rivet, I.; Dialami, N.; Cervera, M.; Chiumenti, M.; Reyes, G.; Pérez, M. Experimental, Computational, and Dimensional Analysis of the Mechanical Performance of Fused Filament Fabrication Parts. Polymer 2021, 13, 1766. [Google Scholar] [CrossRef]
- Acharya, S.; Mukhopadhyay, A.K. High strain rate compressive behavior of PMMA. Polym. Bull. 2013, 71, 133–149. [Google Scholar] [CrossRef]
- Ree, F.; Ree, T.; Eyring, H. Relaxation Theory of Transport Problems in Condensed Systems. Ind. Eng. Chem. 1958, 50, 1036–1040. [Google Scholar] [CrossRef]
- Bauwens-Crowet, C. The compression yield behaviour of polymethyl methacrylate over a wide range of temperatures and strain-rates. J. Mater. Sci. 1973, 8, 968–979. [Google Scholar] [CrossRef]
- El-Qoubaa, Z.; Othman, R. Characterization and modeling of the strain rate sensitivity of polyetheretherketone’s compressive yield stress. Mater. Des. 2015, 66, 336–345. [Google Scholar] [CrossRef]
- Haque, K.; Kawai, K.; Suzuki, T. Glass transition and enthalpy relaxation of amorphous lactose glass. Carbohydr. Res. 2006, 341, 1884–1889. [Google Scholar] [CrossRef]
- Kawai, K.; Hagiwara, T.; Takai, R.; Suzuki, T. Comparative Investigation by Two Analytical Approaches of Enthalpy Relaxation for Glassy Glucose, Sucrose, Maltose, and Trehalose. Pharm. Res. 2005, 22, 490–495. [Google Scholar] [CrossRef]
- Liu, Y.; Bhandari, B.; Zhou, W. Glass Transition and Enthalpy Relaxation of Amorphous Food Saccharides: A Review. J. Agric. Food Chem. 2006, 54, 5701–5717. [Google Scholar] [CrossRef] [PubMed]
- Song, Y.; Li, Y.; Song, W.; Yee, K.; Lee, K.-Y.; Tagarielli, V. Measurements of the mechanical response of unidirectional 3D-printed PLA. Mater. Des. 2017, 123, 154–164. [Google Scholar] [CrossRef]
- Fernandes, J.; Deus, A.M.; Reis, L.; Vaz, M.F.; Leite, M. Study of the influence of 3D printing parameters on the mechanical properties of PLA. In Proceedings of the International Conference on Progress in Additive Manufacturing, Singapore, 14–17 May 2018; pp. 547–552. [Google Scholar]
- Ferrández-Montero, A.; Lieblich, M.; Benavente, R.; González-Carrasco, J.; Ferrari, B. Study of the matrix-filler interface in PLA/Mg composites manufactured by Material Extrusion using a colloidal feedstock. Addit. Manuf. 2020, 33, 101142. [Google Scholar] [CrossRef]
- Ree, T.; Eyring, H. Theory of Non-Newtonian Flow. I. Solid Plastic System. J. Appl. Phys. 1955, 26, 793–800. [Google Scholar] [CrossRef]
- Siviour, C.R.; Jordan, J.L. High Strain Rate Mechanics of Polymers: A Review. J. Dyn. Behav. Mater. 2016, 2, 15–32. [Google Scholar] [CrossRef] [Green Version]
- Mulliken, A.; Boyce, M. Mechanics of the rate-dependent elastic–plastic deformation of glassy polymers from low to high strain rates. Int. J. Solids Struct. 2006, 43, 1331–1356. [Google Scholar] [CrossRef] [Green Version]
- Kuznetsov, V.E.; Solonin, A.N.; Tavitov, A.; Urzhumtsev, O.; Vakulik, A. Increasing strength of FFF three-dimensional printed parts by influencing on temperature-related parameters of the process. Rapid Prototyp. J. 2020, 26, 107–121. [Google Scholar] [CrossRef]
- Sood, A.K.; Ohdar, R.K.; Mahapatra, S.S. Experimental investigation and empirical modelling of FDM process for compressive strength improvement. J. Adv. Res. 2012, 3, 81–90. [Google Scholar] [CrossRef] [Green Version]
- Sun, Q.; Rizvi, G.M.; Bellehumeur, C.T.; Gu, P. Effect of processing conditions on the bonding quality of FDM polymer filaments. Rapid Prototyp. J. 2008, 14, 72–80. [Google Scholar] [CrossRef]
- Chandran, S.; Baschnagel, J.; Cangialosi, D.; Fukao, K.; Glynos, E.; Janssen, L.M.C.; Müller, M.; Muthukumar, M.; Steiner, U.; Xu, J.; et al. Processing Pathways Decide Polymer Properties at the Molecular Level. Macromolecules 2019, 52, 7146–7156. [Google Scholar] [CrossRef] [Green Version]
- Rhoades, A.; Pantani, R. Poly(Lactic Acid): Flow-Induced Crystallization BT—Thermal Properties of Bio-based Polymers; Di Lorenzo, M.L., Androsch, R., Eds.; Springer International Publishing: Cham, Switzerland, 2019; pp. 87–117. [Google Scholar] [CrossRef]
- Volpe, V.; De Filitto, M.; Klofacova, V.; De Santis, F.; Pantani, R. Effect of mold opening on the properties of PLA samples obtained by foam injection molding. Polym. Eng. Sci. 2018, 58, 475–484. [Google Scholar] [CrossRef]
- Mofokeng, J.P.; Luyt, A.; Tábi, T.; Kovács, J. Comparison of injection moulded, natural fibre-reinforced composites with PP and PLA as matrices. J. Thermoplast. Compos. Mater. 2012, 25, 927–948. [Google Scholar] [CrossRef]













| Ageing (Days) | Tg (°C) | TER (°C) | ΔHER (J/g) | TCC (°C) | ΔHCC (J/g) | Tm (°C) | ΔHm (J/g) |
|---|---|---|---|---|---|---|---|
| 1 | 51.7 ± 0.5 | - | - | 124 ± 1 | −4.1 ± 0.2 | 151 ± 1 | 4.3 ± 0.3 |
| 3 | 53.1 ± 0.5 | 57.0 ± 0.5 | 0.9 ± 0.1 | 125 ± 1 | −3.2 ± 0.1 | 150 ± 1 | 3.4 ± 0.2 |
| 7 | 55.2 ± 0.5 | 58.1 ± 0.5 | 1.4 ± 0.1 | 125 ± 1 | −4.3 ± 0.2 | 151 ± 1 | 4.6 ± 0.3 |
| 14 | 57.4 ± 0.5 | 59.5 ± 0.5 | 2.0 ± 0.1 | 125 ± 1 | −5.4 ± 0.4 | 151 ± 1 | 5.5 ± 0.4 |
| 21 | 58.3 ± 0.5 | 61.0 ± 0.5 | 2.5 ± 0.2 | 124 ± 1 | −5.6 ± 0.4 | 151 ± 1 | 5.6 ± 0.4 |
| 28 | 58.8 ± 0.5 | 61.7 ± 0.5 | 2.8 ± 0.2 | 125 ± 1 | −5.2 ± 0.4 | 152 ± 1 | 5.5 ± 0.4 |
| 42 | 59.2 ± 0.5 | 62.0 ± 0.5 | 3.2 ± 0.2 | 125 ± 1 | −4.6 ± 0.3 | 151 ± 1 | 5.0 ± 0.3 |
| 84 | 59.9 ± 0.5 | 62.6 ± 0.5 | 3.8 ± 0.3 | 125 ± 1 | −4.1 ± 0.3 | 151 ± 1 | 4.1 ± 0.3 |
| 104 | 59.9 ± 0.5 | 62.9 ± 0.5 | 4.0 ± 0.3 | 125 ± 1 | −5.3 ± 0.4 | 152 ± 1 | 5.2 ± 0.4 |
| 125 | 60.0 ± 0.5 | 62.9 ± 0.5 | 4.1 ± 0.3 | 125 ± 1 | −4.0 ± 0.3 | 150 ± 1 | 4.4 ± 0.3 |
| 140 | 59.9 ± 0.5 | 62.7 ± 0.5 | 4.2 ± 0.3 | 124 ± 1 | −5.0 ± 0.3 | 151 ± 1 | 5.0 ± 0.3 |
| 240 | 60.1 ± 0.5 | 63.0 ± 0.5 | 4.4 ± 0.3 | 125 ± 1 | −4.2 ± 0.3 | 151 ± 1 | 4.1 ± 0.3 |
| 366 | 60.0 ± 0.5 | 63.1 ± 0.5 | 4.5 ± 0.3 | 124 ± 1 | −3.5 ± 0.2 | 150 ± 1 | 3.6 ± 0.2 |
| Printing Temperature (°C) | Wavy Surface | Ageing (Days) | Crosshead Speed (mm/min) | Strain Rate (min−1) | Yield Strength (MPa) | Elastic Modulus (GPa) |
|---|---|---|---|---|---|---|
| 190 | No | 10 | 0.5 | 2.5 × 10−2 | 43 ± 1 | 3.0 ± 0.1 |
| 190 | No | 10 | 1 | 5 × 10−2 | 45 ± 2 | 3.2 ± 0.1 |
| 190 | No | 10 | 5 | 2.5 × 10−1 | 51 ± 3 | 3.5 ± 0.2 |
| 190 | No | 10 | 50 | 2.5 | 66 ± 2 | 4.1 ± 0.1 |
| 190 | No | 125 | 0.125 | 6.25 × 10−3 | 51 ± 1 | 3.2 ± 0.1 |
| 190 | No | 125 | 1 | 5 × 10−2 | 59 ± 1 | 3.5 ± 0.1 |
| 190 | No | 125 | 10 | 5 × 10−1 | 68 ± 3 | 3.5 ± 0.2 |
| 190 | No | 125 | 100 | 5 | 75 ± 2 | 3.9 ± 0.1 |
| 190 | No | 426 | 0.125 | 6.25 × 10−3 | 54 ± 1 | 3.1 ± 0.1 |
| 190 | No | 426 | 1 | 5 × 10−2 | 60 ± 2 | 3.6 ± 0.1 |
| 190 | No | 426 | 10 | 5 × 10−1 | 71 ± 1 | 3.6 ± 0.1 |
| 190 | No | 426 | 100 | 5 | 85 ± 2 | 3.9 ± 0.2 |
| 180 | No | 1 | 1 | 5 × 10−2 | 34 ± 3 | 2.2 ± 0.2 |
| 180 | No | 49 | 1 | 5 × 10−2 | 57 ± 1 | 3.5 ± 0.1 |
| 180 | Yes | 49 | 1 | 5 × 10−2 | 57 ± 2 | 3.5 ± 0.2 |
| 180 | No | 65 | 1 | 5 × 10−2 | 57 ± 2 | 3.6 ± 0.1 |
| 180 | No | 384 | 1 | 5 × 10−2 | 59 ± 1 | 3.6 ± 0.1 |
| 190 | No | 1 | 1 | 5 × 10−2 | 41 ± 3 | 2.3 ± 0.2 |
| 190 | No | 19 | 1 | 5 × 10−2 | 48 ± 2 | 2.9 ± 0.1 |
| 190 | No | 33 | 1 | 5 × 10−2 | 53 ± 3 | 3.3 ± 0.2 |
| 190 | No | 49 | 1 | 5 × 10−2 | 58 ± 1 | 3.6 ± 0.2 |
| 190 | No | 65 | 1 | 5 × 10−2 | 59 ± 1 | 3.7 ± 0.1 |
| 190 | No | 98 | 1 | 5 × 10−2 | 60 ± 1 | 3.8 ± 0.1 |
| 190 | No | 140 | 1 | 5 × 10−2 | 60 ± 2 | 3.6 ± 0.2 |
| 190 | No | 180 | 1 | 5 × 10−2 | 59 ± 2 | 3.7 ± 0.2 |
| 190 | No | 366 | 1 | 5 × 10−2 | 60 ± 2 | 3.7 ± 0.1 |
| Parameter | Yield Strength | Relative Variation (%) | Elastic Modulus | Relative Variation (%) | ||
|---|---|---|---|---|---|---|
| T (°C) | 180 | 190 | 180 | 190 | ||
| A (adim) | 0.777 | 0.479 | −38.3 | 0.678 | 0.715 | 5.46 |
| (MPa) | 58.8 | 59.9 | 1.87 | 3620 | 3760 | 3.87 |
| B (days−1) | 0.0631 | 0.0408 | −35.3 | 0.0759 | 0.0541 | −40.3 |
Publisher’s Note: MDPI stays neutral with regard to jurisdictional claims in published maps and institutional affiliations. |
© 2021 by the authors. Licensee MDPI, Basel, Switzerland. This article is an open access article distributed under the terms and conditions of the Creative Commons Attribution (CC BY) license (https://creativecommons.org/licenses/by/4.0/).
Share and Cite
Orellana Barrasa, J.; Ferrández-Montero, A.; Ferrari, B.; Pastor, J.Y. Characterisation and Modelling of PLA Filaments and Evolution with Time. Polymers 2021, 13, 2899. https://doi.org/10.3390/polym13172899
Orellana Barrasa J, Ferrández-Montero A, Ferrari B, Pastor JY. Characterisation and Modelling of PLA Filaments and Evolution with Time. Polymers. 2021; 13(17):2899. https://doi.org/10.3390/polym13172899
Chicago/Turabian StyleOrellana Barrasa, Jaime, Ana Ferrández-Montero, Begoña Ferrari, and José Ygnacio Pastor. 2021. "Characterisation and Modelling of PLA Filaments and Evolution with Time" Polymers 13, no. 17: 2899. https://doi.org/10.3390/polym13172899
APA StyleOrellana Barrasa, J., Ferrández-Montero, A., Ferrari, B., & Pastor, J. Y. (2021). Characterisation and Modelling of PLA Filaments and Evolution with Time. Polymers, 13(17), 2899. https://doi.org/10.3390/polym13172899

