Construction of Mechanically Reinforced Thermoplastic Polyurethane from Carbon Dioxide-Based Poly(ether carbonate) Polyols via Coordination Cross-Linking
Abstract
:1. Introduction
2. Materials and Methods
2.1. Materials
2.2. Preparation of TPU
2.2.1. Preparation of TPU by One-Step Polymerization Method
2.2.2. Preparation of TPU Reinforced with FeCl3 by Pre-Polymerization Method
2.3. Analysis and Measurements
3. Results and Discussion
3.1. Chemical Structure of TPU
3.2. Effect of DMBA on Mechanical Properties of TPU
3.3. Effect of FeCl3 on Polymerization Process of TPU
3.4. Mechanical Properties of TPU Reinforced with FeCl3
3.5. DMA Tests of TPU Reinforced with FeCl3
3.6. Crystallization Performance of TPU Reinforced with FeCl3
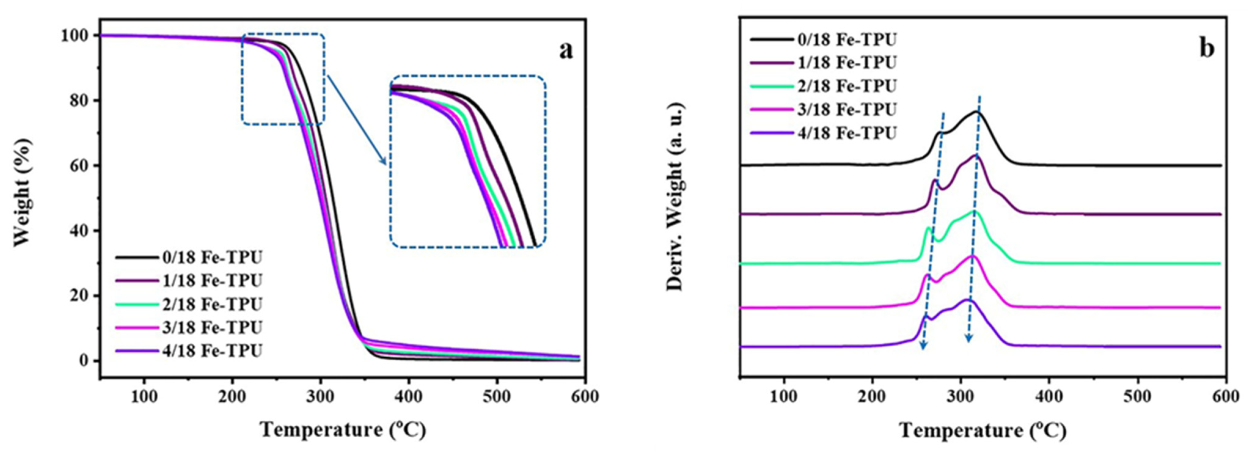
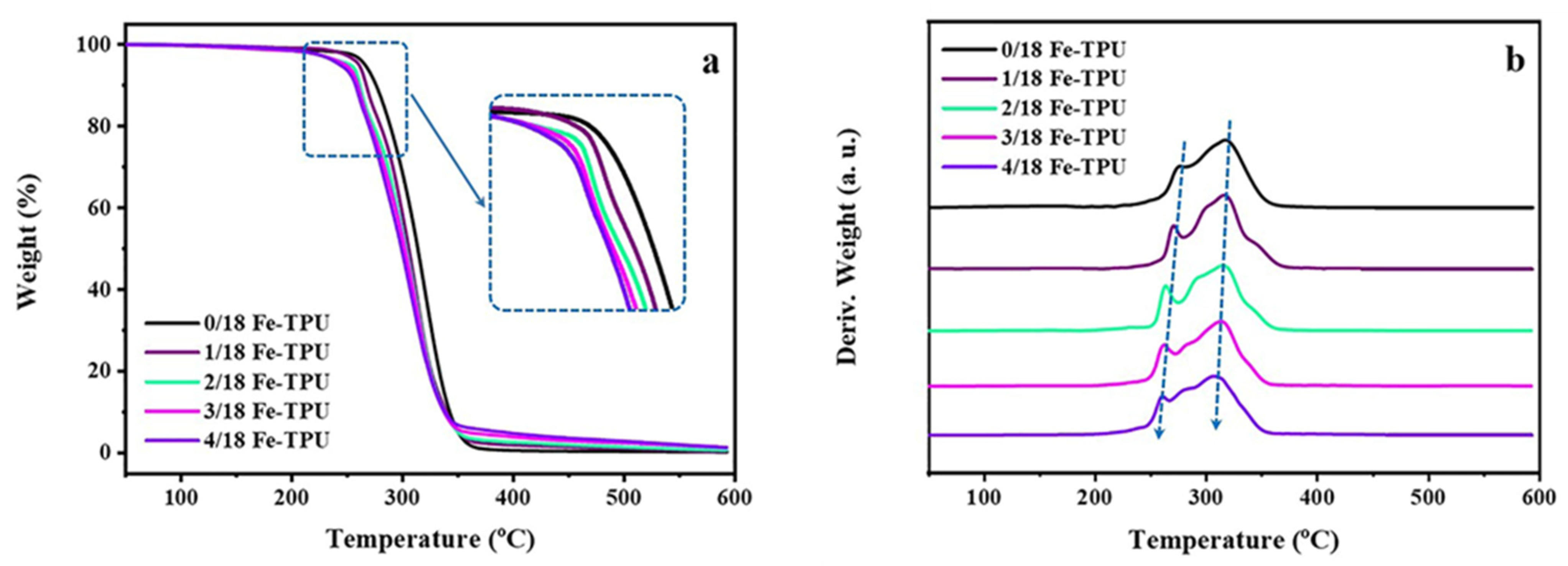
3.7. Thermal Stability of TPU Reinforced with FeCl3
4. Conclusions
Supplementary Materials
Author Contributions
Funding
Institutional Review Board Statement
Informed Consent Statement
Data Availability Statement
Conflicts of Interest
References
- Maisonneuve, L.; Lebarbé, T.; Grau, E.; Cramail, H. Structure–properties relationship of fatty acid-based thermoplastics as synthetic polymer mimics. Polym. Chem. 2013, 4, 5472–5517. [Google Scholar] [CrossRef] [Green Version]
- Yilgör, I.; Yilgor, E.; Wilkes, G.L. Critical parameters in designing segmented polyurethanes and their effect on morphology and properties: A comprehensive review. Polymer 2015, 58, A1–A36. [Google Scholar] [CrossRef]
- Chattopadhyay, D.; Raju, K. Structural engineering of polyurethane coatings for high performance applications. Prog. Polym. Sci. 2007, 32, 352–418. [Google Scholar] [CrossRef]
- Xu, C.-A.; Chen, G.; Tan, Z.; Hu, Z.; Qu, Z.; Zhang, Q.; Lu, M.; Wu, K.; Lu, M.; Liang, L. Evaluation of cytotoxicity in vitro and properties of polysiloxane-based polyurethane/lignin elastomers. React. Funct. Polym. 2020, 149, 104514. [Google Scholar] [CrossRef]
- Yu, X.; Xiong, Y.; Zhou, C.; Li, G.; Ren, S.; Li, Z.; Tang, H. Polyurethane with tris(trimethylsiloxy)silyl propyl as the side chains: Synthesis and properties. Prog. Org. Coat. 2020, 142, 105605. [Google Scholar] [CrossRef]
- Luong, N.D.; Sinh, L.H.; Minna, M.; Jurgen, W.; Torsten, W.; Matthias, S.; Jukka, S. Synthesis and characterization of castor oil-segmented thermoplastic polyurethane with controlled mechanical properties. Eur. Polym. J. 2016, 81, 129–137. [Google Scholar]
- Nofar, M.; Bati, B.; Kucik, E.B.; Jalali, A. Effect of soft segment molecular weight on the microcellular foaming behavior of TPU using supercritical CO2. J. Supercrit. Fluid. 2020, 160, 104816. [Google Scholar] [CrossRef]
- Krol, P. Synthesis methods, chemical structures and phase structures of linear polyurethanes. Properties and applications of linear polyurethanes in polyurethane elastomers, copolymers and ionomers. Prog. Mater. Sci. 2007, 52, 915–1015. [Google Scholar] [CrossRef]
- Qin, Y.S.; Wang, X.H. Carbon dioxide-based copolymers: Environmental benefits of PPC, an industrially viable catalyst. Biotechnol. J. 2010, 5, 1164–1180. [Google Scholar] [CrossRef]
- Wang, J.; Zhang, H.; Miao, Y.; Qiao, L.; Wang, X.; Wang, F. Waterborne polyurethanes from CO2 based polyols with comprehensive hydrolysis/oxidation resistance. Green Chem. 2015, 18, 524–530. [Google Scholar] [CrossRef]
- Ma, K.; Bai, Q.; Zhang, L.; Liu, B. Synthesis of flame-retarding oligo(carbonate-ether) diols via double metal cyanide complex-catalyzed copolymerization of PO and CO2 using bisphenol A as a chain transfer agent. RSC Adv. 2016, 6, 48405–48410. [Google Scholar] [CrossRef]
- Gunatillake, P.A.; Meijs, G.F.; Rizzardo, E.; Chatelier, R.C.; McCarthy, S.J.; Brandwood, A.; Schindhelm, K. Polyurethane elastomers based on novel polyether macrodiols and MDI: Synthesis, mechanical properties, and resistance to hydrolysis and oxidation. J. Appl. Polym. Sci. 1992, 46, 319–328. [Google Scholar] [CrossRef]
- Brown, D.W.; Lowry, R.E.; Smith, L.E. Kinetics of Hydrolytic Aging of Polyester Urethane Elastomers. Macromolecules 1980, 13, 248–252. [Google Scholar] [CrossRef]
- von der Assen, N.; Bardow, A. Life cycle assessment of polyols for polyurethane production using CO2 as feedstock: Insights from an industrial case study. Green Chem. 2014, 16, 3272–3280. [Google Scholar] [CrossRef] [Green Version]
- Liu, S.; Miao, Y.; Qiao, L.; Qin, Y.; Wang, X.; Chen, X.; Wang, F. Controllable synthesis of a narrow polydispersity CO2-based oligo(carbonate-ether) tetraol. Polym. Chem. 2015, 6, 7580–7585. [Google Scholar] [CrossRef]
- Park, J.E.; Kim, W.K.; Hwang, D.Y.; Choi, G.H.; Suh, D.H. Thermally Stable Bio-Based Aliphatic Polycarbonates with Quadra-Cyclic Diol from Renewable Sources. Macromol. Res. 2018, 26, 246–253. [Google Scholar] [CrossRef]
- Kwiatkowski, K.; Nachman, M. The Abrasive Wear Resistance of the Segmented Linear Polyurethane Elastomers Based on a Variety of Polyols as Soft Segments. Polymers 2017, 9, 705. [Google Scholar] [CrossRef] [Green Version]
- Akindoyo, J.O.; Beg, M.D.H.; Ghazali, S.; Islam, M.R.; Jeyaratnam, N.; Yuvaraj, A.R. Polyurethane types, synthesis and applications—A review. Rsc Adv. 2016, 6, 114453–114482. [Google Scholar] [CrossRef] [Green Version]
- Holten-Andersen, N.; Jaishankar, A.; Harrington, M.J.; Fullenkamp, D.E.; DiMarco, G.; He, L.H.; Lee, K.Y.C. Metal-coordination: Using one of nature’s tricks to control soft material mechanics. J. Mater. Chem. B 2014, 2, 2467–2472. [Google Scholar] [CrossRef] [Green Version]
- Wang, Z.; Xie, C.; Yu, C.; Fei, G.; Xia, H. A Facile Strategy for Self-Healing Polyurethanes Containing Multiple Metal-Ligand Bonds. Macromol. Rapid Commun. 2018, 39, e1700678. [Google Scholar] [CrossRef]
- Li, C.; Zuo, J. Self-Healing Polymers Based on Coordination Bonds. Adv. Mater. 2019, 32, e1903762. [Google Scholar] [CrossRef] [PubMed]
- Liu, S.; Oderinde, O.K.; Hussain, I.; Yao, F.; Fu, G. Dual ionic cross-linked double network hydrogel with self-healing, conductive, and force sensitive properties. Polymer 2018, 144, 111–120. [Google Scholar] [CrossRef]
- Zou, C.; Chen, C.L. Polar-functionalized, crosslinkable, self-Healing, and photoresponsive polyolefins. Angew. Chem. Int. Edit. 2020, 132, 403–410. [Google Scholar]
- Li, X.; Li, W.; Wang, X.; Guo, H.; Wang, R.; Guo, X.; Li, C.; Jia, X. Enhanced adhesion force based on microphase separation induced by complexation of ferric ions and polyurethane matrix. J. Appl. Polym. Sci. 2018, 135. [Google Scholar] [CrossRef]
- Li, C.-H.; Wang, C.; Keplinger, C.; Zuo, J.-L.; Jin, L.; Sun, Y.; Zheng, P.; Cao, Y.; Lissel, F.; Linder, C.; et al. A highly stretchable autonomous self-healing elastomer. Nat. Chem. 2016, 8, 618–624. [Google Scholar] [CrossRef] [PubMed]
- Lai, J.; Li, L.; Wang, D.-P.; Zhang, M.-H.; Mo, S.-R.; Wang, X.; Zeng, K.-Y.; Li, C.-H.; Jiang, Q.; You, X.-Z.; et al. A rigid and healable polymer cross-linked by weak but abundant Zn(II)-carboxylate interactions. Nat. Commun. 2018, 9, 1–9. [Google Scholar] [CrossRef] [Green Version]
- Liang, H.; Wang, S.; He, H.; Wang, M.; Liu, L.; Lu, J.; Zhang, Y.; Zhang, C. Aqueous anionic polyurethane dispersions from castor oil. Ind. Crop. Prod. 2018, 122, 182–189. [Google Scholar] [CrossRef]
- Li, K.; Shen, Y.; Fei, G.; Wang, H.; Li, J. Preparation and properties of castor oil/pentaerythritol triacrylate-based UV curable waterborne polyurethane acrylate. Prog. Org. Coat. 2015, 78, 146–154. [Google Scholar] [CrossRef]
- Tian, J.; Liu, S.; Luo, Y.L.; Sun, X.P. Fe (III)-based coordination polymer nanoparticles: Peroxidase-like catalytic activity and their application to hydrogen peroxide and glucose detection. Catal. Sci. Technol. 2012, 2, 432–436. [Google Scholar] [CrossRef]
- Xu, J.; Jin, R.; Duan, L.; Ren, X.; Gao, G. Tough, adhesive and conductive polysaccharide hydrogels mediated by ferric solution. Carbohydr. Polym. 2019, 211, 1–10. [Google Scholar] [CrossRef] [PubMed]
- Li, J.H.; Zhang, G.P.; Deng, L.B.; Zhao, S.F.; Gao, Y.J.; Jiang, K.; Sun, R.; Wong, C.P. In situ polymerization of mechanically reinforced, thermally healable graphene oxide/polyurethane composites based on Diels-Alder chemistry. J. Mater. Chem. A 2014, 2, 20642–20649. [Google Scholar] [CrossRef]
- Li, Y.; Pan, D.; Chen, S.; Wang, Q.; Pan, G.; Wang, T. In situ polymerization and mechanical, thermal properties of polyurethane/graphene oxide/epoxy nanocomposites. Mater. Des. 2013, 47, 850–856. [Google Scholar] [CrossRef]
- Li, X.; Mignard, N.; Taha, M.; Prochazka, F.; Chen, J.; Zhang, S.; Becquart, F. Thermoreversible Supramolecular Networks from Poly(trimethylene Carbonate) Synthesized by Condensation with Triuret and Tetrauret. Macromolecules 2019, 52, 6585–6599. [Google Scholar] [CrossRef]
- Guo, S.; Chen, C.; Luo, W.; Liu, F. Research on the Thermal Decomposition Reaction Kinetics and Mechanism of Pyridinol-Blocked Isophorone Diisocyanate. Materials 2016, 9, 110. [Google Scholar] [CrossRef] [PubMed] [Green Version]
- Ma, L.; Song, L.; Wang, H.; Fan, L.; Liu, B. Synthesis and characterization of poly(propylene carbonate) glycol-based waterborne polyurethane with a high solid content. Prog. Org. Coat. 2018, 122, 38–44. [Google Scholar] [CrossRef]
- Favero, D.; Marcon, V.; Figueroa, C.A.; Gómez, C.M.; Cros, A.; Garro, N.; Sanchis, M.J.; Carsí, M.; Bianchi, O. Effect of chain extender on the morphology, thermal, viscoelastic, and dielectric behavior of soybean polyurethane. J. Appl. Polym. Sci. 2021, 138, 50709. [Google Scholar] [CrossRef]
- Wen, J.; Jia, Z.; Zhang, X.; Pan, M.; Yuan, J.; Zhu, L. Tough, thermo-Responsive, biodegradable and fast self-healing polyurethane hydrogel based on microdomain-closed dynamic bonds design. Mater. Today Commun. 2020, 25, 101569. [Google Scholar] [CrossRef]
- Liu, W.H.; Etschmann, B.; Brugger, J.; Spiccia, L.; Foran, G.; Mclnnes, B. UV-Vis spectrophotometric and XAFS studies of ferric chloride complexes in hyper-saline LiCl solutions at 25–90 °C. Chem. Geol. 2006, 231, 326–349. [Google Scholar] [CrossRef]
- Mi, H.-Y.; Salick, M.R.; Jing, X.; Jacques, B.R.; Crone, W.C.; Peng, X.-F.; Turng, L.-S. Characterization of thermoplastic polyurethane/polylactic acid (TPU/PLA) tissue engineering scaffolds fabricated by microcellular injection molding. Mater. Sci. Eng. C 2013, 33, 4767–4776. [Google Scholar] [CrossRef] [Green Version]
- Kojio, K.; Nakashima, S.; Furukawa, M. Microphase-separated structure and mechanical properties of norbornane diisocyanate-based polyurethanes. Polymer 2007, 48, 997–1004. [Google Scholar] [CrossRef]
- Yeo, J.C.C.; Muiruri, J.K.; Koh, J.J.; Thitsartarn, W.; Zhang, X.; Kong, J.; Lin, T.T.; Li, Z.; He, C. Bend, Twist, and Turn: First Bendable and Malleable Toughened PLA Green Composites. Adv. Funct. Mater. 2020, 30, 2001565. [Google Scholar] [CrossRef]
- Day, M.; Cooney, J.; MacKinnon, M. Degradation of contaminated plastics: A kinetic study. Polym. Degrad. Stab. 1995, 48, 341–349. [Google Scholar] [CrossRef] [Green Version]
- Roy, P.; Surekha, P.; Raman, R.; Rajagopal, C. Investigating the role of metal oxidation state on the degradation behaviour of LDPE. Polym. Degrad. Stab. 2009, 94, 1033–1039. [Google Scholar] [CrossRef]
- Nisar, M.; Thue, P.S.; Heck, C.A.; Geshev, J.; Lima, E.C. Polyethylene nanocomposites with Ni, Co, and Fe carbon-based magnetic fillers. Polym. Eng. Sci. 2020, 60, 988–995. [Google Scholar] [CrossRef]










| Entry | DMBA a (wt.%) | Mole Ratio | Mn (g/mol) | Đ | Tensile Strength (MPa) | Tensile Modulus (MPa) | Elongation at Break (%) |
|---|---|---|---|---|---|---|---|
| [IPDI]:[PPCD]:[EG] + [DMBA] | |||||||
| 1 | 0.0 | 4.2:1.0:3.0 + 0.0 | 4.1 × 104 | 1.9 | 6.5 ± 0.2 | 10.6 ± 0.6 | 770 ± 22 |
| 2 | 2.3 | 4.2:1.0:2.5 + 0.5 | 4.6 × 104 | 2.8 | 7.7 ± 0.2 | 13.4 ± 0.3 | 1005 ± 55 |
| 3 | 4.5 | 4.2:1.0:2.0 + 1.0 | 4.9 × 104 | 2.8 | 9.6 ± 0.3 | 14.7 ± 0.6 | 1028 ± 19 |
| 4 | 6.7 | 4.2:1.0:1.5 + 1.5 | − b | − | 11.7 ± 0.4 | 16.1 ± 0.3 | 988 ± 29 |
| Entry | Sample a | n (FeCl3)/n (DMBA) b (mol/mol) | Tensile Strength (MPa) | Tensile Modulus (MPa) | Elongation at Break (%) | Hardness (Shore A) |
|---|---|---|---|---|---|---|
| 1 | 0/18 Fe-TPU | 0/18 | 10.3 ± 0.5 | 14.8 ± 1.1 | 912 ± 39 | 45 |
| 2 | 1/18 Fe-TPU | 1/18 | 11.9 ± 0.3 | 18.7 ± 1.1 | 802 ± 30 | 43 |
| 3 | 2/18 Fe-TPU | 2/18 | 13.3 ± 0.4 | 35.8 ± 1.5 | 768 ± 19 | 46 |
| 4 | 3/18 Fe-TPU | 3/18 | 14.6 ± 0.8 | 58.6 ± 2.3 | 722 ± 19 | 45 |
| 5 | 4/18 Fe-TPU | 4/18 | 17.8 ± 0.5 | 93.9 ± 2.6 | 535 ± 34 | 47 |
| Entry | Sample | T5% (°C) a | T10% (°C) b | Tmax (°C) c |
|---|---|---|---|---|
| 1 | 0/18 Fe-TPU | 266.4 | 276.5 | 317.9 |
| 2 | 1/18 Fe-TPU | 261.0 | 267.6 | 316.9 |
| 3 | 2/18 Fe-TPU | 253.1 | 261.9 | 315.9 |
| 4 | 3/18 Fe-TPU | 248.6 | 260.0 | 313.9 |
| 5 | 4/18 Fe-TPU | 243.8 | 257.9 | 309.5 |
Publisher’s Note: MDPI stays neutral with regard to jurisdictional claims in published maps and institutional affiliations. |
© 2021 by the authors. Licensee MDPI, Basel, Switzerland. This article is an open access article distributed under the terms and conditions of the Creative Commons Attribution (CC BY) license (https://creativecommons.org/licenses/by/4.0/).
Share and Cite
Gu, G.; Dong, J.; Duan, Z.; Liu, B. Construction of Mechanically Reinforced Thermoplastic Polyurethane from Carbon Dioxide-Based Poly(ether carbonate) Polyols via Coordination Cross-Linking. Polymers 2021, 13, 2765. https://doi.org/10.3390/polym13162765
Gu G, Dong J, Duan Z, Liu B. Construction of Mechanically Reinforced Thermoplastic Polyurethane from Carbon Dioxide-Based Poly(ether carbonate) Polyols via Coordination Cross-Linking. Polymers. 2021; 13(16):2765. https://doi.org/10.3390/polym13162765
Chicago/Turabian StyleGu, Gaosheng, Jincheng Dong, Zhongyu Duan, and Binyuan Liu. 2021. "Construction of Mechanically Reinforced Thermoplastic Polyurethane from Carbon Dioxide-Based Poly(ether carbonate) Polyols via Coordination Cross-Linking" Polymers 13, no. 16: 2765. https://doi.org/10.3390/polym13162765
APA StyleGu, G., Dong, J., Duan, Z., & Liu, B. (2021). Construction of Mechanically Reinforced Thermoplastic Polyurethane from Carbon Dioxide-Based Poly(ether carbonate) Polyols via Coordination Cross-Linking. Polymers, 13(16), 2765. https://doi.org/10.3390/polym13162765
